• 文献检索
  • 文档翻译
  • 深度研究
  • 学术资讯
  • Suppr Zotero 插件Zotero 插件
  • 邀请有礼
  • 套餐&价格
  • 历史记录
应用&插件
Suppr Zotero 插件Zotero 插件浏览器插件Mac 客户端Windows 客户端微信小程序
定价
高级版会员购买积分包购买API积分包
服务
文献检索文档翻译深度研究API 文档MCP 服务
关于我们
关于 Suppr公司介绍联系我们用户协议隐私条款
关注我们

Suppr 超能文献

核心技术专利:CN118964589B侵权必究
粤ICP备2023148730 号-1Suppr @ 2026

文献检索

告别复杂PubMed语法,用中文像聊天一样搜索,搜遍4000万医学文献。AI智能推荐,让科研检索更轻松。

立即免费搜索

文件翻译

保留排版,准确专业,支持PDF/Word/PPT等文件格式,支持 12+语言互译。

免费翻译文档

深度研究

AI帮你快速写综述,25分钟生成高质量综述,智能提取关键信息,辅助科研写作。

立即免费体验

聚(己二酸丁二醇酯-co-对苯二甲酸丁二醇酯)(PBAT)和聚丁二酸丁二醇酯(PBS)可降解地膜在模拟海洋环境中的生物降解行为

Biodegradation Behavior of Degradable Mulch with Poly (Butylene Adipate-co-Terephthalate) (PBAT) and Poly (Butylene Succinate) (PBS) in Simulation Marine Environment.

作者信息

Liu Bo, Guan Tonghui, Wu Gang, Fu Ye, Weng Yunxuan

机构信息

College of Chemistry and Materials Engineering, Beijing Technology and Business University, Beijing 100048, China.

Collaborative Innovation Center for Eco-Friendly and Fire-Safety Polymeric Materials (MoE), National Engineering Laboratory of Eco-Friendly Polymeric Materials (Sichuan), State Key Laboratory of Polymer Materials Engineering, College of Chemistry, Sichuan University, Chengdu 610064, China.

出版信息

Polymers (Basel). 2022 Apr 8;14(8):1515. doi: 10.3390/polym14081515.

DOI:10.3390/polym14081515
PMID:35458265
原文链接:https://pmc.ncbi.nlm.nih.gov/articles/PMC9032892/
Abstract

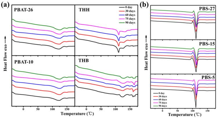
Poly (butylene adipate-co-terephthalate) (PBAT) and poly (butylene succinate) (PBS) are polyester materials with excellent biodegradability under soil and compost conditions. However, the research on their degradation process in the marine environment is scarce. In this study, a more realistic simulation marine environment with sediment and marine organisms was developed, followed by investigation of the biodegradation behavior of PBAT and PBS mulch in it. The effect of aromatic structure, carboxyl end group content, molecular weight, and inorganic fillers on the degeneration of mulch was characterized by the changes in appearance, chemical structure, thermal properties, and crystallinity via Fourier transform infrared spectroscopy, differential scanning calorimetry, thermogravimetric analysis, gel permeation chromatography, element analysis, and X-ray photoelectron spectroscopy. The molecular weight of polyester blends decreased, while the content of the C-O bond in the composites increased, indicating that the samples indeed degraded. The degradation rate was measured with the CO release amount. The aliphatic polyester structure, lower molecular weight, higher carboxyl end group content, and the involvement of inorganic fillers facilitate the disintegration of polyester in the marine environment, which provides an effective method to construct materials with controllable biodegradable performance.

摘要

聚己二酸丁二醇酯-对苯二甲酸丁二醇酯(PBAT)和聚丁二酸丁二醇酯(PBS)是在土壤和堆肥条件下具有优异生物降解性的聚酯材料。然而,关于它们在海洋环境中降解过程的研究却很少。在本研究中,构建了一个包含沉积物和海洋生物的更贴近实际的模拟海洋环境,随后研究了PBAT和PBS覆盖膜在其中的生物降解行为。通过傅里叶变换红外光谱、差示扫描量热法、热重分析、凝胶渗透色谱法、元素分析和X射线光电子能谱,从外观、化学结构、热性能和结晶度的变化来表征芳香结构、羧基端基含量、分子量和无机填料对覆盖膜降解的影响。聚酯共混物的分子量降低,而复合材料中C-O键的含量增加,表明样品确实发生了降解。通过CO释放量来测定降解速率。脂肪族聚酯结构、较低的分子量、较高的羧基端基含量以及无机填料的参与促进了聚酯在海洋环境中的分解,这为构建具有可控生物降解性能的材料提供了一种有效方法。

