• 文献检索
  • 文档翻译
  • 深度研究
  • 学术资讯
  • Suppr Zotero 插件Zotero 插件
  • 邀请有礼
  • 套餐&价格
  • 历史记录
应用&插件
Suppr Zotero 插件Zotero 插件浏览器插件Mac 客户端Windows 客户端微信小程序
定价
高级版会员购买积分包购买API积分包
服务
文献检索文档翻译深度研究API 文档MCP 服务
关于我们
关于 Suppr公司介绍联系我们用户协议隐私条款
关注我们

Suppr 超能文献

核心技术专利:CN118964589B侵权必究
粤ICP备2023148730 号-1Suppr @ 2026

文献检索

告别复杂PubMed语法,用中文像聊天一样搜索,搜遍4000万医学文献。AI智能推荐,让科研检索更轻松。

立即免费搜索

文件翻译

保留排版,准确专业,支持PDF/Word/PPT等文件格式,支持 12+语言互译。

免费翻译文档

深度研究

AI帮你快速写综述,25分钟生成高质量综述,智能提取关键信息,辅助科研写作。

立即免费体验

评估女子足球运动员 90°变向过程中高危机制的定性工具的可靠性。

Reliability of a Qualitative Instrument to Assess High-Risk Mechanisms during a 90° Change of Direction in Female Football Players.

机构信息

Research Group "Raquis: Aparato Locomotor y Deporte", Department of Physical Activity and Sport, Faculty of Sport Sciences, Campus de Excelencia Internacional Mare Nostrum, University of Murcia, 30720 Murcia, Spain.

Scientific Association of Research Groups "Sport Performance Analysis Association", 30720 Murcia, Spain.

出版信息

Int J Environ Res Public Health. 2022 Mar 31;19(7):4143. doi: 10.3390/ijerph19074143.

DOI:10.3390/ijerph19074143
PMID:35409830
原文链接:https://pmc.ncbi.nlm.nih.gov/articles/PMC8999027/
Abstract

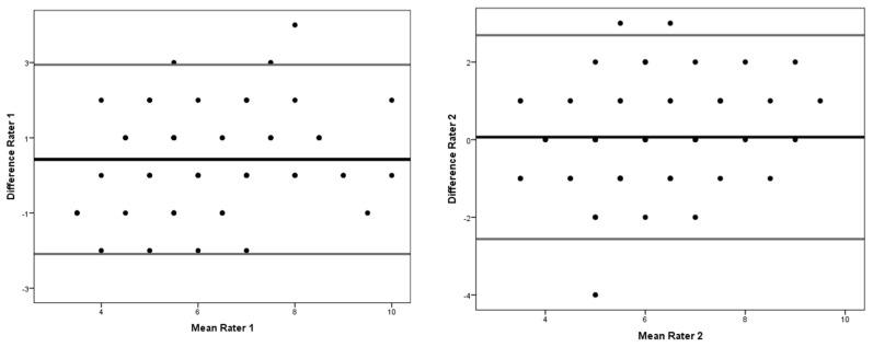
Sidestep cuts between 60° and 180° and one-leg landings have been identified as the main mechanisms of ACL injuries in several sports. This study sought to determine intra- and inter-rater reliability of a qualitative tool to assess high-risk movements in a 90° change of direction when the test is applied in a real framework of sport practice. Female footballers from two teams ( = 38) participated in this study and were asked to perform 90° cutting trials to each side, which were simultaneously filmed from a frontal and a sagittal view. A total of 61 cases were selected for 2D qualitative observational analysis by three raters. Poor reliability was found among each pair of raters as well as moderate reliability when the Cutting Movement Assessment Score (CMAS) was given by the same rater at different moments, but with too high a minimum detectable change. On the other hand, raters presented a significant, as well as moderate-to-good intra-rater reliability for most items of the CMAS tool. There was, however, non-significant reliability between observers in rating most check-points of the tool. For these reasons, more objective guidelines and clearer definitions for each criterion within the CMAS, as well as a longer, standardised training period for novel observers, would be highly recommended to improve the reliability of this tool in an applied context with female footballers.

