• 文献检索
  • 文档翻译
  • 深度研究
  • 学术资讯
  • Suppr Zotero 插件Zotero 插件
  • 邀请有礼
  • 套餐&价格
  • 历史记录
应用&插件
Suppr Zotero 插件Zotero 插件浏览器插件Mac 客户端Windows 客户端微信小程序
定价
高级版会员购买积分包购买API积分包
服务
文献检索文档翻译深度研究API 文档MCP 服务
关于我们
关于 Suppr公司介绍联系我们用户协议隐私条款
关注我们

Suppr 超能文献

核心技术专利:CN118964589B侵权必究
粤ICP备2023148730 号-1Suppr @ 2026

文献检索

告别复杂PubMed语法,用中文像聊天一样搜索,搜遍4000万医学文献。AI智能推荐,让科研检索更轻松。

立即免费搜索

文件翻译

保留排版,准确专业,支持PDF/Word/PPT等文件格式,支持 12+语言互译。

免费翻译文档

深度研究

AI帮你快速写综述,25分钟生成高质量综述,智能提取关键信息,辅助科研写作。

立即免费体验

关于具有热活化延迟荧光的双核碘化铜配合物发光机制的量子力学/分子力学研究

QM/MM studies on luminescence mechanism of dinuclear copper iodide complexes with thermally activated delayed fluorescence.

作者信息

Wang Qian, Gao Yuan-Jun, Zhang Ting-Ting, Han Juan, Cui Ganglong

机构信息

Key Laboratory of Theoretical and Computational Photochemistry, Ministry of Education, College of Chemistry, Beijing Normal University Beijing 100875 P. R. China

Key Laboratory of Magnetic Molecules and Magnetic Information Materials of Ministry of Education, School of Chemistry and Materials Science, Shanxi Normal University Linfen 041000 P. R. China.

出版信息

RSC Adv. 2019 Jul 3;9(36):20786-20795. doi: 10.1039/c9ra02256b. eCollection 2019 Jul 1.

DOI:10.1039/c9ra02256b
PMID:35515523
原文链接:https://pmc.ncbi.nlm.nih.gov/articles/PMC9065726/
Abstract

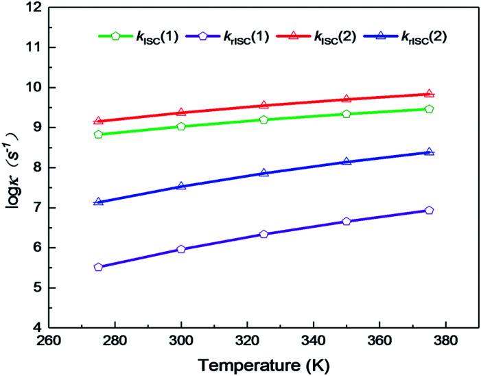
The QM/MM method is employed to investigate the photophysical mechanism of two dinuclear copper iodide complexes with thermally activated delayed fluorescence (TADF). The S-T energy differences (Δ ) in these two complexes are small enough so that repopulating the S state from T becomes energetically allowed. Both forward and reverse intersystem crossing (ISC and rISC) processes are much faster than the corresponding radiative fluorescence and phosphorescence processes [ (10 s) > (10 s), (10 s) > (10 s)]. The faster rISC process than the phosphorescence emission enables TADF. Moreover, the diphosphine ligands are found to play an important role in regulating the electronic structures and thereto the radiative and nonradiative rate constants. The present work rationalizes experimental phenomena and helps understand the intrinsic luminescence properties. The obtained insights could be useful for tuning the luminescence performance of dicopper-based luminescence materials.

