• 文献检索
  • 文档翻译
  • 深度研究
  • 学术资讯
  • Suppr Zotero 插件Zotero 插件
  • 邀请有礼
  • 套餐&价格
  • 历史记录
应用&插件
Suppr Zotero 插件Zotero 插件浏览器插件Mac 客户端Windows 客户端微信小程序
定价
高级版会员购买积分包购买API积分包
服务
文献检索文档翻译深度研究API 文档MCP 服务
关于我们
关于 Suppr公司介绍联系我们用户协议隐私条款
关注我们

Suppr 超能文献

核心技术专利:CN118964589B侵权必究
粤ICP备2023148730 号-1Suppr @ 2026

文献检索

告别复杂PubMed语法,用中文像聊天一样搜索,搜遍4000万医学文献。AI智能推荐,让科研检索更轻松。

立即免费搜索

文件翻译

保留排版,准确专业,支持PDF/Word/PPT等文件格式,支持 12+语言互译。

免费翻译文档

深度研究

AI帮你快速写综述,25分钟生成高质量综述,智能提取关键信息,辅助科研写作。

立即免费体验

离子液体在碳水化合物转化为 5-羟甲基糠醛中的作用:最新综述。

The Role Played by Ionic Liquids in Carbohydrates Conversion into 5-Hydroxymethylfurfural: A Recent Overview.

机构信息

Dipartimento STEBICEF, Università degli Studi di Palermo, Viale delle Scienze Ed. 17, 90128 Palermo, Italy.

出版信息

Molecules. 2022 Mar 29;27(7):2210. doi: 10.3390/molecules27072210.

DOI:10.3390/molecules27072210
PMID:35408609
原文链接:https://pmc.ncbi.nlm.nih.gov/articles/PMC9000634/
Abstract

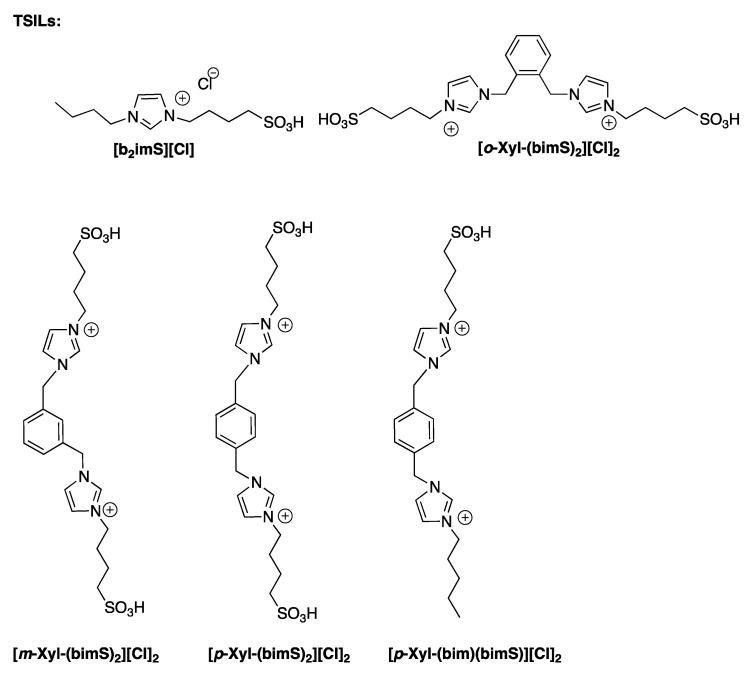
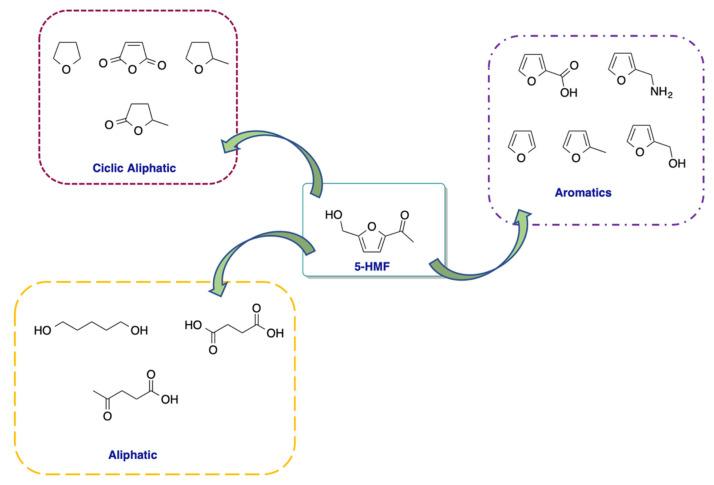
Obtaining industrially relevant products from abundant, cheap, renewable, and low-impacting sources such as lignocellulosic biomass, is a key step in reducing consumption of raw fossil materials and, consequently, the environmental footprint of such processes. In this regard, a molecule that is similar to 5-hydroxymethylfurfural (5-HMF) plays a pivotal role, since it can be produced from lignocellulosic biomass and gives synthetic access to a broad range of industrially important products and polymers. Recently, ionic liquids (ILs) have emerged as suitable solvents for the conversion of biomass and carbohydrates into 5-HMF. Herein, we provide a bird's-eye view on recent achievements about the use of ILs for the obtainment of 5-HMF, covering works that were published over the last five years. In particular, we first examine reactions involving homogeneous catalysis as well as task-specific ionic liquids. Then, an overview of the literature addressing the use of heterogeneous catalysts, including enzymes, is presented. Whenever possible, the role of ILs and catalysts driving the formation of 5-HMF is discussed, also comparing with the same reactions that are performed in conventional solvents.

