• 文献检索
  • 文档翻译
  • 深度研究
  • 学术资讯
  • Suppr Zotero 插件Zotero 插件
  • 邀请有礼
  • 套餐&价格
  • 历史记录
应用&插件
Suppr Zotero 插件Zotero 插件浏览器插件Mac 客户端Windows 客户端微信小程序
定价
高级版会员购买积分包购买API积分包
服务
文献检索文档翻译深度研究API 文档MCP 服务
关于我们
关于 Suppr公司介绍联系我们用户协议隐私条款
关注我们

Suppr 超能文献

核心技术专利:CN118964589B侵权必究
粤ICP备2023148730 号-1Suppr @ 2026

文献检索

告别复杂PubMed语法,用中文像聊天一样搜索,搜遍4000万医学文献。AI智能推荐,让科研检索更轻松。

立即免费搜索

文件翻译

保留排版,准确专业,支持PDF/Word/PPT等文件格式,支持 12+语言互译。

免费翻译文档

深度研究

AI帮你快速写综述,25分钟生成高质量综述,智能提取关键信息,辅助科研写作。

立即免费体验

在接受三剂新冠病毒mRNA疫苗后,实体器官移植受者针对包括奥密克戎在内的新冠病毒变异株的体液免疫。

Humoral immunity against SARS-CoV-2 variants including omicron in solid organ transplant recipients after three doses of a COVID-19 mRNA vaccine.

作者信息

Saharia Kapil K, Husson Jennifer S, Niederhaus Silke V, Iraguha Thierry, Avila Stephanie V, Yoo Youngchae J, Hardy Nancy M, Fan Xiaoxuan, Omili Destiny, Crane Alice, Carrier Amber, Xie Wen Y, Vander Mause Erica, Hankey Kim, Bauman Sherri, Lesho Patricia, Mannuel Heather D, Ahuja Ashish, Mathew Minu, Avruch James, Baddley John, Goloubeva Olga, Shetty Kirti, Dahiya Saurabh, Rapoport Aaron P, Luetkens Tim, Atanackovic Djordje

机构信息

Institute of Human Virology University of Maryland School of Medicine Baltimore MD USA.

Divison of Infectious Diseases University of Maryland School of Medicine Baltimore MD USA.

出版信息

Clin Transl Immunology. 2022 Apr 29;11(5):e1391. doi: 10.1002/cti2.1391. eCollection 2022.

DOI:10.1002/cti2.1391
PMID:35505864
原文链接:https://pmc.ncbi.nlm.nih.gov/articles/PMC9052011/
Abstract

OBJECTIVES

Solid organ transplant recipients (SOTR) receiving post-transplant immunosuppression show increased COVID-19-related mortality. It is unclear whether an additional dose of COVID-19 vaccines can overcome the reduced immune responsiveness against severe acute respiratory syndrome coronavirus 2 (SARS-CoV-2) variants.

METHODS

We analysed humoral immune responses against SARS-CoV-2 and its variants in 53 SOTR receiving SARS-CoV-2 vaccination.

RESULTS

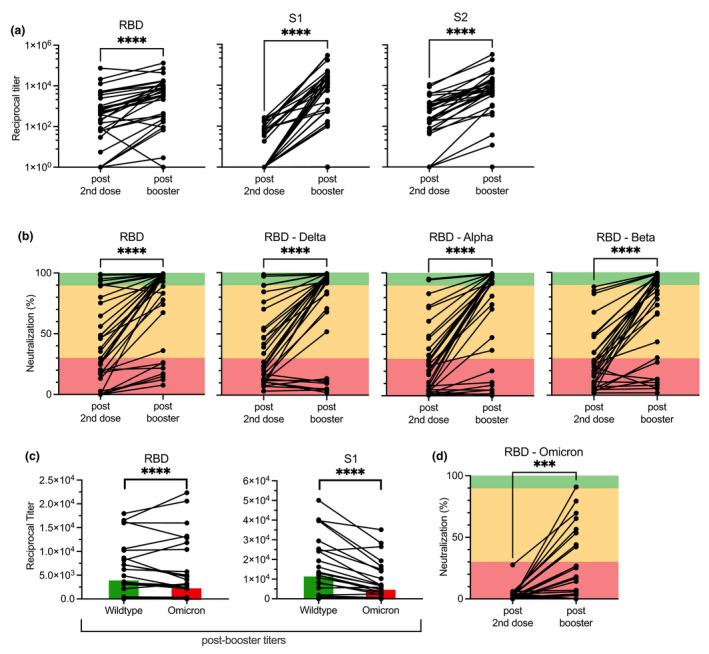
Following the initial vaccination series, 60.3% of SOTR showed no measurable neutralisation and only 18.9% demonstrated neutralising activity of > 90%. More intensive immunosuppression, antimetabolites in particular, negatively impacted antiviral immunity. While absolute IgG levels were lower in SOTR than controls, antibody titres against microbial recall antigens were higher. By contrast, SOTR showed reduced vaccine-induced IgG/IgA antibody titres against SARS-CoV-2 and its delta variants and fewer linear B-cell epitopes, indicating reduced B-cell diversity. Importantly, a third vaccine dose led to an increase in anti-SARS-CoV-2 antibody titres and neutralising activity across alpha, beta and delta variants and to the induction of anti-SARS-CoV-2 CD4 T cells in a subgroup of patients analysed. By contrast, we observed significantly lower antibody titres after the third dose with the omicron variant compared to the ancestral SARS-CoV-2 and the improvement in neutralising activity was much less pronounced than for all the other variants.