https://cdn.ncbi.nlm.nih.gov/pmc/blobs/02a7/9032892/a418553581e1/polymers-14-01515-g006.jpg
https://cdn.ncbi.nlm.nih.gov/pmc/blobs/02a7/9032892/d4761a6c470f/polymers-14-01515-g001.jpg
https://cdn.ncbi.nlm.nih.gov/pmc/blobs/02a7/9032892/0ae994b231ad/polymers-14-01515-g002.jpg
https://cdn.ncbi.nlm.nih.gov/pmc/blobs/02a7/9032892/453a4128fa3a/polymers-14-01515-g003.jpg
https://cdn.ncbi.nlm.nih.gov/pmc/blobs/02a7/9032892/94a690c66574/polymers-14-01515-g004.jpg
https://cdn.ncbi.nlm.nih.gov/pmc/blobs/02a7/9032892/c49492a6a2b5/polymers-14-01515-g005.jpg
https://cdn.ncbi.nlm.nih.gov/pmc/blobs/02a7/9032892/a418553581e1/polymers-14-01515-g006.jpg
https://cdn.ncbi.nlm.nih.gov/pmc/blobs/02a7/9032892/d4761a6c470f/polymers-14-01515-g001.jpg
https://cdn.ncbi.nlm.nih.gov/pmc/blobs/02a7/9032892/0ae994b231ad/polymers-14-01515-g002.jpg
https://cdn.ncbi.nlm.nih.gov/pmc/blobs/02a7/9032892/453a4128fa3a/polymers-14-01515-g003.jpg
https://cdn.ncbi.nlm.nih.gov/pmc/blobs/02a7/9032892/94a690c66574/polymers-14-01515-g004.jpg
https://cdn.ncbi.nlm.nih.gov/pmc/blobs/02a7/9032892/c49492a6a2b5/polymers-14-01515-g005.jpg
https://cdn.ncbi.nlm.nih.gov/pmc/blobs/02a7/9032892/a418553581e1/polymers-14-01515-g006.jpg

相似文献

1
Biodegradation Behavior of Degradable Mulch with Poly (Butylene Adipate-co-Terephthalate) (PBAT) and Poly (Butylene Succinate) (PBS) in Simulation Marine Environment.聚(己二酸丁二醇酯-co-对苯二甲酸丁二醇酯)(PBAT)和聚丁二酸丁二醇酯(PBS)可降解地膜在模拟海洋环境中的生物降解行为
Polymers (Basel). 2022 Apr 8;14(8):1515. doi: 10.3390/polym14081515.
2
Biodegradation Behavior of Poly(Butylene Adipate-Co-Terephthalate) (PBAT), Poly(Lactic Acid) (PLA), and Their Blend in Freshwater with Sediment.聚己二酸/对苯二甲酸丁二醇酯(PBAT)、聚乳酸(PLA)及其在淡水沉积物中的共混物的生物降解行为。
Molecules. 2020 Aug 29;25(17):3946. doi: 10.3390/molecules25173946.
3
Properties of Biodegradable Films Based on Poly(butylene Succinate) (PBS) and Poly(butylene Adipate--Terephthalate) (PBAT) Blends .基于聚丁二酸丁二醇酯(PBS)和聚己二酸-对苯二甲酸丁二醇酯(PBAT)共混物的可生物降解薄膜的性能
Polymers (Basel). 2020 Oct 10;12(10):2317. doi: 10.3390/polym12102317.
4
[Application of cutinase in the degradation of biodegradable polyester poly(butylene adipate-co-terephthalate)].角质酶在可生物降解聚酯聚(己二酸丁二醇酯-co-对苯二甲酸丁二醇酯)降解中的应用
Sheng Wu Gong Cheng Xue Bao. 2023 May 25;39(5):1987-1997. doi: 10.13345/j.cjb.220819.
5
Enhanced Biodegradation Rate of Poly(butylene adipate-co-terephthalate) Composites Using Reed Fiber.使用芦苇纤维提高聚(己二酸丁二醇酯-co-对苯二甲酸丁二醇酯)复合材料的生物降解率
Polymers (Basel). 2024 Feb 1;16(3):411. doi: 10.3390/polym16030411.
6
A Comparative Study on the Aerobic Biodegradation of the Biopolymer Blends of Poly(butylene succinate), Poly(butylene adipate terephthalate) and Poly(lactic acid).聚丁二酸丁二醇酯、聚己二酸/对苯二甲酸丁二醇酯和聚乳酸生物聚合物共混物的好氧生物降解比较研究
Polymers (Basel). 2022 May 5;14(9):1894. doi: 10.3390/polym14091894.
7
Microbial degradation of aliphatic and aliphatic-aromatic co-polyesters.脂肪族及脂肪族-芳香族共聚酯的微生物降解
Appl Microbiol Biotechnol. 2014 Apr;98(8):3437-47. doi: 10.1007/s00253-014-5558-1. Epub 2014 Feb 13.
8
Binary Green Blends of Poly(lactic acid) with Poly(butylene adipate--butylene terephthalate) and Poly(butylene succinate--butylene adipate) and Their Nanocomposites.聚乳酸与聚(己二酸丁二酯-对苯二甲酸丁二酯)和聚(琥珀酸丁二酯-己二酸丁二酯)的二元绿色共混物及其纳米复合材料
Polymers (Basel). 2021 Jul 28;13(15):2489. doi: 10.3390/polym13152489.
9
Preparation and Performance of Biodegradable Poly(butylene adipate--terephthalate) Composites Reinforced with Novel AgSnO Microparticles for Application in Food Packaging.用于食品包装的新型AgSnO微粒增强可生物降解聚(己二酸丁二醇酯-对苯二甲酸丁二醇酯)复合材料的制备与性能
Polymers (Basel). 2023 Jan 21;15(3):554. doi: 10.3390/polym15030554.
10
Assessment of aliphatic-aromatic copolyester biodegradable mulch films. Part II: laboratory simulated conditions.脂肪族-芳香族共聚酯可生物降解地膜的评估。第二部分:实验室模拟条件。
Chemosphere. 2008 Apr;71(9):1607-16. doi: 10.1016/j.chemosphere.2008.01.037. Epub 2008 Mar 18.

