• 文献检索
  • 文档翻译
  • 深度研究
  • 学术资讯
  • Suppr Zotero 插件Zotero 插件
  • 邀请有礼
  • 套餐&价格
  • 历史记录
应用&插件
Suppr Zotero 插件Zotero 插件浏览器插件Mac 客户端Windows 客户端微信小程序
定价
高级版会员购买积分包购买API积分包
服务
文献检索文档翻译深度研究API 文档MCP 服务
关于我们
关于 Suppr公司介绍联系我们用户协议隐私条款
关注我们

Suppr 超能文献

核心技术专利:CN118964589B侵权必究
粤ICP备2023148730 号-1Suppr @ 2026

文献检索

告别复杂PubMed语法,用中文像聊天一样搜索,搜遍4000万医学文献。AI智能推荐,让科研检索更轻松。

立即免费搜索

文件翻译

保留排版,准确专业,支持PDF/Word/PPT等文件格式,支持 12+语言互译。

免费翻译文档

深度研究

AI帮你快速写综述,25分钟生成高质量综述,智能提取关键信息,辅助科研写作。

立即免费体验

来自人朊病毒蛋白无结构N端结构域的PrP (58 - 93) 肽在锌离子存在的情况下形成淀粉样纤维状结构。

PrP (58-93) peptide from unstructured N-terminal domain of human prion protein forms amyloid-like fibrillar structures in the presence of Zn ions.

作者信息

Gielnik Maciej, Pietralik Zuzanna, Zhukov Igor, Szymańska Aneta, Kwiatek Wojciech M, Kozak Maciej

机构信息

Department of Macromolecular Physics, Faculty of Physics, Adam Mickiewicz University Uniwersytetu Poznańskiego 2 PL 61-614 Poznań Poland

Institute of Biochemistry and Biophysics, Polish Academy of Sciences PL 02-106 Warszawa Poland.

出版信息

RSC Adv. 2019 Jul 17;9(39):22211-22219. doi: 10.1039/c9ra01510h.

DOI:10.1039/c9ra01510h
PMID:35519468
原文链接:https://pmc.ncbi.nlm.nih.gov/articles/PMC9066832/
Abstract