摘要

采用量子力学/分子力学(QM/MM)方法研究了两种具有热活化延迟荧光(TADF)的双核碘化铜配合物的光物理机制。这两种配合物中的单重态-三重态能量差(Δ)足够小,以至于从三重态重新填充到单重态在能量上是允许的。正向和反向系间窜越(ISC和rISC)过程都比相应的辐射荧光和磷光过程快得多[(10⁻⁶ s)> (10⁻⁹ s),(10⁻⁶ s)> (10⁻¹² s)]。比磷光发射更快的rISC过程实现了TADF。此外,发现二膦配体在调节电子结构以及辐射和非辐射速率常数方面起着重要作用。本工作解释了实验现象,并有助于理解其内在发光特性。所获得的见解可能有助于调节基于二铜的发光材料的发光性能。

https://cdn.ncbi.nlm.nih.gov/pmc/blobs/f4da/9065726/b849ed494b63/c9ra02256b-f8.jpg
https://cdn.ncbi.nlm.nih.gov/pmc/blobs/f4da/9065726/374c4f6f3c8c/c9ra02256b-f1.jpg
https://cdn.ncbi.nlm.nih.gov/pmc/blobs/f4da/9065726/082ddd077c03/c9ra02256b-f2.jpg
https://cdn.ncbi.nlm.nih.gov/pmc/blobs/f4da/9065726/2ff10f0306c6/c9ra02256b-f3.jpg
https://cdn.ncbi.nlm.nih.gov/pmc/blobs/f4da/9065726/340fd2e2b8a1/c9ra02256b-f4.jpg
https://cdn.ncbi.nlm.nih.gov/pmc/blobs/f4da/9065726/bf90b9270d8f/c9ra02256b-f5.jpg
https://cdn.ncbi.nlm.nih.gov/pmc/blobs/f4da/9065726/4f103c12a1f8/c9ra02256b-f6.jpg
https://cdn.ncbi.nlm.nih.gov/pmc/blobs/f4da/9065726/f9ed2df19bdf/c9ra02256b-f7.jpg
https://cdn.ncbi.nlm.nih.gov/pmc/blobs/f4da/9065726/b849ed494b63/c9ra02256b-f8.jpg
https://cdn.ncbi.nlm.nih.gov/pmc/blobs/f4da/9065726/374c4f6f3c8c/c9ra02256b-f1.jpg
https://cdn.ncbi.nlm.nih.gov/pmc/blobs/f4da/9065726/082ddd077c03/c9ra02256b-f2.jpg
https://cdn.ncbi.nlm.nih.gov/pmc/blobs/f4da/9065726/2ff10f0306c6/c9ra02256b-f3.jpg
https://cdn.ncbi.nlm.nih.gov/pmc/blobs/f4da/9065726/340fd2e2b8a1/c9ra02256b-f4.jpg
https://cdn.ncbi.nlm.nih.gov/pmc/blobs/f4da/9065726/bf90b9270d8f/c9ra02256b-f5.jpg
https://cdn.ncbi.nlm.nih.gov/pmc/blobs/f4da/9065726/4f103c12a1f8/c9ra02256b-f6.jpg
https://cdn.ncbi.nlm.nih.gov/pmc/blobs/f4da/9065726/f9ed2df19bdf/c9ra02256b-f7.jpg
https://cdn.ncbi.nlm.nih.gov/pmc/blobs/f4da/9065726/b849ed494b63/c9ra02256b-f8.jpg