引用本文的文献

1
Flame Retardance and Antistatic Polybutylene Succinate/Polybutylene Adipate-Co-Terephthalate/Magnesium Composite.阻燃抗静电聚丁二酸丁二醇酯/聚己二酸/对苯二甲酸丁二醇酯/镁复合材料
Polymers (Basel). 2025 Jun 17;17(12):1675. doi: 10.3390/polym17121675.
2
Discovery of a Novel sp. JO01 for the Degradation of Poly(butylene adipate--terephthalate)( PBAT) and Its Inhibition by PBAT Monomers.用于降解聚己二酸-对苯二甲酸丁二醇酯(PBAT)的新型菌株JO01的发现及其受PBAT单体的抑制作用
J Microbiol Biotechnol. 2024 Nov 25;35:e2408051. doi: 10.4014/jmb.2408.08051.
3
Novel Biobased Copolymers Based on Poly(butylene succinate) and Cutin: In Situ Synthesis and Structure Properties Investigations.

本文引用的文献

1
Inspired by nature: Microbial production, degradation and valorization of biodegradable bioplastics for life-cycle-engineered products.受自然启发:可生物降解生物塑料的微生物生产、降解和增值用于生命周期工程产品。
Biotechnol Adv. 2021 Dec;53:107772. doi: 10.1016/j.biotechadv.2021.107772. Epub 2021 May 17.
2
Biodegradable polymers: A real opportunity to solve marine plastic pollution?可生物降解聚合物:解决海洋塑料污染的真正机会?
J Hazard Mater. 2021 Aug 15;416:125763. doi: 10.1016/j.jhazmat.2021.125763. Epub 2021 Mar 26.
3
Degradation of conventional plastic wastes in the environment: A review on current status of knowledge and future perspectives of disposal.
基于聚丁二酸丁二醇酯和角质的新型生物基共聚物:原位合成与结构性能研究
Polymers (Basel). 2024 Aug 10;16(16):2270. doi: 10.3390/polym16162270.
4
Enzymatic Degradation Behavior of Self-Degradable Lipase-Embedded Aliphatic and Aromatic Polyesters and Their Blends.自降解脂肪酶嵌入脂肪族和芳香族聚酯及其共混物的酶降解行为。
Biomacromolecules. 2024 Jul 8;25(7):4030-4045. doi: 10.1021/acs.biomac.4c00161. Epub 2024 Jun 10.
5
E-cardiac patch to sense and repair infarcted myocardium.电子心脏贴片感知和修复梗死心肌。
Nat Commun. 2024 May 16;15(1):4133. doi: 10.1038/s41467-024-48468-x.
6
Performance of Recycled Polylactic Acid/Amorphous Polyhydroxyalkanoate Blends.再生聚乳酸/非晶态聚羟基脂肪酸酯共混物的性能
Polymers (Basel). 2024 Apr 28;16(9):1230. doi: 10.3390/polym16091230.
7
Reproducible Polybutylene Succinate (PBS)-Degrading Artificial Consortia by Introducing the Least Type of PBS-Degrading Strains.通过引入最少种类的聚丁二酸丁二醇酯(PBS)降解菌株构建可重复的PBS降解人工菌群。
Polymers (Basel). 2024 Feb 28;16(5):651. doi: 10.3390/polym16050651.
8
Biodegradability Assessment of Prickly Pear Waste-Polymer Fibers under Soil Composting.土壤堆肥条件下仙人掌废弃物-聚合物纤维的生物降解性评估