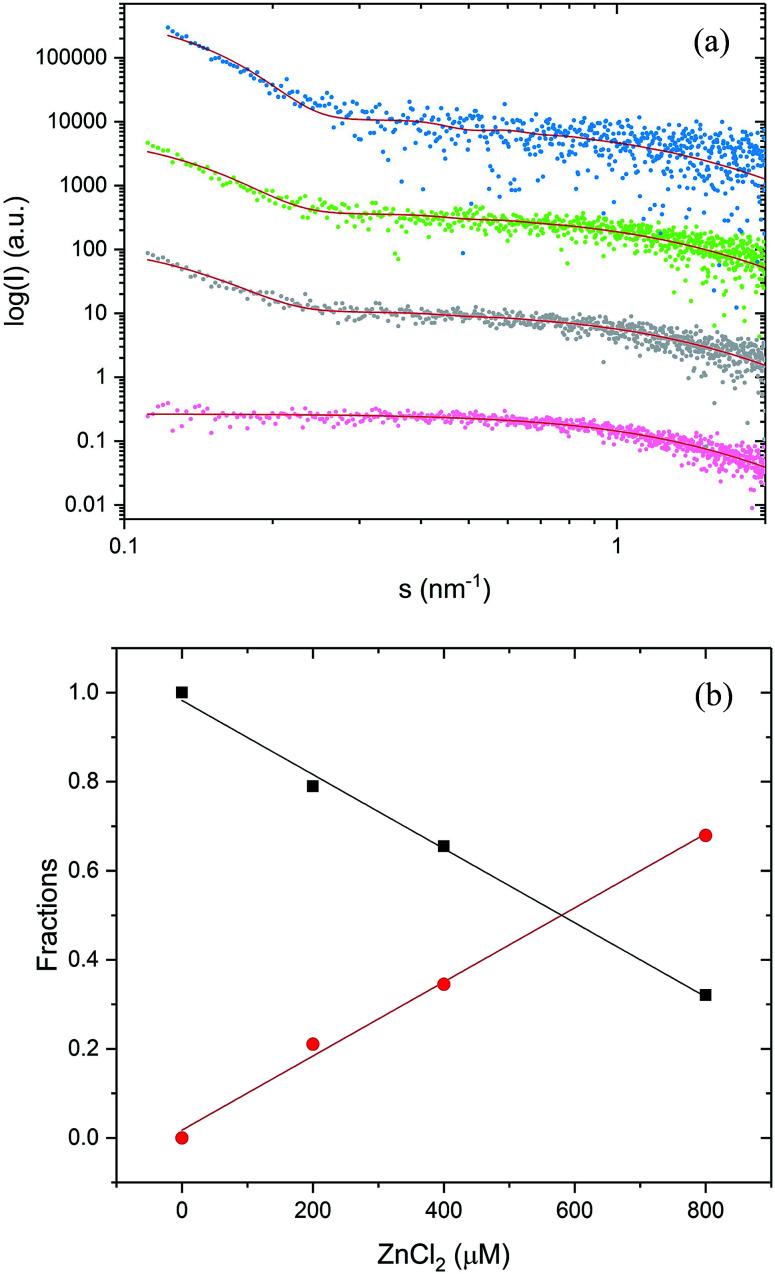
Many transition metal ions modulate the aggregation of different amyloid peptides. Substoichiometric zinc concentrations can inhibit aggregation, while an excess of zinc can accelerate the formation of cytotoxic fibrils. In this study, we report the fibrillization of the octarepeat domain to amyloid-like structures. Interestingly, this self-assembling process occurred only in the presence of Zn(ii) ions. The formed peptide aggregates are able to bind amyloid specific dyes thioflavin T and Congo red. Atomic force microscopy and transmission electron microscopy revealed the formation of long, fibrillar structures. X-ray diffraction and Fourier transform infrared spectroscopy studies of the formed assemblies confirmed the presence of cross-β structure. Two-component analysis of synchrotron radiation SAXS data provided the evidence for a direct decrease in monomeric peptide species content and an increase in the fraction of aggregates as a function of Zn(ii) concentration. These results could shed light on Zn(ii) as a toxic agent and on the metal ion induced protein misfolding in prion diseases.

摘要

许多过渡金属离子可调节不同淀粉样肽的聚集。亚化学计量的锌浓度可抑制聚集,而过量的锌则可加速细胞毒性纤维的形成。在本研究中,我们报道了八肽重复结构域形成淀粉样结构的纤维化过程。有趣的是,这种自组装过程仅在Zn(ii)离子存在时发生。形成的肽聚集体能够结合淀粉样特异性染料硫黄素T和刚果红。原子力显微镜和透射电子显微镜揭示了长纤维状结构的形成。对形成的组装体进行的X射线衍射和傅里叶变换红外光谱研究证实了交叉β结构的存在。同步辐射SAXS数据的两组分分析提供了证据,表明单体肽种类含量随Zn(ii)浓度的增加而直接降低,聚集体比例增加。这些结果可能有助于阐明Zn(ii)作为一种有毒物质以及金属离子诱导的朊病毒疾病中的蛋白质错误折叠。

https://cdn.ncbi.nlm.nih.gov/pmc/blobs/36f0/9066832/2b886a396ea2/c9ra01510h-f4.jpg
https://cdn.ncbi.nlm.nih.gov/pmc/blobs/36f0/9066832/c1eb6c9e631f/c9ra01510h-f1.jpg
https://cdn.ncbi.nlm.nih.gov/pmc/blobs/36f0/9066832/e2f47b7149cf/c9ra01510h-f2.jpg
https://cdn.ncbi.nlm.nih.gov/pmc/blobs/36f0/9066832/e981403f46f1/c9ra01510h-f3.jpg
https://cdn.ncbi.nlm.nih.gov/pmc/blobs/36f0/9066832/2b886a396ea2/c9ra01510h-f4.jpg
https://cdn.ncbi.nlm.nih.gov/pmc/blobs/36f0/9066832/c1eb6c9e631f/c9ra01510h-f1.jpg
https://cdn.ncbi.nlm.nih.gov/pmc/blobs/36f0/9066832/e2f47b7149cf/c9ra01510h-f2.jpg
https://cdn.ncbi.nlm.nih.gov/pmc/blobs/36f0/9066832/e981403f46f1/c9ra01510h-f3.jpg
https://cdn.ncbi.nlm.nih.gov/pmc/blobs/36f0/9066832/2b886a396ea2/c9ra01510h-f4.jpg