CONCLUSION

Only a small subgroup of solid organ transplant recipients is able to generate functional antibodies after an initial vaccine series; however, an additional vaccine dose resulted in dramatically improved antibody responses against all SARS-CoV-2 variants except omicron where antibody responses and neutralising activity remained suboptimal.

摘要

目的

接受移植后免疫抑制的实体器官移植受者(SOTR)显示出与2019冠状病毒病(COVID-19)相关的死亡率增加。尚不清楚额外一剂COVID-19疫苗是否能克服针对严重急性呼吸综合征冠状病毒2(SARS-CoV-2)变体的免疫反应降低问题。

方法

我们分析了53名接受SARS-CoV-2疫苗接种的SOTR对SARS-CoV-2及其变体的体液免疫反应。

结果

在初始疫苗接种系列后,60.3%的SOTR显示无可测量的中和作用,只有18.9%表现出>90%的中和活性。更强化的免疫抑制,尤其是抗代谢物,对抗病毒免疫产生负面影响。虽然SOTR中的绝对免疫球蛋白G(IgG)水平低于对照组,但针对微生物回忆抗原的抗体滴度更高。相比之下,SOTR显示针对SARS-CoV-2及其德尔塔变体的疫苗诱导IgG/IgA抗体滴度降低,线性B细胞表位减少,表明B细胞多样性降低。重要的是,第三剂疫苗导致分析的亚组患者中针对阿尔法、贝塔和德尔塔变体的抗SARS-CoV-2抗体滴度和中和活性增加,并诱导产生抗SARS-CoV-2 CD4 T细胞。相比之下,与原始SARS-CoV-2相比,我们观察到接种第三剂后针对奥密克戎变体的抗体滴度显著降低,且中和活性的改善远不如所有其他变体明显。

结论

只有一小部分实体器官移植受者在初始疫苗接种系列后能够产生功能性抗体;然而,额外一剂疫苗导致针对除奥密克戎以外的所有SARS-CoV-2变体的抗体反应显著改善,而针对奥密克戎的抗体反应和中和活性仍然欠佳。

https://cdn.ncbi.nlm.nih.gov/pmc/blobs/2978/9052011/014f55027c0b/CTI2-11-e1391-g004.jpg
https://cdn.ncbi.nlm.nih.gov/pmc/blobs/2978/9052011/7ee3a12dd76e/CTI2-11-e1391-g001.jpg
https://cdn.ncbi.nlm.nih.gov/pmc/blobs/2978/9052011/176f1236310d/CTI2-11-e1391-g005.jpg
https://cdn.ncbi.nlm.nih.gov/pmc/blobs/2978/9052011/378c4fb9dc15/CTI2-11-e1391-g006.jpg
https://cdn.ncbi.nlm.nih.gov/pmc/blobs/2978/9052011/07ab6d5c01bb/CTI2-11-e1391-g002.jpg
https://cdn.ncbi.nlm.nih.gov/pmc/blobs/2978/9052011/994fefbfc470/CTI2-11-e1391-g007.jpg
https://cdn.ncbi.nlm.nih.gov/pmc/blobs/2978/9052011/014f55027c0b/CTI2-11-e1391-g004.jpg
https://cdn.ncbi.nlm.nih.gov/pmc/blobs/2978/9052011/7ee3a12dd76e/CTI2-11-e1391-g001.jpg
https://cdn.ncbi.nlm.nih.gov/pmc/blobs/2978/9052011/176f1236310d/CTI2-11-e1391-g005.jpg
https://cdn.ncbi.nlm.nih.gov/pmc/blobs/2978/9052011/378c4fb9dc15/CTI2-11-e1391-g006.jpg
https://cdn.ncbi.nlm.nih.gov/pmc/blobs/2978/9052011/07ab6d5c01bb/CTI2-11-e1391-g002.jpg
https://cdn.ncbi.nlm.nih.gov/pmc/blobs/2978/9052011/994fefbfc470/CTI2-11-e1391-g007.jpg
https://cdn.ncbi.nlm.nih.gov/pmc/blobs/2978/9052011/014f55027c0b/CTI2-11-e1391-g004.jpg

