Suppr超能文献

活体供肾移植侧别与移植后结局的关系。

Association Between Side of Living Kidney Donation and Post-Transplant Outcomes.

机构信息

Faculty of Medicine and Health, University of Sydney, Sydney, NSW, Australia.

The Centre for Transplant and Renal Research, Westmead Institute of Medical Research, Westmead, NSW, Australia.

出版信息

Transpl Int. 2022 Apr 4;35:10117. doi: 10.3389/ti.2022.10117. eCollection 2022.

Abstract

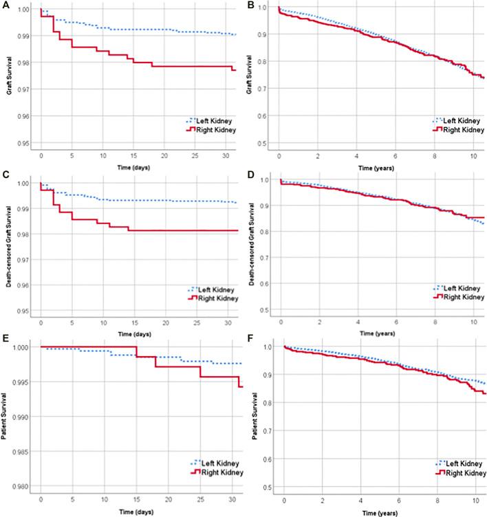
Right-sided living donor kidneys have longer renal arteries and shorter veins that make vascular anastomosis more challenging. We sought to determine whether recipients of right-sided living donor kidneys have worse outcomes than left-sided kidney recipients. An observational analysis of the Australia and New Zealand Dialysis and Transplant Registry (ANZDATA) was undertaken. We used adjusted logistic regression to determine the association between side and delayed graft function (DGF) and time-stratified adjusted cox regression models for graft and patient survivals. Between 2004 and 2018, 4,050 living donor kidney transplants were conducted with 696 (17.2%) using right kidneys. With reference to left kidneys, the adjusted OR (95% CI) for DGF was 2.01 (1.31-3.09) for recipients with right kidneys. Within 30 days, 46 allografts (1.4%) were lost, with major causes of overall graft loss being technical, primary non-function and death. Recipients of right donor kidneys experienced a greater risk of early graft loss (aHR 2.02 [95% CI 1.06-3.86], = 0.03), but not beyond 30 days (aHR 0.97 [95% CI 0.80-1.19], = 0.8]). Technical challenge is the most common cause of early graft loss. The risk of early graft loss among recipients who received right kidneys is doubled compared to those who received left living donor kidneys.

摘要

右侧供体肾脏的肾动脉较长,静脉较短,这使得血管吻合更加具有挑战性。我们试图确定接受右侧供体肾脏的受者是否比接受左侧肾脏的受者结局更差。

对澳大利亚和新西兰透析和移植登记处(ANZDATA)进行了观察性分析。我们使用调整后的逻辑回归来确定侧别与延迟移植物功能障碍(DGF)之间的关联,并使用时间分层调整后的 Cox 回归模型来确定移植物和患者存活率。

在 2004 年至 2018 年期间,进行了 4050 例活体供肾移植,其中 696 例(17.2%)使用右侧肾脏。与左侧肾脏相比,右侧肾脏受者的 DGF 调整后的 OR(95%CI)为 2.01(1.31-3.09)。在 30 天内,有 46 个同种异体移植物(1.4%)丢失,总移植物丢失的主要原因是技术、原发性无功能和死亡。右侧供体肾脏受者早期移植物丢失的风险更高(aHR 2.02[95%CI 1.06-3.86],=0.03),但 30 天后则不然(aHR 0.97[95%CI 0.80-1.19],=0.8))。

技术挑战是早期移植物丢失的最常见原因。与接受左侧活体供体肾脏的受者相比,接受右侧肾脏的受者早期移植物丢失的风险增加了一倍。

https://cdn.ncbi.nlm.nih.gov/pmc/blobs/5175/9013757/864223e5d3fc/ti-35-10117-g001.jpg

文献AI研究员

20分钟写一篇综述,助力文献阅读效率提升50倍。

立即体验

用中文搜PubMed

大模型驱动的PubMed中文搜索引擎

马上搜索

文档翻译

学术文献翻译模型,支持多种主流文档格式。

立即体验