相似文献

1
PrP (58-93) peptide from unstructured N-terminal domain of human prion protein forms amyloid-like fibrillar structures in the presence of Zn ions.来自人朊病毒蛋白无结构N端结构域的PrP (58 - 93) 肽在锌离子存在的情况下形成淀粉样纤维状结构。
RSC Adv. 2019 Jul 17;9(39):22211-22219. doi: 10.1039/c9ra01510h.
2
Prion Protein Octarepeat Domain Forms Transient β-Sheet Structures upon Residue-Specific Binding to Cu(II) and Zn(II) Ions.朊病毒蛋白八肽重复结构域特异性结合 Cu(II)和 Zn(II)离子后形成瞬态β-折叠结构。
Biochemistry. 2023 Jun 6;62(11):1689-1705. doi: 10.1021/acs.biochem.3c00129. Epub 2023 May 10.
3
Self-Replication of Prion Protein Fragment 89-230 Amyloid Fibrils Accelerated by Prion Protein Fragment 107-143 Aggregates.朊病毒蛋白片段107 - 143聚集体加速朊病毒蛋白片段89 - 230淀粉样原纤维的自我复制
Int J Mol Sci. 2020 Oct 8;21(19):7410. doi: 10.3390/ijms21197410.
4
How does domain replacement affect fibril formation of the rabbit/human prion proteins.结构域置换如何影响兔/人朊病毒蛋白的原纤维形成?
PLoS One. 2014 Nov 17;9(11):e113238. doi: 10.1371/journal.pone.0113238. eCollection 2014.
5
Zn(II)- and Cu(II)-induced non-fibrillar aggregates of amyloid-beta (1-42) peptide are transformed to amyloid fibrils, both spontaneously and under the influence of metal chelators.锌(II)和铜(II)诱导的β-淀粉样蛋白(1-42)肽的非纤维状聚集体会自发地以及在金属螯合剂的影响下转化为淀粉样纤维。
J Neurochem. 2009 Sep;110(6):1784-95. doi: 10.1111/j.1471-4159.2009.06269.x. Epub 2009 Jul 8.
6
Copper binding alters the core structure of amyloid fibrils formed by Y145Stop human prion protein.铜离子结合会改变 Y145Stop 人朊病毒蛋白形成的淀粉样原纤维的核心结构。
Phys Chem Chem Phys. 2024 Oct 23;26(41):26489-26496. doi: 10.1039/d4cp03593c.
7
Assemblages of prion fragments: novel model systems for understanding amyloid toxicity.朊病毒片段聚集体:用于理解淀粉样毒性的新型模型系统。
J Struct Biol. 2004 Nov;148(2):176-93. doi: 10.1016/j.jsb.2004.05.006.
8
Zinc significantly changes the aggregation pathway and the conformation of aggregates of human prion protein.锌显著改变人朊病毒蛋白的聚集途径和聚集体构象。
Biochim Biophys Acta. 2015 Aug;1854(8):907-18. doi: 10.1016/j.bbapap.2015.04.020. Epub 2015 Apr 25.
9
Zinc(II) modulates specifically amyloid formation and structure in model peptides.锌(II)特异性调节模型肽中的淀粉样形成和结构。
J Biol Inorg Chem. 2011 Feb;16(2):333-40. doi: 10.1007/s00775-010-0729-8.
10
Dynamics of Zn(II) binding as a key feature in the formation of amyloid fibrils by Aβ11-28.Zn(II) 结合的动力学是 Aβ11-28 形成淀粉样纤维的关键特征。
Inorg Chem. 2012 Jan 2;51(1):701-8. doi: 10.1021/ic202247m. Epub 2011 Dec 13.

