Suppr超能文献

用于堵漏的剪切触变聚合物凝胶物理化学性质的实验研究

Experimental Study on Physicochemical Properties of a Shear Thixotropic Polymer Gel for Lost Circulation Control.

作者信息

Yang Jingbin, Bai Yingrui, Sun Jinsheng, Lv Kaihe, Han Jinliang, Dai Liyao

机构信息

School of Petroleum Engineering, China University of Petroleum (East China), Qingdao 266580, China.

CNPC Engineering Technology R&D Company Limited, Beijing 102206, China.

出版信息

Gels. 2022 Apr 7;8(4):229. doi: 10.3390/gels8040229.

Abstract

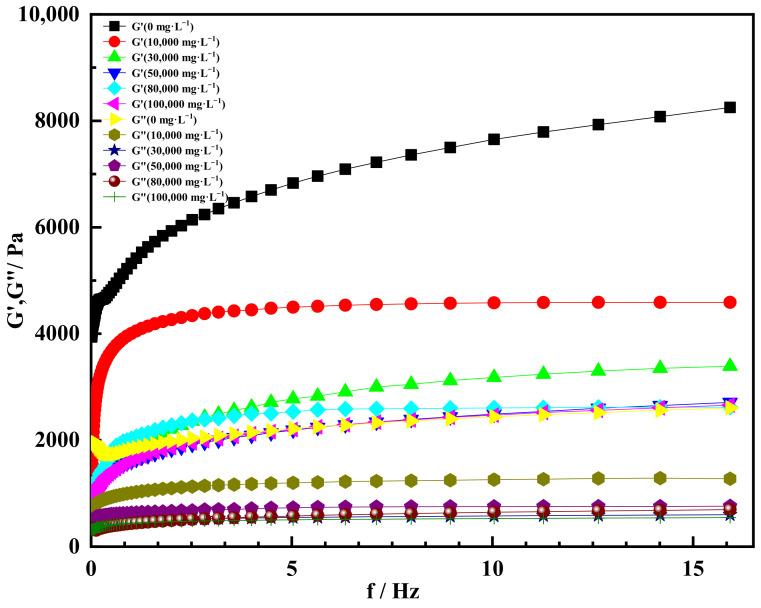
Polymer gel lost circulation control technology is a common and effective technique to control fractured lost circulation. The performance of a lost circulation control agent is the key to the success of lost circulation control techniques. In this study, rheological tests were used to study the physical and chemical properties of a shear thixotropic polymer gel system, such as anti-dilution, high temperature resistance and high salt resistance. The results showed that the shear thixotropic polymer gel system had the ability of anti-dilution, and the gel could be formed under a mixture of 3 times volume of heavy salt water and 3/7 volume white oil, and could keep the structure and morphology stable. Secondly, the gel formation time of shear thixotropic polymer gel system could be controlled and had good injection performance under the condition of 140 °C and different initiator concentrations. Meanwhile, the shear thixotropic polymer gel system had the ability of high temperature and high salt resistance, and the gel formation effect was good in salt water. When the scanning frequency was 4 Hz and the temperature was 140 °C, the storage modulus (G') of the gel was 4700 Pa. The gel was dominated by elasticity and had excellent mechanical properties. By scanning electron microscope observation, it was found that the shear thixotropic polymer gel system had a stable three-dimensional reticular space skeleton under the condition of high salt, indicating that it had excellent ability to tolerate high salt. Therefore, the shear thixotropic polymer gel had high temperature and high salt resistance, dilution resistance and good shear responsiveness. It is believed that the results presented in this work are of importance for extending real-life applications of shear thixotropic polymer gel systems.

摘要

聚合物凝胶堵漏技术是控制裂缝性漏失的一种常用且有效的技术。堵漏剂的性能是堵漏技术成功的关键。在本研究中,通过流变学测试来研究一种剪切触变性聚合物凝胶体系的物理和化学性质,如抗稀释性、耐高温性和耐高盐性。结果表明,该剪切触变性聚合物凝胶体系具有抗稀释能力,在3倍体积的重盐水与3/7体积白油的混合液中能够形成凝胶,且能保持结构和形态稳定。其次,在140℃和不同引发剂浓度条件下,剪切触变性聚合物凝胶体系的凝胶形成时间可控且具有良好的注入性能。同时,该剪切触变性聚合物凝胶体系具有耐高温和耐高盐能力,在盐水中凝胶形成效果良好。当扫描频率为4Hz且温度为140℃时,凝胶的储能模量(G')为4700Pa。该凝胶以弹性为主,具有优异的力学性能。通过扫描电子显微镜观察发现,在高盐条件下,剪切触变性聚合物凝胶体系具有稳定的三维网状空间骨架,表明其具有优异的耐高盐能力。因此,该剪切触变性聚合物凝胶具有耐高温、耐高盐、抗稀释以及良好的剪切响应性。相信本工作所呈现的结果对于拓展剪切触变性聚合物凝胶体系的实际应用具有重要意义。

https://cdn.ncbi.nlm.nih.gov/pmc/blobs/4239/9030644/8763ff0b23d5/gels-08-00229-g001.jpg

文献检索

告别复杂PubMed语法,用中文像聊天一样搜索,搜遍4000万医学文献。AI智能推荐,让科研检索更轻松。

立即免费搜索

文件翻译

保留排版,准确专业,支持PDF/Word/PPT等文件格式,支持 12+语言互译。

免费翻译文档

深度研究

AI帮你快速写综述,25分钟生成高质量综述,智能提取关键信息,辅助科研写作。

立即免费体验