相似文献

1
QM/MM studies on luminescence mechanism of dinuclear copper iodide complexes with thermally activated delayed fluorescence.关于具有热活化延迟荧光的双核碘化铜配合物发光机制的量子力学/分子力学研究
RSC Adv. 2019 Jul 3;9(36):20786-20795. doi: 10.1039/c9ra02256b. eCollection 2019 Jul 1.
2
Thermally Activated Delayed Fluorescence of a Pyromellitic Diimide Derivative in the Film Environment Investigated by Combined QM/MM and MS-CASPT2 Methods.采用 QM/MM 和 MS-CASPT2 方法联合研究了膜环境中聚酰亚胺二酰亚胺衍生物的热活化延迟荧光。
J Phys Chem A. 2022 Jul 7;126(26):4176-4184. doi: 10.1021/acs.jpca.2c02145. Epub 2022 Jun 23.
3
QM and ONIOM studies on thermally activated delayed fluorescence of copper(i) complexes in gas phase, solution, and crystal.气相、溶液和晶体中铜(I)配合物热活化延迟荧光的 QM 和 ONIOM 研究。
Phys Chem Chem Phys. 2018 Oct 3;20(38):24955-24967. doi: 10.1039/c8cp03657h.
4
Thermally Activated Delayed Fluorescence of a Dinuclear Platinum(II) Compound: Mechanism and Roles of an Upper Triplet State.双核铂(II)化合物的热激活延迟荧光:上三重态的机理与作用
Chemistry. 2022 Nov 11;28(63):e202201782. doi: 10.1002/chem.202201782. Epub 2022 Sep 12.
5
Room-Temperature Phosphorescence and Thermally Activated Delayed Fluorescence in the Pd Complex: Mechanism and Dual Upconversion Channels.室温磷光和 Pd 配合物中的热激活延迟荧光:机理和双重上转换通道。
J Phys Chem Lett. 2021 Jul 1;12(25):5944-5950. doi: 10.1021/acs.jpclett.1c01558. Epub 2021 Jun 22.
6
Thermally activated delayed fluorescence of a Ir(III) complex: absorption and emission properties, nonradiative rates, and mechanism.铱(III)配合物的热激活延迟荧光:吸收和发射性质、非辐射速率和机制。
Phys Chem Chem Phys. 2023 Feb 22;25(8):6454-6460. doi: 10.1039/d2cp05577e.
7
TADF Material Design: Photophysical Background and Case Studies Focusing on Cu and Ag Complexes.热激活延迟荧光材料设计:光物理背景及聚焦于铜和银配合物的案例研究
Chemphyschem. 2017 Dec 15;18(24):3508-3535. doi: 10.1002/cphc.201700872. Epub 2017 Dec 19.
8
Insights from QM/MM-ONIOM calculations: the TADF phenomenon of phenanthro[9,10-]imidazole-anthraquinone in the solid state.量子力学/分子力学-自洽场嵌入分子轨道法(QM/MM-ONIOM)计算的见解:固态下菲并[9,10-]咪唑-蒽醌的热激活延迟荧光(TADF)现象
Phys Chem Chem Phys. 2021 Sep 22;23(36):20218-20229. doi: 10.1039/d1cp00578b.
9
Theoretical Studies on the Photophysical Properties of the Ag(I) Complex for Thermally Activated Delayed Fluorescence Based on TD-DFT and Path Integral Dynamic Approaches.基于TD-DFT和路径积分动力学方法对用于热激活延迟荧光的Ag(I)配合物光物理性质的理论研究
ACS Omega. 2022 Feb 14;7(8):7380-7392. doi: 10.1021/acsomega.2c00036. eCollection 2022 Mar 1.
10
Intrinsic Analysis of Thermally Activated Delayed Fluorescence (TADF) for Ag(I) Complex Based on the Path Integral Approach: Origin of the Effective Spin-Flipping Channel and Vibrational Spin-Orbit Coupling Effect.基于路径积分方法的Ag(I)配合物热活化延迟荧光(TADF)的本征分析:有效自旋翻转通道的起源和振动自旋轨道耦合效应
J Phys Chem A. 2022 Sep 29;126(38):6695-6709. doi: 10.1021/acs.jpca.2c05209. Epub 2022 Sep 15.

引用本文的文献

1
Tetrahedral Cu(I) Complexes for Thermally Activated Delayed Fluorescence: A Density Functional Benchmark Study with QM/MM Models.用于热激活延迟荧光的四面体铜(I)配合物:基于QM/MM模型的密度泛函基准研究
Inorg Chem. 2025 May 12;64(18):9150-9162. doi: 10.1021/acs.inorgchem.5c00761. Epub 2025 Apr 30.
2
Statistical Analysis of Copper(I) Iodide and Bis(Diphenylphosphino)alkane-Based Complexes and Coordination Polymers.基于碘化亚铜和双(二苯基膦基)烷烃的配合物及配位聚合物的统计分析
Molecules. 2023 Nov 25;28(23):7781. doi: 10.3390/molecules28237781.
3
Strategy for an Effective Eco-Optimized Design of Heteroleptic Cu(I) Coordination Polymers Exhibiting Thermally Activated Delayed Fluorescence.

