• 文献检索
  • 文档翻译
  • 深度研究
  • 学术资讯
  • Suppr Zotero 插件Zotero 插件
  • 邀请有礼
  • 套餐&价格
  • 历史记录
应用&插件
Suppr Zotero 插件Zotero 插件浏览器插件Mac 客户端Windows 客户端微信小程序
定价
高级版会员购买积分包购买API积分包
服务
文献检索文档翻译深度研究API 文档MCP 服务
关于我们
关于 Suppr公司介绍联系我们用户协议隐私条款
关注我们

Suppr 超能文献

核心技术专利:CN118964589B侵权必究
粤ICP备2023148730 号-1Suppr @ 2026

文献检索

告别复杂PubMed语法,用中文像聊天一样搜索,搜遍4000万医学文献。AI智能推荐,让科研检索更轻松。

立即免费搜索

文件翻译

保留排版,准确专业,支持PDF/Word/PPT等文件格式,支持 12+语言互译。

免费翻译文档

深度研究

AI帮你快速写综述,25分钟生成高质量综述,智能提取关键信息,辅助科研写作。

立即免费体验

ST段抬高型心肌梗死合并轻中度心力衰竭患者早期口服β受体阻滞剂治疗与住院结局的关联:CCC-ACS项目的研究结果

Association Between Early Oral β-Blocker Therapy and In-Hospital Outcomes in Patients With ST-Elevation Myocardial Infarction With Mild-Moderate Heart Failure: Findings From the CCC-ACS Project.

作者信息

Wang Miao, Liu Jing, Liu Jun, Hao Yongchen, Yang Na, Liu Tong, Smith Sidney C, Huo Yong, Fonarow Gregg C, Ge Junbo, Morgan Louise, Ma Changsheng, Han Yaling, Zhao Dong, Zhan Siyan

机构信息

Department of Epidemiology and Biostatistics, School of Public Health, Peking University, Beijing, China.

Department of Epidemiology, Beijing Anzhen Hospital, Beijing Institute of Heart, Lung and Blood Vessel Diseases, Capital Medical University, Beijing, China.

出版信息

Front Cardiovasc Med. 2022 Apr 15;9:828614. doi: 10.3389/fcvm.2022.828614. eCollection 2022.

DOI:10.3389/fcvm.2022.828614
PMID:35497978
原文链接:https://pmc.ncbi.nlm.nih.gov/articles/PMC9051227/
Abstract

BACKGROUND

There are limited data available on the impact of early (within 24 h of admission) β-blocker therapy on in-hospital outcomes of patients with ST-elevation myocardial infarction (STEMI) and mild-moderate acute heart failure. This study aimed to explore the association between early oral β-blocker therapy and in-hospital outcomes.

METHODS

Inpatients with STEMI and Killip class II or III heart failure from the Improving Care for Cardiovascular Disease in China project ( = 10,239) were enrolled. The primary outcome was a combined endpoint composed of in-hospital all-cause mortality, successful cardiopulmonary resuscitation after cardiac arrest, and cardiogenic shock. Inverse-probability-of-treatment weighting, multivariate Cox regression, and propensity score matching were performed.

RESULTS

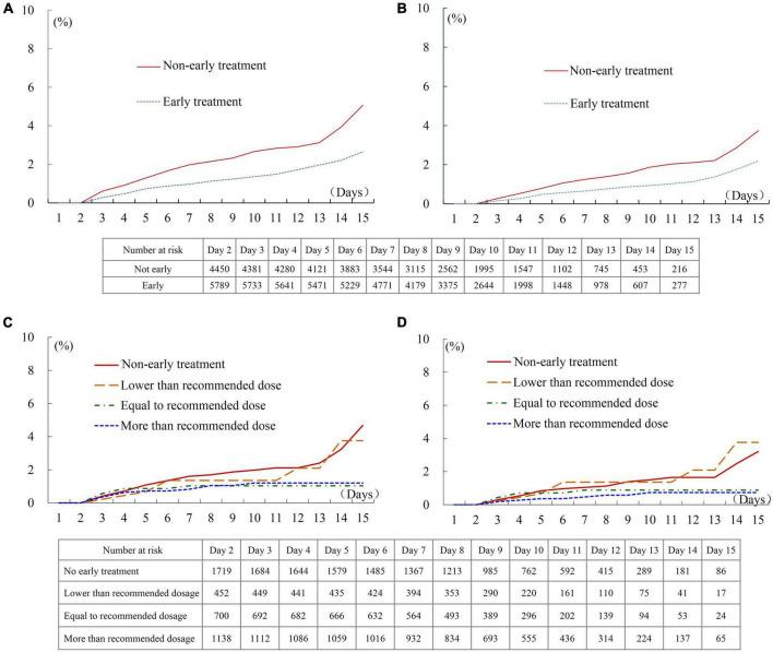
Early oral β-blocker therapy was administered to 56.5% of patients. The incidence of the combined endpoint events was significantly lower in patients with early therapy than in those without (2.7 vs. 5.1%, < 0.001). Inverse-probability-of-treatment weighting analysis demonstrated that early β-blocker therapy was associated with a low risk of combined endpoint events (HR = 0.641, 95% CI: 0.486-0.844, = 0.002). Similar results were shown in multivariate Cox regression (HR = 0.665, 95% CI: 0.496-0.894, = 0.007) and propensity score matching (HR = 0.633, 95% CI: 0.453-0.884, = 0.007) analyses. A dose-response trend between the first-day β-blocker dosages and adverse outcomes was observed in a subset of participants with available data. No factor could modify the association of early treatment and the primary outcomes among the subgroups analyses.