相似文献

1
Humoral immunity against SARS-CoV-2 variants including omicron in solid organ transplant recipients after three doses of a COVID-19 mRNA vaccine.在接受三剂新冠病毒mRNA疫苗后,实体器官移植受者针对包括奥密克戎在内的新冠病毒变异株的体液免疫。
Clin Transl Immunology. 2022 Apr 29;11(5):e1391. doi: 10.1002/cti2.1391. eCollection 2022.
2
Neutralizing antibody response against the B.1.617.2 (delta) and the B.1.1.529 (omicron) variants after a third mRNA SARS-CoV-2 vaccine dose in kidney transplant recipients.肾移植受者接种第三剂 mRNA SARS-CoV-2 疫苗后对 B.1.617.2(德尔塔)和 B.1.1.529(奥密克戎)变异株的中和抗体反应。
Am J Transplant. 2022 Jul;22(7):1873-1883. doi: 10.1111/ajt.17054. Epub 2022 Apr 18.
3
Humoral immune response after different SARS-CoV-2 vaccination regimens.不同 SARS-CoV-2 疫苗接种方案后的体液免疫应答。
BMC Med. 2022 Jan 21;20(1):31. doi: 10.1186/s12916-021-02231-x.
4
Neutralising antibody responses against SARS-CoV-2 Omicron BA.4/5 and wild-type virus in patients with inflammatory bowel disease following three doses of COVID-19 vaccine (VIP): a prospective, multicentre, cohort study.炎症性肠病患者接种三剂新冠病毒疫苗(VIP)后针对新冠病毒奥密克戎BA.4/5和野生型病毒的中和抗体反应:一项前瞻性、多中心队列研究
EClinicalMedicine. 2023 Oct 5;64:102249. doi: 10.1016/j.eclinm.2023.102249. eCollection 2023 Oct.
5
Delayed and Attenuated Antibody Responses to Coronavirus Disease 2019 Vaccination With Poor Cross-Variant Neutralization in Solid-Organ Transplant Recipients-A Prospective Longitudinal Study.实体器官移植受者中2019冠状病毒病疫苗接种的抗体反应延迟且减弱,交叉变异中和能力差——一项前瞻性纵向研究
Open Forum Infect Dis. 2023 Aug 10;10(8):ofad369. doi: 10.1093/ofid/ofad369. eCollection 2023 Aug.
6
Immune responses and clinical outcomes after COVID-19 vaccination in patients with liver disease and liver transplant recipients.COVID-19 疫苗接种后肝病患者和肝移植受者的免疫反应和临床结局。
J Hepatol. 2024 Jan;80(1):109-123. doi: 10.1016/j.jhep.2023.10.009. Epub 2023 Oct 19.
7
Evaluation of the humoral response to the third dose of SARS-COV-2 vaccines in liver transplant recipients.肝移植受者对第三剂严重急性呼吸综合征冠状病毒2(SARS-CoV-2)疫苗的体液免疫反应评估
Vaccine. 2023 Dec 18;41(52):7663-7670. doi: 10.1016/j.vaccine.2023.11.039. Epub 2023 Nov 25.
8
Previous SARS-CoV-2 infection or a third dose of vaccine elicited cross-variant neutralising antibodies in vaccinated solid-organ transplant recipients.既往感染严重急性呼吸综合征冠状病毒2(SARS-CoV-2)或接种第三剂疫苗可在接受实体器官移植的疫苗接种者中引发交叉变异中和抗体。
Clin Transl Immunology. 2022 Aug 11;11(8):e1411. doi: 10.1002/cti2.1411. eCollection 2022.
9
Real-world assessment of immunogenicity in immunocompromised individuals following SARS-CoV-2 mRNA vaccination: a one-year follow-up of the prospective clinical trial COVAXID.免疫功能低下个体接种 SARS-CoV-2 mRNA 疫苗后的免疫原性真实世界评估:前瞻性临床试验 COVAXID 的一年随访。
EBioMedicine. 2023 Aug;94:104700. doi: 10.1016/j.ebiom.2023.104700. Epub 2023 Jul 13.
10
The Third dose of CoronVac vaccination induces broad and potent adaptive immune responses that recognize SARS-CoV-2 Delta and Omicron variants.科兴新冠疫苗第三针诱导广泛而有效的适应性免疫应答,能识别 SARS-CoV-2 德尔塔和奥密克戎变异株。
Emerg Microbes Infect. 2022 Dec;11(1):1524-1536. doi: 10.1080/22221751.2022.2081614.

