Suppr超能文献

含多肽嵌段的新型两亲性接枝嵌段偶氮苯共聚物:合成、自组装及光响应行为

Novel amphiphilic graft block azobenzene-containing copolymer with polypeptide block: synthesis, self-assembly and photo-responsive behavior.

作者信息

He Xiaohua, Wu Jianxiang, Gao Chunyan

机构信息

School of Chemistry and Molecular Engineering, East China Normal University 500 Dongchuan Road Shanghai 200241 China

出版信息

RSC Adv. 2020 Feb 5;10(10):5747-5757. doi: 10.1039/c9ra10351a. eCollection 2020 Feb 4.

Abstract

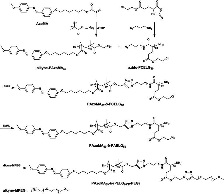
Well-defined amphiphilic graft block azobenzene-containing copolymer with polypeptide block was synthesized a combination of copper-mediated atom transfer radical polymerization (ATRP), ring-opening polymerization and click reaction. The alkyne-terminated poly[6-(4-methoxy-azobenzene-4'-oxy)hexyl methacrylate] (PAzoMA) was synthesized by ATRP with a bromine-containing alkyne bifunctional initiator, and the azido-terminated poly(γ-2-chloroethyl-l-glutamate) (PCELG) was synthesized by ROP of γ-2-chloroethyl-l-glutamate--carboxyanhydride (CELG-NCA), then the two homopolymers were conjugated by click reaction to afford block azobenzene-containing copolymer PAzoMA--PCELG. The chloro groups in PCELG block were transformed into azido groups azide reactions, and the alkyne-terminated MPEG was grafted to the polypeptide block to afford the final product PAzoMA--poly((l-glutamate)--methoxy poly(ethylene glycol)) (PAzoMA--(PELG--MPEG)) by click reaction. Giant vesicles (micrometer size) were obtained from the amphiphilic graft block copolymer PAzoMA--(PELG--MPEG) through a solution self-assembly due to the rigid PAzoMA chains and polypeptide chains with the α-helical structure. The investigation of the photo-isomerization behavior of PAzoMA--(PELG--MPEG) in solution and in vesicular solution showed - isomerization in solution was quicker than that in vesicular solution and azobenzene J-aggregates in the vesicle solution were only observed. The formation mechanisms of the vesicles were also explored. The research results may provide guidelines for the study of complex copolymers containing different types of rigid chains.

摘要

通过铜介导的原子转移自由基聚合(ATRP)、开环聚合和点击反应相结合的方法,合成了具有明确结构的含多肽嵌段的两亲性接枝嵌段偶氮苯共聚物。以含溴炔基双官能引发剂通过ATRP合成了炔基封端的聚6-(4-甲氧基-偶氮苯-4'-氧基)己基甲基丙烯酸酯,通过γ-2-氯乙基-L-谷氨酸-N-羧酸酐(CELG-NCA)的开环聚合合成了叠氮基封端的聚(γ-2-氯乙基-L-谷氨酸)(PCELG),然后通过点击反应将这两种均聚物共轭,得到含嵌段偶氮苯的共聚物PAzoMA-PCELG。通过叠氮反应将PCELG嵌段中的氯原子转化为叠氮基,然后通过点击反应将炔基封端的甲氧基聚乙二醇(MPEG)接枝到多肽嵌段上,得到最终产物PAzoMA-聚((L-谷氨酸)-甲氧基聚(乙二醇))(PAzoMA-(PELG-MPEG))。由于刚性的PAzoMA链和具有α-螺旋结构的多肽链,通过溶液自组装从两亲性接枝嵌段共聚物PAzoMA-(PELG-MPEG)获得了巨型囊泡(微米尺寸)。对PAzoMA-(PELG-MPEG)在溶液和囊泡溶液中的光异构化行为的研究表明,溶液中的异构化比囊泡溶液中的快,并且仅观察到囊泡溶液中的偶氮苯J-聚集体。还探讨了囊泡的形成机制。研究结果可为研究含有不同类型刚性链的复杂共聚物提供指导。

https://cdn.ncbi.nlm.nih.gov/pmc/blobs/2304/9049285/5be8ec6e95d7/c9ra10351a-s1.jpg

文献AI研究员

20分钟写一篇综述,助力文献阅读效率提升50倍。

立即体验

用中文搜PubMed

大模型驱动的PubMed中文搜索引擎

马上搜索

文档翻译

学术文献翻译模型,支持多种主流文档格式。

立即体验