摘要

从丰富、廉价、可再生且影响较小的资源(如木质纤维素生物质)中获得具有工业应用价值的产品是减少对原始化石材料消耗的关键步骤,从而降低此类工艺的环境足迹。在这方面,一种类似于 5-羟甲基糠醛(5-HMF)的分子起着关键作用,因为它可以从木质纤维素生物质中生产,并为广泛的工业重要产品和聚合物提供合成途径。最近,离子液体(ILs)已成为将生物质和碳水化合物转化为 5-HMF 的合适溶剂。在此,我们对近年来使用 ILs 获得 5-HMF 的最新成果进行了综述,涵盖了过去五年发表的工作。特别地,我们首先考察了涉及均相催化和特定功能离子液体的反应。然后,综述了涉及酶等多相催化剂的文献。在可能的情况下,我们讨论了离子液体和催化剂在形成 5-HMF 中的作用,并与在常规溶剂中进行的相同反应进行了比较。

https://cdn.ncbi.nlm.nih.gov/pmc/blobs/efbe/9000634/2d2661481f9d/molecules-27-02210-sch024.jpg
https://cdn.ncbi.nlm.nih.gov/pmc/blobs/efbe/9000634/ecc3eb2a85f5/molecules-27-02210-sch001.jpg
https://cdn.ncbi.nlm.nih.gov/pmc/blobs/efbe/9000634/cf7df6bfeef5/molecules-27-02210-sch002.jpg
https://cdn.ncbi.nlm.nih.gov/pmc/blobs/efbe/9000634/841edee29b92/molecules-27-02210-sch003.jpg
https://cdn.ncbi.nlm.nih.gov/pmc/blobs/efbe/9000634/0b9e756dddf8/molecules-27-02210-sch004.jpg
https://cdn.ncbi.nlm.nih.gov/pmc/blobs/efbe/9000634/81d88a486319/molecules-27-02210-sch005.jpg
https://cdn.ncbi.nlm.nih.gov/pmc/blobs/efbe/9000634/ef64a5e8959b/molecules-27-02210-sch006.jpg
https://cdn.ncbi.nlm.nih.gov/pmc/blobs/efbe/9000634/90632c664f68/molecules-27-02210-sch007.jpg
https://cdn.ncbi.nlm.nih.gov/pmc/blobs/efbe/9000634/710df246a305/molecules-27-02210-sch008.jpg
https://cdn.ncbi.nlm.nih.gov/pmc/blobs/efbe/9000634/17c296962879/molecules-27-02210-sch009.jpg
https://cdn.ncbi.nlm.nih.gov/pmc/blobs/efbe/9000634/2178de6c4040/molecules-27-02210-sch010.jpg
https://cdn.ncbi.nlm.nih.gov/pmc/blobs/efbe/9000634/d89244abe567/molecules-27-02210-sch011.jpg
https://cdn.ncbi.nlm.nih.gov/pmc/blobs/efbe/9000634/a1dc24e69fd3/molecules-27-02210-sch012.jpg
https://cdn.ncbi.nlm.nih.gov/pmc/blobs/efbe/9000634/80248bd02cd1/molecules-27-02210-sch013.jpg
https://cdn.ncbi.nlm.nih.gov/pmc/blobs/efbe/9000634/3eb11bf55496/molecules-27-02210-sch014.jpg
https://cdn.ncbi.nlm.nih.gov/pmc/blobs/efbe/9000634/a96de85353da/molecules-27-02210-sch015.jpg
https://cdn.ncbi.nlm.nih.gov/pmc/blobs/efbe/9000634/bac95816c2c6/molecules-27-02210-sch016.jpg
https://cdn.ncbi.nlm.nih.gov/pmc/blobs/efbe/9000634/844fefb77089/molecules-27-02210-sch017.jpg
https://cdn.ncbi.nlm.nih.gov/pmc/blobs/efbe/9000634/7f1250a1a912/molecules-27-02210-sch018.jpg
https://cdn.ncbi.nlm.nih.gov/pmc/blobs/efbe/9000634/28b5e310ecef/molecules-27-02210-sch019.jpg
https://cdn.ncbi.nlm.nih.gov/pmc/blobs/efbe/9000634/718209a7ad8b/molecules-27-02210-sch020.jpg
https://cdn.ncbi.nlm.nih.gov/pmc/blobs/efbe/9000634/f11002d08cab/molecules-27-02210-sch021.jpg
https://cdn.ncbi.nlm.nih.gov/pmc/blobs/efbe/9000634/48eade578303/molecules-27-02210-sch022.jpg