CONCLUSION

Based on nationwide Chinese data, early oral β-blocker therapy is independently associated with a lower risk of poor in-hospital outcome in patients with STEMI and Killip class II or III heart failure.

摘要

背景

关于早期(入院24小时内)β受体阻滞剂治疗对ST段抬高型心肌梗死(STEMI)合并轻中度急性心力衰竭患者院内结局的影响,现有数据有限。本研究旨在探讨早期口服β受体阻滞剂治疗与院内结局之间的关联。

方法

纳入中国改善心血管疾病护理项目中的STEMI且Killip分级为II级或III级心力衰竭的住院患者(n = 10239)。主要结局是一个复合终点,包括院内全因死亡率、心脏骤停后成功的心肺复苏以及心源性休克。进行了治疗概率逆加权、多因素Cox回归和倾向评分匹配。

结果

56.5%的患者接受了早期口服β受体阻滞剂治疗。早期治疗患者的复合终点事件发生率显著低于未接受早期治疗的患者(2.7%对5.1%,P < 0.001)。治疗概率逆加权分析表明,早期β受体阻滞剂治疗与复合终点事件的低风险相关(HR = 0.641,95%CI:0.486 - 0.844,P = 0.002)。多因素Cox回归(HR = 0.665,95%CI:0.496 - 0.894,P = 0.007)和倾向评分匹配(HR = 0.633,95%CI:0.453 - 0.884,P = 0.007)分析也显示了类似结果。在有可用数据的部分参与者中,观察到首日β受体阻滞剂剂量与不良结局之间存在剂量反应趋势。在亚组分析中,没有因素能够改变早期治疗与主要结局之间的关联。

结论

基于中国全国性数据,早期口服β受体阻滞剂治疗与STEMI合并Killip分级为II级或III级心力衰竭患者院内不良结局风险较低独立相关。

https://cdn.ncbi.nlm.nih.gov/pmc/blobs/0c3e/9051227/ed41e796ab3e/fcvm-09-828614-g003.jpg
https://cdn.ncbi.nlm.nih.gov/pmc/blobs/0c3e/9051227/e568ac18606b/fcvm-09-828614-g001.jpg
https://cdn.ncbi.nlm.nih.gov/pmc/blobs/0c3e/9051227/f6e3f802e127/fcvm-09-828614-g002.jpg
https://cdn.ncbi.nlm.nih.gov/pmc/blobs/0c3e/9051227/ed41e796ab3e/fcvm-09-828614-g003.jpg
https://cdn.ncbi.nlm.nih.gov/pmc/blobs/0c3e/9051227/e568ac18606b/fcvm-09-828614-g001.jpg
https://cdn.ncbi.nlm.nih.gov/pmc/blobs/0c3e/9051227/f6e3f802e127/fcvm-09-828614-g002.jpg
https://cdn.ncbi.nlm.nih.gov/pmc/blobs/0c3e/9051227/ed41e796ab3e/fcvm-09-828614-g003.jpg

