• 文献检索
  • 文档翻译
  • 深度研究
  • 学术资讯
  • Suppr Zotero 插件Zotero 插件
  • 邀请有礼
  • 套餐&价格
  • 历史记录
应用&插件
Suppr Zotero 插件Zotero 插件浏览器插件Mac 客户端Windows 客户端微信小程序
定价
高级版会员购买积分包购买API积分包
服务
文献检索文档翻译深度研究API 文档MCP 服务
关于我们
关于 Suppr公司介绍联系我们用户协议隐私条款
关注我们

Suppr 超能文献

核心技术专利:CN118964589B侵权必究
粤ICP备2023148730 号-1Suppr @ 2026

文献检索

告别复杂PubMed语法,用中文像聊天一样搜索,搜遍4000万医学文献。AI智能推荐,让科研检索更轻松。

立即免费搜索

文件翻译

保留排版,准确专业,支持PDF/Word/PPT等文件格式,支持 12+语言互译。

免费翻译文档

深度研究

AI帮你快速写综述,25分钟生成高质量综述,智能提取关键信息,辅助科研写作。

立即免费体验

在有机-无机杂化MIL-53(Al)材料中低外加压力下巨大呼吸-热效应的发现

Discovery of Colossal Breathing-Caloric Effect under Low Applied Pressure in the Hybrid Organic-Inorganic MIL-53(Al) Material.

作者信息

García-Ben Javier, López-Beceiro Jorge, Artiaga Ramon, Salgado-Beceiro Jorge, Delgado-Ferreiro Ignacio, Kolen'ko Yury V, Castro-García Socorro, Señarís-Rodríguez María Antonia, Sánchez-Andújar Manuel, Bermúdez-García Juan Manuel

机构信息

Quimolmat, Centro de Investigacións Científicas Avanzadas (CICA), Universidade da Coruña,, Rúa as Carballeiras, 15071 A Coruña, Spain.

Quimolmat, Departamento de Química, Facultade de Ciencias, Universidade da Coruña, Campus da Zapateira, 15008 A Coruña, Spain.

出版信息

Chem Mater. 2022 Apr 12;34(7):3323-3332. doi: 10.1021/acs.chemmater.2c00137. Epub 2022 Mar 30.

DOI:10.1021/acs.chemmater.2c00137
PMID:35444364
原文链接:https://pmc.ncbi.nlm.nih.gov/articles/PMC9011131/
Abstract

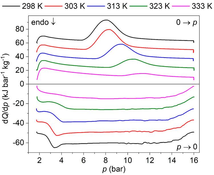
In this work, "breathing-caloric" effect is introduced as a new term to define very large thermal changes that arise from the combination of structural changes and gas adsorption processes occurring during breathing transitions. In regard to cooling and heating applications, this innovative caloric effect appears under very low working pressures and in a wide operating temperature range. This phenomenon, whose origin is analyzed in depth, is observed and reported here for the first time in the porous hybrid organic-inorganic MIL-53(Al) material. This MOF compound exhibits colossal thermal changes of Δ ∼ 311 J K kg and Δ ∼ 93 kJ kg at room temperature (298 K) and under only 16 bar, pressure which is similar to that of common gas refrigerants at the same operating temperature (for instance, (CO) ∼ 64 bar and (R134a) ∼ 6 bar) and noticeably lower than > 1000 bar of most solid barocaloric materials. Furthermore, MIL-53(Al) can operate in a very wide temperature range from 333 K down to 254 K, matching the operating requirements of most HVAC systems. Therefore, these findings offer new eco-friendly alternatives to the current refrigeration systems that can be easily adapted to existing technologies and open the door to the innovation of future cooling systems yet to be developed.

摘要

在本研究中,引入了“呼吸热”效应这一新术语,用于定义在呼吸转变过程中结构变化与气体吸附过程相结合所产生的非常大的热变化。对于冷却和加热应用而言,这种创新的热效应在非常低的工作压力下以及较宽的工作温度范围内出现。本文首次在多孔有机-无机杂化材料MIL-53(Al)中观察并报道了这一现象,其起源也得到了深入分析。这种金属有机框架化合物在室温(298K)且仅在16巴压力下展现出巨大的热变化,Δ约为311焦耳/千克·开尔文和Δ约为93千焦/千克,该压力与相同工作温度下常见气体制冷剂的压力相近(例如,二氧化碳约为64巴,R134a约为6巴),且明显低于大多数固体正热材料的>1000巴。此外,MIL-53(Al)能够在从333K到254K的非常宽的温度范围内运行,符合大多数暖通空调系统的运行要求。因此,这些发现为当前制冷系统提供了新的环保替代方案,能够轻松适应现有技术,并为未来尚未开发的冷却系统创新打开了大门。

