• 文献检索
  • 文档翻译
  • 深度研究
  • 学术资讯
  • Suppr Zotero 插件Zotero 插件
  • 邀请有礼
  • 套餐&价格
  • 历史记录
应用&插件
Suppr Zotero 插件Zotero 插件浏览器插件Mac 客户端Windows 客户端微信小程序
定价
高级版会员购买积分包购买API积分包
服务
文献检索文档翻译深度研究API 文档MCP 服务
关于我们
关于 Suppr公司介绍联系我们用户协议隐私条款
关注我们

Suppr 超能文献

核心技术专利:CN118964589B侵权必究
粤ICP备2023148730 号-1Suppr @ 2026

文献检索

告别复杂PubMed语法,用中文像聊天一样搜索,搜遍4000万医学文献。AI智能推荐,让科研检索更轻松。

立即免费搜索

文件翻译

保留排版,准确专业,支持PDF/Word/PPT等文件格式,支持 12+语言互译。

免费翻译文档

深度研究

AI帮你快速写综述,25分钟生成高质量综述,智能提取关键信息,辅助科研写作。

立即免费体验

用于有机太阳能电池的含噻唑稠合苯并噻二唑受体单元的给体-受体聚合物。

Donor-acceptor polymers containing thiazole-fused benzothiadiazole acceptor units for organic solar cells.

作者信息

Nakamura Tomoya, Ishikura Yasuhisa, Arakawa Noriko, Hori Megumi, Satou Motoi, Endo Masaru, Masui Hisashi, Fuse Shinichiro, Takahashi Takashi, Murata Yasujiro, Murdey Richard, Wakamiya Atsushi

机构信息

Institute for Chemical Research, Kyoto University Gokasho Uji Kyoto 611-0011 Japan

Department of Pharmaceutical Sciences, Yokohama University of Pharmacy 601, Matano-cho, Totsuka-ku Yokohama 245-0066 Japan.

出版信息

RSC Adv. 2019 Mar 1;9(13):7107-7114. doi: 10.1039/c9ra00229d.

DOI:10.1039/c9ra00229d
PMID:35519982
原文链接:https://pmc.ncbi.nlm.nih.gov/articles/PMC9061114/
Abstract

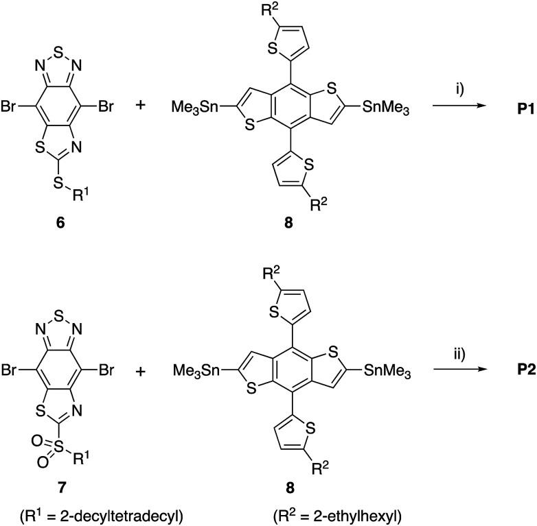
Two p-type semiconducting donor-acceptor polymers were designed and synthesized for use in organic solar cells. The polymers combine a benzodithiophene (BDT) donor and a thiazole-fused benzothiadiazole (TzBT) acceptor. Two TzBT acceptor units are compared, one with an alkylthio group (P1) and the other with a more strongly electron-withdrawing alkylsulfonyl group (P2) at the fused thiazole ring. The strongly electron-accepting nature of the TzBT unit lowers the lowest unoccupied molecular orbital (LUMO) energy of P1 and P2 relative to that of the BT analog (PBDT-BT), without altering the energy of the highest occupied molecular orbital (HOMO). Despite the smaller optical band gaps, bulk heterojunction organic solar cells fabricated using these polymers in a PCBM blend showed high open-circuit voltages. The power conversion efficiency (PCE) of the P1-based device reached 6.13%. Though efficiency of the P2-based device was lower, photoelectric conversion extended into the near-IR region up to 950 nm.