相似文献

1
Association Between Early Oral β-Blocker Therapy and In-Hospital Outcomes in Patients With ST-Elevation Myocardial Infarction With Mild-Moderate Heart Failure: Findings From the CCC-ACS Project.ST段抬高型心肌梗死合并轻中度心力衰竭患者早期口服β受体阻滞剂治疗与住院结局的关联:CCC-ACS项目的研究结果
Front Cardiovasc Med. 2022 Apr 15;9:828614. doi: 10.3389/fcvm.2022.828614. eCollection 2022.
2
Beta-blocker use in ST-segment elevation myocardial infarction in the reperfusion era (GRACE).β受体阻滞剂在再灌注时代 ST 段抬高型心肌梗死中的应用(GRACE)。
Am J Med. 2014 Jun;127(6):503-11. doi: 10.1016/j.amjmed.2014.02.009. Epub 2014 Feb 18.
3
Early β-blocker use and in-hospital outcomes in patients with chronic obstructive pulmonary disease hospitalized with acute coronary syndrome: findings from the CCC-ACS project.慢性阻塞性肺疾病合并急性冠状动脉综合征住院患者早期使用β受体阻滞剂与院内结局:CCC-ACS项目的研究结果
Front Cardiovasc Med. 2024 Jul 11;11:1385943. doi: 10.3389/fcvm.2024.1385943. eCollection 2024.
4
Comparison of care and outcomes for myocardial infarction by heart failure status between United Kingdom and Japan.比较英国和日本心力衰竭状况对心肌梗死患者的护理和结局的影响。
ESC Heart Fail. 2023 Apr;10(2):1372-1384. doi: 10.1002/ehf2.14290. Epub 2023 Feb 3.
5
[The current status of early use of oral β-blockers in patients with acute coronary syndrome and the association with the in-hospital outcomes].[急性冠状动脉综合征患者早期使用口服β受体阻滞剂的现状及其与院内结局的关联]
Zhonghua Xin Xue Guan Bing Za Zhi. 2021 Sep 24;49(9):886-893. doi: 10.3760/cma.j.cn112148-20201118-00917.
6
Intravenous beta-blocker therapy in ST-segment elevation myocardial infarction treated with primary percutaneous coronary intervention is not associated with benefit regarding short-term mortality: a Swedish nationwide observational study.在接受直接经皮冠状动脉介入治疗的ST段抬高型心肌梗死患者中,静脉注射β受体阻滞剂治疗与短期死亡率降低无关:一项瑞典全国性观察性研究。
EuroIntervention. 2017 Jun 2;13(2):e210-e218. doi: 10.4244/EIJ-D-16-01021.
7
Patterns of use and potential impact of early beta-blocker therapy in non-ST-elevation myocardial infarction with and without heart failure: the Global Registry of Acute Coronary Events.伴或不伴心力衰竭的非ST段抬高型心肌梗死早期β受体阻滞剂治疗的使用模式及潜在影响:全球急性冠状动脉事件注册研究
Am Heart J. 2006 Dec;152(6):1015-21. doi: 10.1016/j.ahj.2006.08.024.
8
In-hospital outcomes of delayed stenting in hemodynamically stable patients with ST-segment elevation myocardial infarction: the CCC (Care for Cardiovascular Disease in China) project.ST段抬高型心肌梗死血流动力学稳定患者延迟支架置入的院内结局:中国心血管疾病关爱(CCC)项目
Cardiovasc Diagn Ther. 2019 Oct;9(5):462-471. doi: 10.21037/cdt.2019.08.10.
9
Effects of chronic beta-blocker treatment on admission haemodynamics in STEMI patients treated with primary angioplasty.慢性β受体阻滞剂治疗对行直接经皮冠状动脉介入治疗的 ST 段抬高型心肌梗死患者入院时血液动力学的影响。
Eur Heart J Acute Cardiovasc Care. 2020 Aug;9(5):462-468. doi: 10.1177/2048872617754277. Epub 2018 Jan 29.
10
Association between Early Oral β-Blocker Therapy and Risk for In-Hospital Major Bleeding after Percutaneous Coronary Intervention for Acute Coronary Syndrome: Findings from CCC-ACS Project.急性冠状动脉综合征经皮冠状动脉介入治疗后早期口服β受体阻滞剂治疗与院内大出血风险的关联:CCC-ACS项目的研究结果
Eur Heart J Qual Care Clin Outcomes. 2022 Jun 17. doi: 10.1093/ehjqcco/qcac036.