本文引用的文献

1
QM and ONIOM studies on thermally activated delayed fluorescence of copper(i) complexes in gas phase, solution, and crystal.气相、溶液和晶体中铜(I)配合物热活化延迟荧光的 QM 和 ONIOM 研究。
Phys Chem Chem Phys. 2018 Oct 3;20(38):24955-24967. doi: 10.1039/c8cp03657h.
2
The theory of thermally activated delayed fluorescence for organic light emitting diodes.用于有机发光二极管的热激活延迟荧光理论
Chem Commun (Camb). 2018 Apr 17;54(32):3926-3935. doi: 10.1039/c7cc09612g.
3
Luminescent Dinuclear Copper(I) Complexes as Potential Thermally Activated Delayed Fluorescence (TADF) Emitters: A Theoretical Study.
具有热激活延迟荧光的杂配体铜(I)配位聚合物的有效生态优化设计策略
Inorg Chem. 2023 Dec 11;62(49):19898-19907. doi: 10.1021/acs.inorgchem.3c01908. Epub 2023 Nov 27.
4
TADF: Enabling luminescent copper(i) coordination compounds for light-emitting electrochemical cells.热活化延迟荧光:实现用于发光电化学电池的发光铜(I)配位化合物
J Mater Chem C Mater. 2021 Oct 12;10(12):4456-4482. doi: 10.1039/d1tc04028f. eCollection 2022 Mar 24.
发光双核铜(I)配合物作为潜在的热激活延迟荧光(TADF)发射体:一项理论研究
J Phys Chem A. 2018 Feb 8;122(5):1413-1421. doi: 10.1021/acs.jpca.7b11793. Epub 2018 Jan 30.
4
Thermally Activated Delayed Fluorescence in Cu Complexes Originating from Restricted Molecular Vibrations.源于受限分子振动的铜配合物中的热激活延迟荧光
Chemistry. 2017 Sep 4;23(49):11761-11766. doi: 10.1002/chem.201701862. Epub 2017 Aug 10.
5
Tuning excited-state-intramolecular-proton-transfer (ESIPT) process and emission by cocrystal formation: a combined experimental and theoretical study.通过共晶形成调节激发态分子内质子转移(ESIPT)过程和发射:一项结合实验与理论的研究。
Chem Sci. 2017 Mar 1;8(3):2086-2090. doi: 10.1039/c6sc04354b. Epub 2016 Nov 14.
6
Theory and Calculation of the Phosphorescence Phenomenon.磷光现象的理论与计算。
Chem Rev. 2017 May 10;117(9):6500-6537. doi: 10.1021/acs.chemrev.7b00060. Epub 2017 Apr 7.
7
Intersystem Crossing Rates of Isolated Fullerenes: Theoretical Calculations.
J Phys Chem A. 2017 Feb 9;121(5):1145-1152. doi: 10.1021/acs.jpca.6b12352. Epub 2017 Jan 27.
8
Effect of Water Coordination on Luminescent Properties of Pyrazine-Bridged Dinuclear Cu(I) Complexes.水配位对吡嗪桥联双核铜(I)配合物发光性质的影响
Inorg Chem. 2017 Apr 17;56(8):4280-4288. doi: 10.1021/acs.inorgchem.6b02578. Epub 2017 Jan 12.
9
Copper(I) Complexes for Thermally Activated Delayed Fluorescence: From Photophysical to Device Properties.铜(I)配合物用于热激活延迟荧光:从光物理性质到器件性能。
Top Curr Chem (Cham). 2016 Jun;374(3):25. doi: 10.1007/s41061-016-0019-1. Epub 2016 Apr 28.
10
Phosphorescence or Thermally Activated Delayed Fluorescence? Intersystem Crossing and Radiative Rate Constants of a Three-Coordinate Copper(I) Complex Determined by Quantum-Chemical Methods.磷光还是热活化延迟荧光?用量子化学方法测定的三配位铜(I)配合物的系间窜越和辐射速率常数
Inorg Chem. 2016 Aug 1;55(15):7508-16. doi: 10.1021/acs.inorgchem.6b00818. Epub 2016 Jul 18.