摘要

设计并合成了两种用于有机太阳能电池的p型半导体供体-受体聚合物。这些聚合物将苯并二噻吩(BDT)供体和噻唑稠合苯并噻二唑(TzBT)受体结合在一起。比较了两个TzBT受体单元,一个在稠合噻唑环上带有烷硫基(P1),另一个带有吸电子能力更强的烷基磺酰基(P2)。TzBT单元的强吸电子性质相对于BT类似物(PBDT-BT)降低了P1和P2的最低未占分子轨道(LUMO)能量,而不改变最高占据分子轨道(HOMO)的能量。尽管光学带隙较小,但在PCBM共混物中使用这些聚合物制备的本体异质结有机太阳能电池显示出高开路电压。基于P1的器件的功率转换效率(PCE)达到6.13%。尽管基于P2的器件效率较低,但其光电转换扩展到了高达950 nm的近红外区域。

https://cdn.ncbi.nlm.nih.gov/pmc/blobs/fa31/9061114/0d170b8d41bb/c9ra00229d-f4.jpg
https://cdn.ncbi.nlm.nih.gov/pmc/blobs/fa31/9061114/14d6fc94f304/c9ra00229d-f1.jpg
https://cdn.ncbi.nlm.nih.gov/pmc/blobs/fa31/9061114/d5c976536107/c9ra00229d-s1.jpg
https://cdn.ncbi.nlm.nih.gov/pmc/blobs/fa31/9061114/6352519c2a88/c9ra00229d-s2.jpg
https://cdn.ncbi.nlm.nih.gov/pmc/blobs/fa31/9061114/3fba55c4cd9b/c9ra00229d-f2.jpg
https://cdn.ncbi.nlm.nih.gov/pmc/blobs/fa31/9061114/3bd44b3b2d69/c9ra00229d-f3.jpg
https://cdn.ncbi.nlm.nih.gov/pmc/blobs/fa31/9061114/0d170b8d41bb/c9ra00229d-f4.jpg
https://cdn.ncbi.nlm.nih.gov/pmc/blobs/fa31/9061114/14d6fc94f304/c9ra00229d-f1.jpg
https://cdn.ncbi.nlm.nih.gov/pmc/blobs/fa31/9061114/d5c976536107/c9ra00229d-s1.jpg
https://cdn.ncbi.nlm.nih.gov/pmc/blobs/fa31/9061114/6352519c2a88/c9ra00229d-s2.jpg
https://cdn.ncbi.nlm.nih.gov/pmc/blobs/fa31/9061114/3fba55c4cd9b/c9ra00229d-f2.jpg
https://cdn.ncbi.nlm.nih.gov/pmc/blobs/fa31/9061114/3bd44b3b2d69/c9ra00229d-f3.jpg
https://cdn.ncbi.nlm.nih.gov/pmc/blobs/fa31/9061114/0d170b8d41bb/c9ra00229d-f4.jpg

