Suppr超能文献

基于多壁碳纳米管/金属有机框架复合材料的印迹电化学传感器测定氯丙醇

Determination of chloropropanol with an imprinted electrochemical sensor based on multi-walled carbon nanotubes/metal-organic framework composites.

作者信息

Han Shuang, Ding Yuxin, Teng Fu, Yao Aixin, Leng Qiuxue

机构信息

College of Chemistry and Chemical Engineering, Qiqihar University Qiqihar 161006 China

Heilongjiang Provincial Key Laboratory of Catalytic Synthesis for Fine Chemicals, Qiqihar University Qiqihar 161006 China.

出版信息

RSC Adv. 2021 May 21;11(30):18468-18475. doi: 10.1039/d1ra02731j. eCollection 2021 May 19.

Abstract

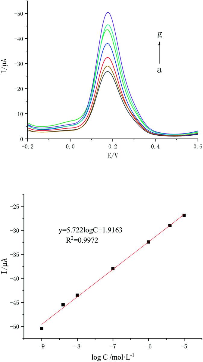
In this paper, a composite composed of carboxylated multi-wall carbon nanotubes (cMWCNT) incorporated in a metal-organic framework (MOF-199) has been synthesized using 1,3,5-benzoic acid as a ligand through a simple solvothermal method. The synthesized cMWCNT/MOF-199 composite was characterized by scanning electron microscopy (SEM), Fourier transform infrared spectroscopy (FT-IR) and X-ray diffractometry (XRD). The cMWCNT/MOF-199 hybrids were modified on the surface of glassy carbon electrodes (GCE) to prepare a molecularly imprinted electrochemical sensor (MIECS) for specific recognition of 3-chloro-1,2-propanediol (3-MCPD). The electrodes were characterized by differential pulse voltammetry (DPV), electrochemical impedance spectroscopy (EIS) and cyclic voltammetry (CV). Under optimal conditions, the electrochemical sensor exhibited an excellent sensitivity and high selectivity with a good linear response range from 1.0 × 10 to 1.0 × 10 mol L and an estimated detection limit of 4.3 × 10 mol L. Furthermore, this method has been successfully applied to the detection of 3-MCPD in soy sauce, and the recovery ranged from 96% to 108%, with RSD lower than 5.5% ( = 3), showing great potential for the selective analysis of 3-MCPD in foodstuffs.

摘要

在本文中,通过简单的溶剂热法,以1,3,5 - 苯甲酸为配体合成了一种由掺入金属有机框架(MOF - 199)中的羧基化多壁碳纳米管(cMWCNT)组成的复合材料。采用扫描电子显微镜(SEM)、傅里叶变换红外光谱(FT - IR)和X射线衍射仪(XRD)对合成的cMWCNT/MOF - 199复合材料进行了表征。将cMWCNT/MOF - 199杂化物修饰在玻碳电极(GCE)表面,制备了用于特异性识别3 - 氯 - 1,2 - 丙二醇(3 - MCPD)的分子印迹电化学传感器(MIECS)。通过差分脉冲伏安法(DPV)、电化学阻抗谱(EIS)和循环伏安法(CV)对电极进行了表征。在最佳条件下,该电化学传感器表现出优异的灵敏度和高选择性,线性响应范围良好,为1.0×10至1.0×10 mol/L,估计检测限为4.3×10 mol/L。此外,该方法已成功应用于酱油中3 - MCPD的检测,回收率在96%至108%之间,相对标准偏差低于5.5%(n = 3),在食品中3 - MCPD的选择性分析方面显示出巨大潜力。

https://cdn.ncbi.nlm.nih.gov/pmc/blobs/2846/9033443/3eda9c2b48f6/d1ra02731j-f1.jpg

文献AI研究员

20分钟写一篇综述,助力文献阅读效率提升50倍。

立即体验

用中文搜PubMed

大模型驱动的PubMed中文搜索引擎

马上搜索

文档翻译

学术文献翻译模型,支持多种主流文档格式。

立即体验