摘要

在多项运动中,60°到 180°的侧步和单腿着地被认为是 ACL 损伤的主要机制。本研究旨在确定一种定性工具在实际运动实践框架中评估 90°变向时高危动作的内部和外部评分者可靠性。来自两个球队的女足球员(=38)参加了这项研究,并被要求向两侧进行 90°切割试验,这些试验同时从前视和侧视拍摄。共有 61 个病例被选择用于由三名评分者进行 2D 定性观察分析。每个评分者之间的可靠性都较差,而当同一个评分者在不同时间使用切割运动评估评分(CMAS)时,可靠性为中等,但最小可检测变化过高。另一方面,评分者在 CMAS 工具的大多数项目上表现出显著的、中等至良好的内部评分者可靠性。然而,观察者在评估工具的大多数检查点时,可靠性并不显著。因此,建议为该工具提供更客观的指导方针和更清晰的每个标准定义,并为新观察者提供更长、标准化的培训期,以提高该工具在女性足球运动员应用环境中的可靠性。

https://cdn.ncbi.nlm.nih.gov/pmc/blobs/f423/8999027/d9c1335ae70c/ijerph-19-04143-g002.jpg
https://cdn.ncbi.nlm.nih.gov/pmc/blobs/f423/8999027/2678ab869ceb/ijerph-19-04143-g001.jpg
https://cdn.ncbi.nlm.nih.gov/pmc/blobs/f423/8999027/d9c1335ae70c/ijerph-19-04143-g002.jpg
https://cdn.ncbi.nlm.nih.gov/pmc/blobs/f423/8999027/2678ab869ceb/ijerph-19-04143-g001.jpg
https://cdn.ncbi.nlm.nih.gov/pmc/blobs/f423/8999027/d9c1335ae70c/ijerph-19-04143-g002.jpg

相似文献

1
Reliability of a Qualitative Instrument to Assess High-Risk Mechanisms during a 90° Change of Direction in Female Football Players.评估女子足球运动员 90°变向过程中高危机制的定性工具的可靠性。
Int J Environ Res Public Health. 2022 Mar 31;19(7):4143. doi: 10.3390/ijerph19074143.
2
A 2D video-analysis scoring system of 90° change of direction technique identifies football players with high knee abduction moment.二维视频分析评分系统对 90°变向技术进行分析,可识别出具有高膝关节外展力矩的足球运动员。
Knee Surg Sports Traumatol Arthrosc. 2022 Nov;30(11):3616-3625. doi: 10.1007/s00167-021-06571-2. Epub 2021 Apr 29.
3
A 2D qualitative movement assessment of a deceleration task detects football players with high knee joint loading.二维定性运动评估减速任务可检测出膝关节负荷较高的足球运动员。
Knee Surg Sports Traumatol Arthrosc. 2021 Dec;29(12):4032-4040. doi: 10.1007/s00167-021-06709-2. Epub 2021 Sep 4.
4
Is there association between cutting and jump-landing movement quality in semi-professional football players? Implications for ACL injury risk screening.半职业足球运动员的切割和跳跃着陆动作质量之间是否存在关联?对 ACL 损伤风险筛查的启示。
Phys Ther Sport. 2022 Jul;56:15-23. doi: 10.1016/j.ptsp.2022.05.015. Epub 2022 Jun 3.
5
Comparison of drop jumps and sport-specific sidestep cutting: implications for anterior cruciate ligament injury risk screening.跳落测试与专项变向切割测试的比较:对前交叉韧带损伤风险筛查的影响。
Am J Sports Med. 2013 Mar;41(3):684-8. doi: 10.1177/0363546512472043. Epub 2013 Jan 3.
6
Abnormal frontal plane knee mechanics during sidestep cutting in female soccer athletes after anterior cruciate ligament reconstruction and return to sport.前交叉韧带重建和重返运动后,女性足球运动员侧步切入时膝关节额状面力学异常。
Am J Sports Med. 2013 Apr;41(4):918-23. doi: 10.1177/0363546513476853. Epub 2013 Feb 20.
7
Reliability of a field-based drop vertical jump screening test for ACL injury risk assessment.基于现场的纵跳筛查测试用于前交叉韧带损伤风险评估的可靠性
Phys Sportsmed. 2016;44(1):46-52. doi: 10.1080/00913847.2016.1131107. Epub 2016 Jan 20.
8
Altered lower extremity movement variability in female soccer players during side-step cutting after anterior cruciate ligament reconstruction.前交叉韧带重建术后女子足球运动员侧步切入时下肢运动变异性的改变
Am J Sports Med. 2015 Feb;43(2):460-5. doi: 10.1177/0363546514560153. Epub 2014 Dec 15.
9
Prevention of non-contact anterior cruciate ligament injuries in soccer players. Part 1: Mechanisms of injury and underlying risk factors.足球运动员非接触性前交叉韧带损伤的预防。第1部分:损伤机制及潜在风险因素。
Knee Surg Sports Traumatol Arthrosc. 2009 Jul;17(7):705-29. doi: 10.1007/s00167-009-0813-1. Epub 2009 May 19.
10
Biomechanical and neuromuscular comparison of single- and multi-planar jump tests and a side-cutting maneuver: Implications for ACL injury risk assessment.单平面和多平面跳跃测试及侧切动作的生物力学与神经肌肉比较:对前交叉韧带损伤风险评估的意义
Knee. 2020 Mar;27(2):324-333. doi: 10.1016/j.knee.2019.10.022. Epub 2019 Dec 27.