相似文献

1
Donor-acceptor polymers containing thiazole-fused benzothiadiazole acceptor units for organic solar cells.用于有机太阳能电池的含噻唑稠合苯并噻二唑受体单元的给体-受体聚合物。
RSC Adv. 2019 Mar 1;9(13):7107-7114. doi: 10.1039/c9ra00229d.
2
New D-A1-D-A2-Type Regular Terpolymers Containing Benzothiadiazole and Benzotrithiophene Acceptor Units for Photovoltaic Application.新型 D-A1-D-A2 型含苯并噻二唑和苯并三噻吩受体单元的规整三聚物用于光伏应用。
ACS Appl Mater Interfaces. 2016 Dec 7;8(48):32998-33009. doi: 10.1021/acsami.6b08802. Epub 2016 Nov 22.
3
Molecular design of photovoltaic materials for polymer solar cells: toward suitable electronic energy levels and broad absorption.用于聚合物太阳能电池的光伏材料的分子设计:实现合适的电子能级和宽吸收。
Acc Chem Res. 2012 May 15;45(5):723-33. doi: 10.1021/ar2002446. Epub 2012 Jan 30.
4
Benzothiadiazole Versus Thiophene: Influence of the Auxiliary Acceptor on the Photovoltaic Properties of Donor-Acceptor-Based Copolymers.苯并噻二唑与噻吩:辅助受体对基于给体-受体的共聚物光伏性能的影响。
Macromol Rapid Commun. 2018 Jan;39(2). doi: 10.1002/marc.201700547. Epub 2017 Oct 25.
5
Conjugated polymers based on benzo[2,1-b:3,4-b']dithiophene with low-lying highest occupied molecular orbital energy levels for organic photovoltaics.基于苯并[2,1-b:3,4-b']二噻吩的低 HOMO 能级共轭聚合物用于有机光伏。
ACS Appl Mater Interfaces. 2009 Jul;1(7):1613-21. doi: 10.1021/am900327n.
6
Enhanced performance of organic photovoltaic cells fabricated with a methyl thiophene-3-carboxylate-containing alternating conjugated copolymer.采用含甲基噻吩-3-羧酸酯的交替共轭共聚物制备的有机光伏电池性能增强。
Macromol Rapid Commun. 2012 Jan;33(2):146-51. doi: 10.1002/marc.201100501. Epub 2011 Nov 25.
7
4-Alkyl-3,5-difluorophenyl-Substituted Benzodithiophene-Based Wide Band Gap Polymers for High-Efficiency Polymer Solar Cells.用于高效聚合物太阳能电池的4-烷基-3,5-二氟苯基取代的苯并二噻吩基宽带隙聚合物
ACS Appl Mater Interfaces. 2016 Feb 17;8(6):3686-92. doi: 10.1021/acsami.5b08769. Epub 2015 Dec 8.
8
Benzo(Thiazole)-Based Conjugated Polymer with Varying Alkylthio Side-Chain Positions for Efficient Fullerene-Free Organic Solar Cells.用于高效无富勒烯有机太阳能电池的具有不同烷硫基侧链位置的苯并(噻唑)基共轭聚合物。
ACS Appl Mater Interfaces. 2021 Aug 4;13(30):36071-36079. doi: 10.1021/acsami.1c07822. Epub 2021 Jul 20.
9
Molecular-level architectural design using benzothiadiazole-based polymers for photovoltaic applications.用于光伏应用的基于苯并噻二唑聚合物的分子水平结构设计
Beilstein J Org Chem. 2017 May 10;13:863-873. doi: 10.3762/bjoc.13.87. eCollection 2017.
10
Nonfullerene Acceptor with "Donor-Acceptor Combined π-Bridge" for Organic Photovoltaics with Large Open-Circuit Voltage.具有“给体-受体结合π桥”的非富勒烯受体用于具有大开路电压的有机光伏
ACS Appl Mater Interfaces. 2018 Jun 6;10(22):18984-18992. doi: 10.1021/acsami.8b04541. Epub 2018 May 25.

引用本文的文献

1
Research progress and application of high efficiency organic solar cells based on benzodithiophene donor materials.基于苯并二噻吩供体材料的高效有机太阳能电池的研究进展与应用
Exploration (Beijing). 2024 Feb 29;4(4):20230122. doi: 10.1002/EXP.20230122. eCollection 2024 Aug.
2
A comparison of experimental and theoretical studies of benzoquinone modified poly(thiophene): effect of polymerization techniques on the structure and properties.苯醌改性聚噻吩的实验研究与理论研究比较:聚合技术对结构和性能的影响
RSC Adv. 2020 Oct 9;10(61):37456-37462. doi: 10.1039/d0ra07714c. eCollection 2020 Oct 7.
3
Implementing the donor-acceptor approach in electronically conducting copolymers electropolymerization.