https://cdn.ncbi.nlm.nih.gov/pmc/blobs/c2ec/9011131/62fa4528d573/cm2c00137_0008.jpg
https://cdn.ncbi.nlm.nih.gov/pmc/blobs/c2ec/9011131/ce9c11443000/cm2c00137_0001.jpg
https://cdn.ncbi.nlm.nih.gov/pmc/blobs/c2ec/9011131/1c768df25cda/cm2c00137_0002.jpg
https://cdn.ncbi.nlm.nih.gov/pmc/blobs/c2ec/9011131/4824976de63e/cm2c00137_0003.jpg
https://cdn.ncbi.nlm.nih.gov/pmc/blobs/c2ec/9011131/bd6da950146e/cm2c00137_0004.jpg
https://cdn.ncbi.nlm.nih.gov/pmc/blobs/c2ec/9011131/6307efd4967f/cm2c00137_0005.jpg
https://cdn.ncbi.nlm.nih.gov/pmc/blobs/c2ec/9011131/efacf5758f11/cm2c00137_0006.jpg
https://cdn.ncbi.nlm.nih.gov/pmc/blobs/c2ec/9011131/0db28f7d51ad/cm2c00137_0007.jpg
https://cdn.ncbi.nlm.nih.gov/pmc/blobs/c2ec/9011131/62fa4528d573/cm2c00137_0008.jpg
https://cdn.ncbi.nlm.nih.gov/pmc/blobs/c2ec/9011131/ce9c11443000/cm2c00137_0001.jpg
https://cdn.ncbi.nlm.nih.gov/pmc/blobs/c2ec/9011131/1c768df25cda/cm2c00137_0002.jpg
https://cdn.ncbi.nlm.nih.gov/pmc/blobs/c2ec/9011131/4824976de63e/cm2c00137_0003.jpg
https://cdn.ncbi.nlm.nih.gov/pmc/blobs/c2ec/9011131/bd6da950146e/cm2c00137_0004.jpg
https://cdn.ncbi.nlm.nih.gov/pmc/blobs/c2ec/9011131/6307efd4967f/cm2c00137_0005.jpg
https://cdn.ncbi.nlm.nih.gov/pmc/blobs/c2ec/9011131/efacf5758f11/cm2c00137_0006.jpg
https://cdn.ncbi.nlm.nih.gov/pmc/blobs/c2ec/9011131/0db28f7d51ad/cm2c00137_0007.jpg
https://cdn.ncbi.nlm.nih.gov/pmc/blobs/c2ec/9011131/62fa4528d573/cm2c00137_0008.jpg

相似文献

1
Discovery of Colossal Breathing-Caloric Effect under Low Applied Pressure in the Hybrid Organic-Inorganic MIL-53(Al) Material.在有机-无机杂化MIL-53(Al)材料中低外加压力下巨大呼吸-热效应的发现
Chem Mater. 2022 Apr 12;34(7):3323-3332. doi: 10.1021/acs.chemmater.2c00137. Epub 2022 Mar 30.
2
Empowering CO Eco-Refrigeration With Colossal Breathing-Caloric-Like Effects in MOF-508b.通过MOF-508b中类似巨大呼吸热效应增强CO生态制冷
Adv Mater. 2024 Apr;36(16):e2310499. doi: 10.1002/adma.202310499. Epub 2023 Dec 25.
3
Colossal Barocaloric Effect of Binary Fatty Acid Methyl Esters under Low Pressures near Room Temperature.二元脂肪酸甲酯在室温附近低压下的巨大磁热效应。 (注:原文中的“Barocaloric”可能有误,推测应该是“Magnetocaloric”,按照正确的“磁热效应”翻译了,供你参考,若原文无误,请以实际为准)
J Phys Chem Lett. 2024 Feb 22;15(7):1962-1968. doi: 10.1021/acs.jpclett.3c03124. Epub 2024 Feb 12.
4
Colossal barocaloric effects with ultralow hysteresis in two-dimensional metal-halide perovskites.二维金属卤化物钙钛矿中具有超低滞后的巨大热致变温效应。
Nat Commun. 2022 May 9;13(1):2536. doi: 10.1038/s41467-022-29800-9.
5
Colossal Barocaloric Effect near Ambient Temperature in 1-Dodecanol under a Low Pressure.低压下1-十二醇在环境温度附近的巨大热弹效应。
J Phys Chem Lett. 2024 Jul 18;15(28):7141-7146. doi: 10.1021/acs.jpclett.4c01369. Epub 2024 Jul 3.
6
Simple and Low-Cost Footstep Energy-Recover Barocaloric Heating and Cooling Device.简单且低成本的脚步能量回收型气压热制冷装置
Materials (Basel). 2021 Oct 10;14(20):5947. doi: 10.3390/ma14205947.
7
Driving Barocaloric Effects in a Molecular Spin-Crossover Complex at Low Pressures.在低压下驱动分子自旋交叉配合物中的气压热效应。
J Am Chem Soc. 2022 Apr 13;144(14):6493-6503. doi: 10.1021/jacs.2c01315. Epub 2022 Mar 31.
8
Giant adiabatic temperature change and its direct measurement of a barocaloric effect in a charge-transfer solid.电荷转移固体中的巨大绝热温度变化及其对压热效应的直接测量。
Nat Commun. 2023 Dec 27;14(1):8466. doi: 10.1038/s41467-023-44350-4.
9
Colossal barocaloric effects near room temperature in plastic crystals of neopentylglycol.新戊二醇塑料晶体在室温附近的巨大热致变温效应。
Nat Commun. 2019 Apr 18;10(1):1803. doi: 10.1038/s41467-019-09730-9.
10
Colossal and reversible barocaloric effect in liquid-solid-transition materials n-alkanes.液态-固态转变材料正构烷烃中巨大且可逆的压力热效应
Nat Commun. 2022 Feb 1;13(1):596. doi: 10.1038/s41467-022-28229-4.

