Suppr超能文献

由[2.2]对环芳烷衍生的各种取代(硫代)脲、氨基脲、硫代氨基脲、噻唑烷酮和恶二唑的高效合成

Efficient Synthesis of Various Substituted (Thio)Ureas, Semicarbazides, Thiosemicarbazides, Thiazolidones, and Oxadiazole Derived from [2.2]Paracyclophane.

作者信息

Alshammari Mohammed B, Aly Ashraf A, Bräse Stefan, Nieger Martin, Abd El-Haleem Lamiaa E

机构信息

Chemistry Department, College of Sciences and Humanities, Prince Sattam bin Abdulaziz University, P.O. 10, Box 83, Al-Kharij 11942, Saudi Arabia.

Chemistry Department, Faculty of Science, Minia University, 61519 El-Minia, Egypt.

出版信息

ACS Omega. 2022 Apr 6;7(15):12879-12890. doi: 10.1021/acsomega.2c00141. eCollection 2022 Apr 19.

Abstract

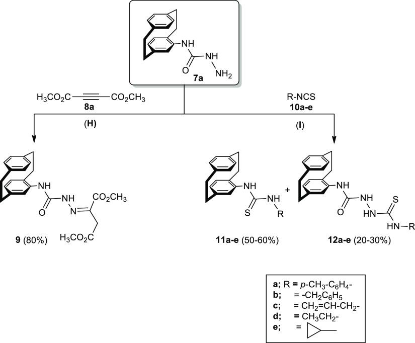
The strategies of the syntheses of various (thio)ureas, semicarbazides, thiosemicarbazides, thiazolidones, and oxadiazole derived from the [2.2]paracyclophane molecule are achieved starting with 4-(2.2]paracyclophanyl)isocyanate. The structures of the obtained products were elucidated by NMR, mass spectrometry, and infrared (IR) spectroscopy in addition to high-resolution mass spectrometry (HRMS). X-ray structure analysis was also used to prove the assigned structure.

摘要

以4-(2.2]对环芳烷基)异氰酸酯为起始原料,实现了从[2.2]对环芳烷分子衍生出的各种(硫)脲、氨基脲、硫代氨基脲、噻唑烷酮和恶二唑的合成策略。除高分辨质谱(HRMS)外,还通过核磁共振(NMR)、质谱和红外(IR)光谱对所得产物的结构进行了阐明。还使用X射线结构分析来证实所确定的结构。

https://cdn.ncbi.nlm.nih.gov/pmc/blobs/1f88/9026011/4fd70da14051/ao2c00141_0001.jpg

文献检索

告别复杂PubMed语法,用中文像聊天一样搜索,搜遍4000万医学文献。AI智能推荐,让科研检索更轻松。

立即免费搜索

文件翻译

保留排版,准确专业,支持PDF/Word/PPT等文件格式,支持 12+语言互译。

免费翻译文档

深度研究

AI帮你快速写综述,25分钟生成高质量综述,智能提取关键信息,辅助科研写作。

立即免费体验