https://cdn.ncbi.nlm.nih.gov/pmc/blobs/efbe/9000634/4bf43c1768bd/molecules-27-02210-sch023.jpg
https://cdn.ncbi.nlm.nih.gov/pmc/blobs/efbe/9000634/2d2661481f9d/molecules-27-02210-sch024.jpg
https://cdn.ncbi.nlm.nih.gov/pmc/blobs/efbe/9000634/ecc3eb2a85f5/molecules-27-02210-sch001.jpg
https://cdn.ncbi.nlm.nih.gov/pmc/blobs/efbe/9000634/cf7df6bfeef5/molecules-27-02210-sch002.jpg
https://cdn.ncbi.nlm.nih.gov/pmc/blobs/efbe/9000634/841edee29b92/molecules-27-02210-sch003.jpg
https://cdn.ncbi.nlm.nih.gov/pmc/blobs/efbe/9000634/0b9e756dddf8/molecules-27-02210-sch004.jpg
https://cdn.ncbi.nlm.nih.gov/pmc/blobs/efbe/9000634/81d88a486319/molecules-27-02210-sch005.jpg
https://cdn.ncbi.nlm.nih.gov/pmc/blobs/efbe/9000634/ef64a5e8959b/molecules-27-02210-sch006.jpg
https://cdn.ncbi.nlm.nih.gov/pmc/blobs/efbe/9000634/90632c664f68/molecules-27-02210-sch007.jpg
https://cdn.ncbi.nlm.nih.gov/pmc/blobs/efbe/9000634/710df246a305/molecules-27-02210-sch008.jpg
https://cdn.ncbi.nlm.nih.gov/pmc/blobs/efbe/9000634/17c296962879/molecules-27-02210-sch009.jpg
https://cdn.ncbi.nlm.nih.gov/pmc/blobs/efbe/9000634/2178de6c4040/molecules-27-02210-sch010.jpg
https://cdn.ncbi.nlm.nih.gov/pmc/blobs/efbe/9000634/d89244abe567/molecules-27-02210-sch011.jpg
https://cdn.ncbi.nlm.nih.gov/pmc/blobs/efbe/9000634/a1dc24e69fd3/molecules-27-02210-sch012.jpg
https://cdn.ncbi.nlm.nih.gov/pmc/blobs/efbe/9000634/80248bd02cd1/molecules-27-02210-sch013.jpg
https://cdn.ncbi.nlm.nih.gov/pmc/blobs/efbe/9000634/3eb11bf55496/molecules-27-02210-sch014.jpg
https://cdn.ncbi.nlm.nih.gov/pmc/blobs/efbe/9000634/a96de85353da/molecules-27-02210-sch015.jpg
https://cdn.ncbi.nlm.nih.gov/pmc/blobs/efbe/9000634/bac95816c2c6/molecules-27-02210-sch016.jpg
https://cdn.ncbi.nlm.nih.gov/pmc/blobs/efbe/9000634/844fefb77089/molecules-27-02210-sch017.jpg
https://cdn.ncbi.nlm.nih.gov/pmc/blobs/efbe/9000634/7f1250a1a912/molecules-27-02210-sch018.jpg
https://cdn.ncbi.nlm.nih.gov/pmc/blobs/efbe/9000634/28b5e310ecef/molecules-27-02210-sch019.jpg
https://cdn.ncbi.nlm.nih.gov/pmc/blobs/efbe/9000634/718209a7ad8b/molecules-27-02210-sch020.jpg
https://cdn.ncbi.nlm.nih.gov/pmc/blobs/efbe/9000634/f11002d08cab/molecules-27-02210-sch021.jpg
https://cdn.ncbi.nlm.nih.gov/pmc/blobs/efbe/9000634/48eade578303/molecules-27-02210-sch022.jpg
https://cdn.ncbi.nlm.nih.gov/pmc/blobs/efbe/9000634/4bf43c1768bd/molecules-27-02210-sch023.jpg
https://cdn.ncbi.nlm.nih.gov/pmc/blobs/efbe/9000634/2d2661481f9d/molecules-27-02210-sch024.jpg