Polymers (Basel). 2023 Oct 20;15(20):4164. doi: 10.3390/polym15204164.
9
Investigation of Auxetic Structural Deformation Behavior of PBAT Polymers Using Process and Finite Element Simulation.基于工艺和有限元模拟的PBAT聚合物拉胀结构变形行为研究
Polymers (Basel). 2023 Jul 24;15(14):3142. doi: 10.3390/polym15143142.
10
Biodegradation in Composting Conditions of PBEAS Monofilaments for the Sustainable End-Use of Fishing Nets.堆肥条件下用于渔网可持续最终用途的PBEAS单丝的生物降解
Glob Chall. 2023 Apr 7;7(6):2300020. doi: 10.1002/gch2.202300020. eCollection 2023 Jun.
环境中常规塑料废物的降解:知识现状与处置未来展望的综述。
Sci Total Environ. 2021 Jun 1;771:144719. doi: 10.1016/j.scitotenv.2020.144719. Epub 2021 Jan 21.
4
Field and mesocosm methods to test biodegradable plastic film under marine conditions.在海洋条件下测试生物降解塑料薄膜的田间和中观方法。
PLoS One. 2020 Jul 31;15(7):e0236579. doi: 10.1371/journal.pone.0236579. eCollection 2020.
5
PBAT biodegradable mulch films: Study of ecotoxicological impacts using Allium cepa, Lactuca sativa and HepG2/C3A cell culture.聚己二酸/对苯二甲酸丁二醇酯(PBAT)可生物降解地膜:采用大蒜、莴苣和 HepG2/C3A 细胞培养评估其生态毒理学影响的研究。
Chemosphere. 2020 Oct;256:126985. doi: 10.1016/j.chemosphere.2020.126985. Epub 2020 May 8.
6
Aerobic biodegradation of bio-based plastics in the seawater/sediment interface (sublittoral) marine environment of the coastal zone - Test method under controlled laboratory conditions.在沿海带滨海区海水/沉积物界面(浅海)海洋环境中,生物基塑料的好氧生物降解 - 受控实验室条件下的试验方法。
Sci Total Environ. 2020 Jun 20;722:137748. doi: 10.1016/j.scitotenv.2020.137748. Epub 2020 Mar 5.
7
The rate of biodegradation of PHA bioplastics in the marine environment: A meta-study.PHA 生物塑料在海洋环境中的生物降解速率:一项荟萃研究。
Mar Pollut Bull. 2019 May;142:15-24. doi: 10.1016/j.marpolbul.2019.03.020. Epub 2019 Mar 15.
8
Disintegration behaviour of bio-based plastics in coastal zone marine environments: A field experiment under natural conditions.生物基塑料在沿海海洋环境中的崩解行为:自然条件下的野外实验。
Sci Total Environ. 2019 Oct 20;688:208-223. doi: 10.1016/j.scitotenv.2019.06.129. Epub 2019 Jun 11.
9
Biodegradability standards for carrier bags and plastic films in aquatic environments: a critical review.水生环境中塑料袋和塑料薄膜的生物降解性标准:批判性综述。
R Soc Open Sci. 2018 May 23;5(5):171792. doi: 10.1098/rsos.171792. eCollection 2018 May.
10
Marine pollution. Plastic waste inputs from land into the ocean.海洋污染。陆地输入海洋的塑料废物。
Science. 2015 Feb 13;347(6223):768-71. doi: 10.1126/science.1260352.