Suppr超能文献

与疟疾感染和疾病严重程度相关的白细胞介素-6 水平升高:系统评价和荟萃分析。

Increased interleukin-6 levels associated with malaria infection and disease severity: a systematic review and meta-analysis.

机构信息

Department of Clinical Tropical Medicine, Faculty of Tropical Medicine, Mahidol University, Bangkok, Thailand.

Medical Technology, School of Allied Health Sciences, Walailak University, Tha Sala, Nakhon Si Thammarat, Thailand.

出版信息

Sci Rep. 2022 Apr 8;12(1):5982. doi: 10.1038/s41598-022-09848-9.

Abstract

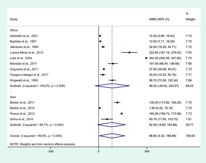
Interleukin-6 (IL-6) is generated by immune cells during infection with malaria parasites and they are associated with the immunopathogenesis of malaria. The present systematic review and meta-analysis aimed to compare the differences in IL-6 levels between several groups of patients with malaria and healthy control groups. The systematic review was registered at PROSPERO with a registration number: CRD42021290753. Systematic literature searches were conducted in PubMed, Web of Science, and Scopus until November 7, 2021 to obtain studies that documented IL-6 levels in patients with malaria. The quality of the included studies was assessed using critical appraisal tools from the Joanna Briggs Institute. Differences in the mean IL-6 levels among patients with: (1) severe and non-severe malaria, (2) uncomplicated malaria and controls, (3) uncomplicated and asymptomatic malaria, (4) asymptomatic malaria and healthy controls, and (5) those that died or survived were estimated using a random-effects model. Forty-three of 1,969 studies were included in the systematic review. Results of the meta-analysis showed that patients with severe malaria had higher mean IL-6 levels than those with non-severe malaria [P = 0.04, weight mean difference (WMD) = 96.63 pg/mL, 95% confidence interval (CI) = 0.88 - 19.38 pg/mL, I = 99.9%, 13 studies]. Patients with uncomplicated malaria had higher mean IL-6 levels than the controls (P < 0.001, WMD = 42.86 pg/mL, 95% CI = 30.17 - 55.56 pg/mL, I = 100%, 17 studies). No differences in the mean levels of IL-6 were found between patients with uncomplicated malaria and those with asymptomatic malaria (P = 0.063, WMD = 42.07 pg/mL, 95% CI =  - 2.23 pg/mL to - 86.37 pg/mL, I = 99.1%, 8 studies), or between patients with asymptomatic malaria and healthy controls (P = 0.45, WMD = 1.67 pg/mL, 95% CI =  - 2.73 pg/mL to - 6.07 pg/mL, I = 98.1%, 2 studies). A higher mean level of IL-6 was observed in patients who died compared with the levels of those who survived (P = 0.007, WMD = 1,399.19 pg/mL, 95% CI = 384.16 - 2,414.2 pg/mL, I = 93.1%, 4 studies). Our meta-analysis of the pooled evidence can be used to guide future studies in which IL-6 levels are measured during malaria outbreaks to monitor malaria severity. Heterogeneity of the effect estimate among the included studies was the main limitation of this analysis. In conclusion, significantly increased levels of IL-6 were observed in patients with severe malaria compared with those in patients with non-severe malaria, which indicates that IL-6 is a candidate marker for severe malaria. Future studies should investigate the sensitivity and specificity of increased IL-6 levels to determine the effectiveness of assessments of IL-6 levels monitoring of malaria infection and severity.

摘要

白细胞介素 6 (IL-6) 在疟疾寄生虫感染期间由免疫细胞产生,与疟疾的免疫发病机制有关。本系统评价和荟萃分析旨在比较疟疾患者与健康对照组之间的 IL-6 水平差异。系统评价在 PROSPERO 注册,注册号:CRD42021290753。在 2021 年 11 月 7 日之前,在 PubMed、Web of Science 和 Scopus 中进行了系统文献检索,以获取记录疟疾患者 IL-6 水平的研究。使用 Joanna Briggs 研究所的批判性评估工具评估纳入研究的质量。使用随机效应模型估计以下患者之间平均 IL-6 水平的差异:(1) 严重和非严重疟疾,(2) 无并发症疟疾和对照,(3) 无并发症和无症状疟疾,(4) 无症状疟疾和健康对照,以及 (5) 死亡或存活的患者。在系统评价中,43 项研究被纳入。荟萃分析结果表明,与非严重疟疾患者相比,严重疟疾患者的平均 IL-6 水平更高[P=0.04,加权均数差 (WMD)=96.63pg/mL,95%置信区间 (CI)=0.88-19.38pg/mL,I=99.9%,13 项研究]。与对照组相比,无并发症疟疾患者的平均 IL-6 水平更高(P<0.001,WMD=42.86pg/mL,95%CI=30.17-55.56pg/mL,I=100%,17 项研究)。与无并发症疟疾患者相比,无并发症疟疾患者与无症状疟疾患者之间的平均 IL-6 水平无差异(P=0.063,WMD=42.07pg/mL,95%CI=-2.23pg/mL-86.37pg/mL,I=99.1%,8 项研究),或无症状疟疾患者与健康对照之间的差异无统计学意义(P=0.45,WMD=1.67pg/mL,95%CI=-2.73pg/mL-6.07pg/mL,I=98.1%,2 项研究)。与存活患者相比,死亡患者的平均 IL-6 水平更高(P=0.007,WMD=1399.19pg/mL,95%CI=384.16pg/mL-2414.2pg/mL,I=93.1%,4 项研究)。我们对汇总证据的荟萃分析可用于指导未来的研究,即在疟疾爆发期间测量 IL-6 水平,以监测疟疾的严重程度。纳入研究中效应估计的异质性是该分析的主要局限性。总之,与非严重疟疾患者相比,严重疟疾患者的 IL-6 水平显著升高,这表明 IL-6 是严重疟疾的候选标志物。未来的研究应调查增加的 IL-6 水平的敏感性和特异性,以确定监测疟疾感染和严重程度的 IL-6 水平监测的有效性。

https://cdn.ncbi.nlm.nih.gov/pmc/blobs/16d9/8993930/d774e4b0b8c5/41598_2022_9848_Fig1_HTML.jpg

文献AI研究员

20分钟写一篇综述,助力文献阅读效率提升50倍。

立即体验

用中文搜PubMed

大模型驱动的PubMed中文搜索引擎

马上搜索

文档翻译

学术文献翻译模型,支持多种主流文档格式。

立即体验