本文引用的文献

1
NIR-Absorbing Dye Based on BF-Bridged Azafulvene Dimer as a Strong Electron-Accepting Unit.基于 BF 桥联氮杂薁二聚体的近红外吸收染料作为强电子受体单元。
Org Lett. 2018 Sep 7;20(17):5135-5138. doi: 10.1021/acs.orglett.8b02056. Epub 2018 Aug 17.
2
The Curious Case of Fluorination of Conjugated Polymers for Solar Cells.用于太阳能电池的共轭聚合物氟化的奇异案例。
Acc Chem Res. 2017 Sep 19;50(9):2401-2409. doi: 10.1021/acs.accounts.7b00326. Epub 2017 Sep 5.
3
Naphthobischalcogenadiazole Conjugated Polymers: Emerging Materials for Organic Electronics.
在导电共聚物电聚合中实施给体-受体方法。
RSC Adv. 2022 Apr 20;12(19):12089-12115. doi: 10.1039/d2ra01176j. eCollection 2022 Apr 13.
萘并双硫属二氮杂萘酮共轭聚合物:用于有机电子学的新兴材料。
Adv Mater. 2017 Jul;29(25). doi: 10.1002/adma.201605218. Epub 2017 Feb 27.
4
4,7-Bis[3-(dimesitylboryl)thien-2-yl]benzothiadiazole: Solvato-, Thermo-, and Mechanochromism Based on the Reversible Formation of an Intramolecular B-N Bond.4,7-双[3-(二甲基苯基硼基)噻吩-2-基]苯并噻二唑:基于分子内B-N键可逆形成的溶剂致变色、热致变色和机械致变色
Chemistry. 2017 Mar 13;23(15):3784-3791. doi: 10.1002/chem.201606041. Epub 2017 Feb 16.
5
Implication of Fluorine Atom on Electronic Properties, Ordering Structures, and Photovoltaic Performance in Naphthobisthiadiazole-Based Semiconducting Polymers.氟原子对基于萘并双噻二唑的半导体聚合物的电子性质、有序结构和光伏性能的影响。
J Am Chem Soc. 2016 Aug 17;138(32):10265-75. doi: 10.1021/jacs.6b05418. Epub 2016 Aug 5.
6
An Electron-Deficient Building Block Based on the B←N Unit: An Electron Acceptor for All-Polymer Solar Cells.基于 B←N 单元的缺电子构筑块:全聚合物太阳能电池的电子受体。
Angew Chem Int Ed Engl. 2016 Jan 22;55(4):1436-40. doi: 10.1002/anie.201508482. Epub 2015 Dec 9.
7
Hole-Transporting Materials with a Two-Dimensionally Expanded π-System around an Azulene Core for Efficient Perovskite Solar Cells.具有薁核周围二维扩展π体系的空穴传输材料用于高效钙钛矿太阳能电池。
J Am Chem Soc. 2015 Dec 23;137(50):15656-9. doi: 10.1021/jacs.5b11008. Epub 2015 Dec 10.
8
High-efficiency polymer solar cells with small photon energy loss.具有小光子能量损失的高效聚合物太阳能电池。
Nat Commun. 2015 Dec 2;6:10085. doi: 10.1038/ncomms10085.
9
Developing conjugated polymers with high electron affinity by replacing a C-C unit with a B←N unit.通过用 B←N 单元取代 C-C 单元来开发具有高电子亲和力的共轭聚合物。
Angew Chem Int Ed Engl. 2015 Mar 16;54(12):3648-52. doi: 10.1002/anie.201411973. Epub 2015 Feb 11.
10
Organic solar cells using a high-molecular-weight benzodithiophene-benzothiadiazole copolymer with an efficiency of 9.4%.使用高分子量苯并二噻吩-苯并噻二唑共聚物的有机太阳能电池,效率为 9.4%。
Adv Mater. 2015 Jan 27;27(4):702-5. doi: 10.1002/adma.201403080. Epub 2014 Nov 27.