相似文献

1
The Role Played by Ionic Liquids in Carbohydrates Conversion into 5-Hydroxymethylfurfural: A Recent Overview.离子液体在碳水化合物转化为 5-羟甲基糠醛中的作用:最新综述。
Molecules. 2022 Mar 29;27(7):2210. doi: 10.3390/molecules27072210.
2
Advances of Ionic Liquids and Deep Eutectic Solvents in Green Processes of Biomass-Derived 5-Hydroxymethylfurfural.离子液体和深共晶溶剂在生物质衍生 5-羟甲基糠醛绿色过程中的进展。
ChemSusChem. 2022 Jul 7;15(13):e202102635. doi: 10.1002/cssc.202102635. Epub 2022 Feb 10.
3
Enhanced conversion of carbohydrates to the platform chemical 5-hydroxymethylfurfural using designer ionic liquids.使用设计离子液体将碳水化合物高效转化为平台化合物 5-羟甲基糠醛。
ChemSusChem. 2014 Jun;7(6):1647-54. doi: 10.1002/cssc.201301368. Epub 2014 Apr 2.
4
Direct Conversion of Mono- and Polysaccharides into 5-Hydroxymethylfurfural Using Ionic-Liquid Mixtures.使用离子液体混合物将单糖和多糖直接转化为5-羟甲基糠醛
ChemSusChem. 2016 Aug 23;9(16):2089-96. doi: 10.1002/cssc.201600313. Epub 2016 Jun 27.
5
Immobilizing Cr3+ with SO3H-functionalized solid polymeric ionic liquids as efficient and reusable catalysts for selective transformation of carbohydrates into 5-hydroxymethylfurfural.用 SO3H 功能化的固态聚合离子液体固定 Cr3+,作为高效、可重复使用的催化剂,用于选择性地将碳水化合物转化为 5-羟甲基糠醛。
Bioresour Technol. 2013 Sep;144:21-7. doi: 10.1016/j.biortech.2013.06.063. Epub 2013 Jun 27.
6
The Highly Selective and Near-Quantitative Conversion of Glucose to 5-Hydroxymethylfurfural Using Ionic Liquids.使用离子液体将葡萄糖高效选择性地近乎定量转化为5-羟甲基糠醛。
PLoS One. 2016 Oct 6;11(10):e0163835. doi: 10.1371/journal.pone.0163835. eCollection 2016.
7
Catalytic conversion of carbohydrates into 5-hydroxymethylfurfural over cellulose-derived carbonaceous catalyst in ionic liquid.在离子液体中,通过纤维素衍生的碳质催化剂将碳水化合物催化转化为 5-羟甲基糠醛。
Bioresour Technol. 2013 Nov;148:501-7. doi: 10.1016/j.biortech.2013.09.016. Epub 2013 Sep 13.
8
The first molecular level monitoring of carbohydrate conversion to 5-hydroxymethylfurfural in ionic liquids. B2O3--an efficient dual-function metal-free promoter for environmentally benign applications.碳水化合物向离子液体中 5-羟甲基糠醛转化的首次分子水平监测。B2O3——一种用于环境友好型应用的高效双功能无金属促进剂。
ChemSusChem. 2012 Apr;5(4):783-9. doi: 10.1002/cssc.201100670. Epub 2012 Feb 22.
9
Microwave-assisted rapid conversion of carbohydrates into 5-hydroxymethylfurfural by ScCl3 in ionic liquids.三氯化钪在离子液体中微波辅助快速将碳水化合物转化为 5-羟甲基糠醛。
Carbohydr Res. 2013 Jun 28;375:68-72. doi: 10.1016/j.carres.2013.04.003. Epub 2013 Apr 11.
10
Catalytic conversion of carbohydrates into 5-hydroxymethylfurfural by germanium(IV) chloride in ionic liquids.四氯化锗在离子液体中催化碳水化合物转化为 5-羟甲基糠醛。
ChemSusChem. 2011 Jan 17;4(1):131-8. doi: 10.1002/cssc.201000279. Epub 2010 Dec 23.