引用本文的文献

1
Prion Protein Octarepeat Domain Forms Transient β-Sheet Structures upon Residue-Specific Binding to Cu(II) and Zn(II) Ions.朊病毒蛋白八肽重复结构域特异性结合 Cu(II)和 Zn(II)离子后形成瞬态β-折叠结构。
Biochemistry. 2023 Jun 6;62(11):1689-1705. doi: 10.1021/acs.biochem.3c00129. Epub 2023 May 10.
2
Metals in ALS TDP-43 Pathology.肌萎缩侧索硬化症 TDP-43 病理学中的金属元素。
Int J Mol Sci. 2021 Nov 11;22(22):12193. doi: 10.3390/ijms222212193.
3
Zn(II) binding causes interdomain changes in the structure and flexibility of the human prion protein.

本文引用的文献

1
The domain swapping of human cystatin C induced by synchrotron radiation.同步辐射诱导人半胱氨酸蛋白酶抑制剂的结构域交换。
Sci Rep. 2019 Jun 12;9(1):8548. doi: 10.1038/s41598-019-44811-1.
2
Amyloid-like Structures Formed by Single Amino Acid Self-Assemblies of Cysteine and Methionine.半胱氨酸和蛋氨酸的单氨基酸自组装形成的类淀粉样结构。
ACS Chem Neurosci. 2019 Mar 20;10(3):1230-1239. doi: 10.1021/acschemneuro.8b00310. Epub 2018 Nov 13.
3
Variations on Negative Stain Electron Microscopy Methods: Tools for Tackling Challenging Systems.
锌离子结合导致人类朊病毒蛋白结构和柔韧性的结构域间变化。
Sci Rep. 2021 Nov 4;11(1):21703. doi: 10.1038/s41598-021-00495-0.
4
Biomaterials via peptide assembly: Design, characterization, and application in tissue engineering.基于肽组装的生物材料:设计、表征及在组织工程中的应用。
Acta Biomater. 2022 Mar 1;140:43-75. doi: 10.1016/j.actbio.2021.10.030. Epub 2021 Oct 25.
负染色电子显微镜方法的变体:应对复杂系统的工具
J Vis Exp. 2018 Feb 6(132):57199. doi: 10.3791/57199.
4
Functional amyloid materials at surfaces/interfaces.表面/界面上的功能型淀粉样材料。
Biomater Sci. 2018 Feb 27;6(3):462-472. doi: 10.1039/c7bm01124e.
5
How do PrP Prions Spread between Host Species, and within Hosts?朊病毒蛋白(PrP)朊病毒如何在宿主物种之间以及宿主体内传播?
Pathogens. 2017 Nov 24;6(4):60. doi: 10.3390/pathogens6040060.
6
: a comprehensive data analysis suite for small-angle scattering from macromolecular solutions.用于大分子溶液小角散射的综合数据分析套件。
J Appl Crystallogr. 2017 Jun 26;50(Pt 4):1212-1225. doi: 10.1107/S1600576717007786. eCollection 2017 Aug 1.
7
Self-assembling peptide and protein amyloids: from structure to tailored function in nanotechnology.自组装肽和蛋白质淀粉样蛋白:从结构到纳米技术中的定制功能
Chem Soc Rev. 2017 Jul 31;46(15):4661-4708. doi: 10.1039/c6cs00542j.
8
Protein Misfolding, Amyloid Formation, and Human Disease: A Summary of Progress Over the Last Decade.蛋白质错误折叠、淀粉样纤维形成与人类疾病:过去十年研究进展综述。
Annu Rev Biochem. 2017 Jun 20;86:27-68. doi: 10.1146/annurev-biochem-061516-045115. Epub 2017 May 12.
9
The biological function of the cellular prion protein: an update.细胞朊蛋白的生物学功能:最新进展
BMC Biol. 2017 May 2;15(1):34. doi: 10.1186/s12915-017-0375-5.
10
Physiological Functions of the Cellular Prion Protein.细胞朊蛋白的生理功能
Front Mol Biosci. 2017 Apr 6;4:19. doi: 10.3389/fmolb.2017.00019. eCollection 2017.