引用本文的文献

1
Comparison of Post-Vaccination Response (Humoral and Cellular) to BNT162b2 in Clinical Cases, Kidney and Pancreas Transplant Recipient with Immunocompetent Subjects over Almost Two Years of Parallel Monitoring.在近两年的平行监测中,对临床病例、肾和胰腺移植受者以及免疫功能正常的受试者接种BNT162b2后的反应(体液和细胞反应)进行比较。
Vaccines (Basel). 2024 Jul 26;12(8):844. doi: 10.3390/vaccines12080844.
2
Immune responses of lung transplant recipients against SARS-CoV-2 and common respiratory coronaviruses: Evidence for pre-existing cross-reactive immunity.肺移植受者对 SARS-CoV-2 和常见呼吸道冠状病毒的免疫反应:存在预先存在的交叉反应性免疫的证据。
Transpl Immunol. 2023 Dec;81:101940. doi: 10.1016/j.trim.2023.101940. Epub 2023 Oct 20.
3

本文引用的文献

1
Improved Antibody Response After a Fifth Dose of a SARS-CoV-2 Vaccine in Solid Organ Transplant Recipients: A Case Series.实体器官移植受者接种第五剂严重急性呼吸综合征冠状病毒2(SARS-CoV-2)疫苗后抗体反应改善:病例系列
Transplantation. 2022 May 1;106(5):e262-e263. doi: 10.1097/TP.0000000000004092. Epub 2022 Feb 15.
2
Striking antibody evasion manifested by the Omicron variant of SARS-CoV-2.奥密克戎变异株对 SARS-CoV-2 表现出明显的抗体逃逸。
Nature. 2022 Feb;602(7898):676-681. doi: 10.1038/s41586-021-04388-0. Epub 2021 Dec 23.
3
Winter of Omicron-The Evolving COVID-19 Pandemic.
Factors influencing immunogenicity and safety of SARS-CoV-2 vaccine in liver transplantation recipients: a systematic review and meta-analysis.影响肝移植受者 SARS-CoV-2 疫苗免疫原性和安全性的因素:系统评价和荟萃分析。
Front Immunol. 2023 Sep 5;14:1145081. doi: 10.3389/fimmu.2023.1145081. eCollection 2023.
4
Delayed and Attenuated Antibody Responses to Coronavirus Disease 2019 Vaccination With Poor Cross-Variant Neutralization in Solid-Organ Transplant Recipients-A Prospective Longitudinal Study.实体器官移植受者中2019冠状病毒病疫苗接种的抗体反应延迟且减弱,交叉变异中和能力差——一项前瞻性纵向研究
Open Forum Infect Dis. 2023 Aug 10;10(8):ofad369. doi: 10.1093/ofid/ofad369. eCollection 2023 Aug.
5
Susceptibility to SARS-CoV-2 Infection and Immune Responses to COVID-19 Vaccination Among Recipients of Solid Organ Transplants.实体器官移植受者对 SARS-CoV-2 感染的易感性和对 COVID-19 疫苗接种的免疫反应。
J Infect Dis. 2023 Aug 4;228(Suppl 1):S34-S45. doi: 10.1093/infdis/jiad152.
6
Third dose of BNT162b2 improves immune response in liver transplant recipients to ancestral strain but not Omicron BA.1 and XBB.第三剂 BNT162b2 可提高肝移植受者对原始株的免疫应答,但对奥密克戎 BA.1 和 XBB 无效。
Front Immunol. 2023 Jul 3;14:1206016. doi: 10.3389/fimmu.2023.1206016. eCollection 2023.
7
Kinetics of humoral immune response and severity of infection after three doses of SARS-CoV-2 mRNA vaccine in a large cohort of kidney transplant recipients.在一个大型肾移植受者队列中,三种剂量的 SARS-CoV-2 mRNA 疫苗接种后的体液免疫应答动力学和感染严重程度。