引用本文的文献

1
Catalytic Transformation of Carbohydrates into Renewable Organic Chemicals by Revering the Principles of Green Chemistry.通过颠覆绿色化学原理将碳水化合物催化转化为可再生有机化学品。
ACS Omega. 2024 Jun 12;9(25):26805-26825. doi: 10.1021/acsomega.4c01960. eCollection 2024 Jun 25.

本文引用的文献

1
Efficient production of 5-hydroxymethylfurfural from fructose over CuAPO-5 molecular sieves synthesized using an ionothermal method.使用离子热法合成的CuAPO-5分子筛上由果糖高效生产5-羟甲基糠醛
RSC Adv. 2019 Oct 15;9(56):32848-32853. doi: 10.1039/c9ra07217a. eCollection 2019 Oct 10.
2
Dehydration of fructose, sucrose and inulin to 5-hydroxymethylfurfural over yeast-derived carbonaceous microspheres at low temperatures.在低温下,果糖、蔗糖和菊粉在酵母衍生的碳质微球上脱水生成5-羟甲基糠醛。
RSC Adv. 2019 Mar 19;9(16):9041-9048. doi: 10.1039/c8ra10465d. eCollection 2019 Mar 15.
3
Synthesis of 5-hydroxymethylfurfural from monosaccharides catalyzed by superacid VNU-11-SO in 1-ethyl-3-methylimidazolium chloride ionic liquid.
在1-乙基-3-甲基咪唑鎓氯化物离子液体中,超强酸VNU-11-SO催化单糖合成5-羟甲基糠醛。
RSC Adv. 2020 Oct 30;10(65):39687-39692. doi: 10.1039/d0ra08261a. eCollection 2020 Oct 27.
4
Molecular design and experimental study of cellulose conversion to 5-hydroxymethylfurfural catalyzed by different ratios of Brønsted/Lewis acid ionic liquids.不同比例的 Brønsted/Lewis 酸离子液体催化纤维素转化为 5-羟甲基糠醛的分子设计与实验研究。
Carbohydr Polym. 2022 Feb 15;278:118936. doi: 10.1016/j.carbpol.2021.118936. Epub 2021 Nov 26.
5
Production of 5-hydroxymethylfurfural from Japanese cedar (Cryptomeria japonica) in an ionic liquid, 1-methylimidazolium hydrogen sulfate.在离子液体 1-甲基咪唑硫酸氢盐中从日本扁柏(Cryptomeria japonica)生产 5-羟甲基糠醛。
Sci Rep. 2021 Nov 23;11(1):22790. doi: 10.1038/s41598-021-02259-2.
6
Synthesis of 5-hydroxymethylfurfural from glucose, fructose, cellulose and agricultural wastes over sulfur-doped peanut shell catalysts in ionic liquid.在离子液体中用硫掺杂的花生壳催化剂将葡萄糖、果糖、纤维素和农业废弃物合成 5-羟甲基糠醛。
Chemosphere. 2022 Mar;291(Pt 1):132829. doi: 10.1016/j.chemosphere.2021.132829. Epub 2021 Nov 9.
7
The production of fuels and chemicals in the new world: critical analysis of the choice between crude oil and biomass vis-à-vis sustainability and the environment.新世界中燃料和化学品的生产:关于原油和生物质在可持续性与环境方面选择的批判性分析。
Clean Technol Environ Policy. 2020;22(9):1757-1774. doi: 10.1007/s10098-020-01945-5. Epub 2020 Sep 21.
8
Lignocellulosic Biomass: Understanding Recalcitrance and Predicting Hydrolysis.木质纤维素生物质:理解难降解性与预测水解
Front Chem. 2019 Dec 18;7:874. doi: 10.3389/fchem.2019.00874. eCollection 2019.
9
Rapid, High-Yield Fructose Dehydration to 5-Hydroxymethylfurfural in Mixtures of Water and the Noncoordinating Ionic Liquid [bmim][OTf].水与非配位离子液体[bmim][OTf]混合物中快速、高产果糖脱水制备 5-羟甲基糠醛。
ChemSusChem. 2019 Oct 8;12(19):4452-4460. doi: 10.1002/cssc.201901529. Epub 2019 Aug 28.
10
Direct conversion of cellulose to 5-hydroxymethylfurfural (HMF) using an efficient and inexpensive boehmite catalyst.使用高效且廉价的拟薄水铝石催化剂将纤维素直接转化为 5-羟甲基糠醛(HMF)。
Carbohydr Res. 2019 Jul 15;481:52-59. doi: 10.1016/j.carres.2019.06.010. Epub 2019 Jun 21.