引用本文的文献

1
Heart failure in China: epidemiology and current management.中国的心力衰竭:流行病学与当前治疗
J Geriatr Cardiol. 2024 Jun 28;21(6):631-641. doi: 10.26599/1671-5411.2024.06.008.
2
Autonomic Responses During Acute Anterior Versus Inferior Myocardial Infarction: A Systematic Review and Meta-Analysis.急性前壁心肌梗死与下壁心肌梗死期间的自主神经反应:系统评价与荟萃分析
Cureus. 2023 Nov 16;15(11):e48893. doi: 10.7759/cureus.48893. eCollection 2023 Nov.
3
Evaluation of metoprolol standard dosing pathway in Chinese patients with acute coronary syndrome: a prospective multicenter single-arm interventional study.

本文引用的文献

1
2021 ESC Guidelines for the diagnosis and treatment of acute and chronic heart failure.2021年欧洲心脏病学会急性和慢性心力衰竭诊断与治疗指南。
Eur Heart J. 2021 Sep 21;42(36):3599-3726. doi: 10.1093/eurheartj/ehab368.
2
Lower In-Hospital Mortality With Beta-Blocker Use at Admission in Patients With Acute Decompensated Heart Failure.β受体阻滞剂在急性失代偿性心力衰竭患者入院时的应用可降低住院死亡率。
J Am Heart Assoc. 2021 Jul 6;10(13):e020012. doi: 10.1161/JAHA.120.020012. Epub 2021 Jun 26.
3
2020 ACC/AHA Clinical Performance and Quality Measures for Adults With Heart Failure: A Report of the American College of Cardiology/American Heart Association Task Force on Performance Measures.
美托洛尔标准给药途径在中国急性冠状动脉综合征患者中的评估:一项前瞻性多中心单臂干预研究。
J Geriatr Cardiol. 2023 Apr 28;20(4):256-267. doi: 10.26599/1671-5411.2023.04.001.
2020年美国心脏病学会/美国心脏协会心力衰竭成人患者临床绩效与质量指标:美国心脏病学会/美国心脏协会绩效指标特别工作组报告
J Am Coll Cardiol. 2020 Nov 24;76(21):2527-2564. doi: 10.1016/j.jacc.2020.07.023. Epub 2020 Nov 2.
4
Association of comorbidities with clinical outcomes in patients after acute myocardial infarction.急性心肌梗死后患者合并症与临床结局的关联
Int J Cardiol Heart Vasc. 2020 Jun 10;29:100558. doi: 10.1016/j.ijcha.2020.100558. eCollection 2020 Aug.
5
Association of gender with clinical outcomes of patients with acute ST-segment elevation myocardial infarction presenting with acute heart failure.性别与急性 ST 段抬高型心肌梗死合并急性心力衰竭患者临床结局的关系。
Coron Artery Dis. 2021 Jan;32(1):17-24. doi: 10.1097/MCA.0000000000000892.
6
Inverse Probability of Treatment Weighting (Propensity Score) using the Military Health System Data Repository and National Death Index.利用军事卫生系统数据存储库和国家死亡指数进行治疗权重的逆概率(倾向得分)分析
J Vis Exp. 2020 Jan 8(155). doi: 10.3791/59825.
7
[2019 Chinese Society of Cardiology (CSC) guidelines for the diagnosis and management of patients with ST-segment elevation myocardial infarction].[2019中国心脏学会(CSC)ST段抬高型心肌梗死患者诊断和治疗指南]
Zhonghua Xin Xue Guan Bing Za Zhi. 2019 Oct 24;47(10):766-783. doi: 10.3760/cma.j.issn.0253-3758.2019.10.003.
8
Burden of Cardiovascular Diseases in China, 1990-2016: Findings From the 2016 Global Burden of Disease Study.中国心血管疾病负担,1990-2016 年:来自 2016 年全球疾病负担研究的发现。
JAMA Cardiol. 2019 Apr 1;4(4):342-352. doi: 10.1001/jamacardio.2019.0295.
9
[Chinese guidelines for the diagnosis and treatment of heart failure 2018].《中国心力衰竭诊断和治疗指南2018》
Zhonghua Xin Xue Guan Bing Za Zhi. 2018 Oct 24;46(10):760-789. doi: 10.3760/cma.j.issn.0253-3758.2018.10.004.
10
Addressing Extreme Propensity Scores via the Overlap Weights.通过重叠权重解决极端倾向评分。
Am J Epidemiol. 2019 Jan 1;188(1):250-257. doi: 10.1093/aje/kwy201.