J Nephrol. 2023 Jul;36(6):1663-1671. doi: 10.1007/s40620-023-01650-8. Epub 2023 Jul 17.
8
Booster Dose of SARS-CoV-2 mRNA Vaccine in Kidney Transplanted Patients Induces Wuhan-Hu-1 Specific Neutralizing Antibodies and T Cell Activation but Lower Response against Omicron Variant.肾移植患者接种 SARS-CoV-2 mRNA 疫苗加强针可诱导产生针对武汉株的中和抗体和 T 细胞激活,但对奥密克戎变异株的反应较低。
Viruses. 2023 May 9;15(5):1132. doi: 10.3390/v15051132.
9
Circulating eosinophils associated with responsiveness to COVID-19 vaccine and the disease severity in patients with SARS-CoV-2 omicron variant infection.循环嗜酸性粒细胞与 COVID-19 疫苗反应性和 SARS-CoV-2 奥密克戎变异感染患者疾病严重程度相关。
BMC Pulm Med. 2023 May 22;23(1):177. doi: 10.1186/s12890-023-02473-w.
10
Clinical Outcomes of SARS-CoV-2 Breakthrough Infections in Liver Transplant Recipients during the Omicron Wave.奥密克戎变异株流行期间肝移植受者感染 SARS-CoV-2 的临床转归
Viruses. 2023 Jan 20;15(2):297. doi: 10.3390/v15020297.
奥密克戎之冬——不断演变的新冠疫情
JAMA. 2022 Jan 25;327(4):319-320. doi: 10.1001/jama.2021.24315.
4
Deep dissection of the antiviral immune profile of patients with COVID-19.深度剖析 COVID-19 患者的抗病毒免疫特征。
Commun Biol. 2021 Dec 16;4(1):1389. doi: 10.1038/s42003-021-02852-1.
5
The Impact of SARS-CoV-2 Infection, and Application of Immunosuppressive Agents in Kidney Transplant Recipients Suffering from COVID-19.严重急性呼吸综合征冠状病毒2(SARS-CoV-2)感染的影响以及免疫抑制剂在感染2019冠状病毒病(COVID-19)的肾移植受者中的应用
Pharmaceuticals (Basel). 2021 Oct 17;14(10):1054. doi: 10.3390/ph14101054.
6
SARS-COV-2 vaccination with BNT162B2 in renal transplant patients: Risk factors for impaired response and immunological implications.肾移植患者中使用 BNT162B2 进行 SARS-CoV-2 疫苗接种:反应受损的风险因素及其免疫学意义。
Clin Transplant. 2022 Jan;36(1):e14495. doi: 10.1111/ctr.14495. Epub 2021 Oct 28.
7
Hospital admission and emergency care attendance risk for SARS-CoV-2 delta (B.1.617.2) compared with alpha (B.1.1.7) variants of concern: a cohort study.与关注的阿尔法(B.1.1.7)变体相比,感染新冠病毒德尔塔(B.1.617.2)变体的住院和急诊就诊风险:一项队列研究。
Lancet Infect Dis. 2022 Jan;22(1):35-42. doi: 10.1016/S1473-3099(21)00475-8. Epub 2021 Aug 27.
8
Randomized Trial of a Third Dose of mRNA-1273 Vaccine in Transplant Recipients.移植受者中第三剂mRNA-1273疫苗的随机试验。
N Engl J Med. 2021 Sep 23;385(13):1244-1246. doi: 10.1056/NEJMc2111462. Epub 2021 Aug 11.
9
Third Time's a Charm - Covid-19 Vaccine Hope for Solid-Organ Transplant Recipients.事不过三——实体器官移植受者的新冠疫苗希望
N Engl J Med. 2021 Sep 23;385(13):1233-1234. doi: 10.1056/NEJMe2112866. Epub 2021 Aug 11.
10
Humoral Response to SARS-Cov-2 Vaccination in Liver Transplant Recipients-A Single-Center Experience.肝移植受者对SARS-CoV-2疫苗接种的体液免疫反应——单中心经验
Vaccines (Basel). 2021 Jul 4;9(7):738. doi: 10.3390/vaccines9070738.