引用本文的文献

1
Can Unilateral Strength Training Optimize Change of Direction Mechanics and Mitigate Anterior Cruciate Ligament Injury Risk in Female Soccer Players? A Preliminary Pre-Post Intervention Study.单侧力量训练能否优化女子足球运动员的变向力学并降低前交叉韧带损伤风险?一项初步的干预前后研究。
Sports (Basel). 2025 Apr 29;13(5):135. doi: 10.3390/sports13050135.
2
Clinical Utility of Qualitative Change of Direction Movement Assessment in ACL Injury Risk Evaluation.定性变向运动评估在 ACL 损伤风险评估中的临床应用
Int J Sports Phys Ther. 2024 Oct 1;19(10):1263-1278. doi: 10.26603/001c.123483. eCollection 2024.
3
Assessing the effect of prophylactic ankle taping on ankle and knee biomechanics during landing tasks in healthy individuals: A cross-sectional observational study.

本文引用的文献

1
Reliability of a novel dynamic test of postural stability in high-level soccer players.高水平足球运动员姿势稳定性新型动态测试的可靠性
Heliyon. 2021 Apr 21;7(4):e06647. doi: 10.1016/j.heliyon.2021.e06647. eCollection 2021 Apr.
2
Systematic Video Analysis of Anterior Cruciate Ligament Injuries in Professional Female Soccer Players.系统分析职业女性足球运动员前交叉韧带损伤
Am J Sports Med. 2021 Jun;49(7):1794-1802. doi: 10.1177/03635465211008169. Epub 2021 May 14.
3
A 2D video-analysis scoring system of 90° change of direction technique identifies football players with high knee abduction moment.
评估预防性踝关节贴扎对健康个体在着陆任务中踝关节和膝关节生物力学的影响:一项横断面观察性研究。
Sao Paulo Med J. 2023 Jul 31;142(2):e2022548. doi: 10.1590/1516-3180.2022.0548.R1.10032023. eCollection 2023.
二维视频分析评分系统对 90°变向技术进行分析,可识别出具有高膝关节外展力矩的足球运动员。
Knee Surg Sports Traumatol Arthrosc. 2022 Nov;30(11):3616-3625. doi: 10.1007/s00167-021-06571-2. Epub 2021 Apr 29.
4
Reliability of five trunk flexion and extension endurance field-based tests in high school-aged adolescents: ISQUIOS programme.5 种基于现场的躯干屈伸耐力测试在高中青少年中的可靠性:ISQUIOS 计划。
J Sports Sci. 2021 Aug;39(16):1860-1872. doi: 10.1080/02640414.2021.1903706. Epub 2021 Mar 28.
5
Reliability of the Tuck Jump Assessment Using Standardized Rater Training.使用标准化评分员培训进行收腹跳评估的可靠性
Int J Sports Phys Ther. 2021 Feb 2;16(1):162-168. doi: 10.26603/001c.18662.
6
Design, Validation, and Reliability of an Observational Instrument for Technical and Tactical Actions in Singles Badminton.单打羽毛球技术和战术动作观察工具的设计、验证与可靠性
Front Psychol. 2020 Dec 10;11:582693. doi: 10.3389/fpsyg.2020.582693. eCollection 2020.
7
Validity and Reliability of the New Basic Functional Assessment Protocol (BFA).新基本功能评估协议(BFA)的有效性和可靠性。
Int J Environ Res Public Health. 2020 Jul 5;17(13):4845. doi: 10.3390/ijerph17134845.
8
Systematic video analysis of ACL injuries in professional male football (soccer): injury mechanisms, situational patterns and biomechanics study on 134 consecutive cases.系统分析职业男性足球运动员 ACL 损伤:134 例连续病例的损伤机制、情况模式和生物力学研究。
Br J Sports Med. 2020 Dec;54(23):1423-1432. doi: 10.1136/bjsports-2019-101247. Epub 2020 Jun 19.
9
A Meta-Analysis of the Reliability of Four Field-Based Trunk Extension Endurance Tests.四种基于场域的躯干伸展耐力测试的可靠性的荟萃分析。
Int J Environ Res Public Health. 2020 Apr 29;17(9):3088. doi: 10.3390/ijerph17093088.
10
An Observational Tool to Assess Activity Limitation in Ambulatory People with Cerebral Palsy When Performing Motor Skills.用于评估脑瘫患者在进行运动技能时活动受限的观察工具。
Int J Environ Res Public Health. 2020 Mar 14;17(6):1896. doi: 10.3390/ijerph17061896.