引用本文的文献

1
Terahertz Spectroscopy Unambiguously Determines the Orientation of Guest Water Molecules in a Structurally Elusive Metal-Organic Framework.太赫兹光谱法明确确定了在结构难以捉摸的金属有机框架中客体水分子的取向。
J Phys Chem Lett. 2024 May 23;15(20):5549-5555. doi: 10.1021/acs.jpclett.4c00706. Epub 2024 May 16.
2
Colossal Reversible Barocaloric Effects in a Plastic Crystal Mediated by Lattice Vibrations and Ion Diffusion.晶格振动和离子扩散介导的塑性晶体中的巨大可逆热弹效应
Adv Sci (Weinh). 2024 Jul;11(26):e2306488. doi: 10.1002/advs.202306488. Epub 2024 May 5.

本文引用的文献

1
Caloric materials for cooling and heating.冷却和加热的热能材料。
Science. 2020 Nov 13;370(6518):797-803. doi: 10.1126/science.abb0973.
2
The COVID-19 Vaccine Race: Challenges and Opportunities in Vaccine Formulation.COVID-19 疫苗竞赛:疫苗配方中的挑战与机遇。
AAPS PharmSciTech. 2020 Aug 5;21(6):225. doi: 10.1208/s12249-020-01744-7.
3
Colossal barocaloric effects near room temperature in plastic crystals of neopentylglycol.新戊二醇塑料晶体在室温附近的巨大热致变温效应。
Nat Commun. 2019 Apr 18;10(1):1803. doi: 10.1038/s41467-019-09730-9.
4
Colossal barocaloric effects in plastic crystals.塑料晶体中的巨大压焓效应。
Nature. 2019 Mar;567(7749):506-510. doi: 10.1038/s41586-019-1042-5. Epub 2019 Mar 27.
5
Mechanical energy storage performance of an aluminum fumarate metal-organic framework.富马酸铝金属有机框架的机械能存储性能
Chem Sci. 2016 Jan 1;7(1):446-450. doi: 10.1039/c5sc02794b. Epub 2015 Oct 5.
6
A Review on Breathing Behaviors of Metal-Organic-Frameworks (MOFs) for Gas Adsorption.金属有机框架材料(MOFs)用于气体吸附的呼吸行为综述
Materials (Basel). 2014 Apr 21;7(4):3198-3250. doi: 10.3390/ma7043198.
7
Giant barocaloric effect in the ferroic organic-inorganic hybrid [TPrA][Mn(dca)] perovskite under easily accessible pressures.在易于达到的压力下,铁电有机-无机混合钙钛矿 [TPrA][Mn(dca)] 中存在巨大的 barocaloric 效应。
Nat Commun. 2017 Jun 1;8:15715. doi: 10.1038/ncomms15715.
8
Materials with Giant Mechanocaloric Effects: Cooling by Strength.具有巨大机械热效应的材料:以强度致冷。
Adv Mater. 2017 Mar;29(11). doi: 10.1002/adma.201603607. Epub 2016 Dec 27.
9
Adsorption-Driven Heat Pumps: The Potential of Metal-Organic Frameworks.吸附驱动热泵:金属有机框架的潜力
Chem Rev. 2015 Nov 25;115(22):12205-50. doi: 10.1021/acs.chemrev.5b00059. Epub 2015 Oct 23.
10
The direct heat measurement of mechanical energy storage metal-organic frameworks.机械能存储金属有机框架的直接热测量。
Angew Chem Int Ed Engl. 2015 Apr 7;54(15):4626-30. doi: 10.1002/anie.201411202. Epub 2015 Feb 16.