• 文献检索
  • 文档翻译
  • 深度研究
  • 学术资讯
  • Suppr Zotero 插件Zotero 插件
  • 邀请有礼
  • 套餐&价格
  • 历史记录
应用&插件
Suppr Zotero 插件Zotero 插件浏览器插件Mac 客户端Windows 客户端微信小程序
定价
高级版会员购买积分包购买API积分包
服务
文献检索文档翻译深度研究API 文档MCP 服务
关于我们
关于 Suppr公司介绍联系我们用户协议隐私条款
关注我们

Suppr 超能文献

核心技术专利:CN118964589B侵权必究
粤ICP备2023148730 号-1Suppr @ 2026

文献检索

告别复杂PubMed语法,用中文像聊天一样搜索,搜遍4000万医学文献。AI智能推荐,让科研检索更轻松。

立即免费搜索

文件翻译

保留排版,准确专业,支持PDF/Word/PPT等文件格式,支持 12+语言互译。

免费翻译文档

深度研究

AI帮你快速写综述,25分钟生成高质量综述,智能提取关键信息,辅助科研写作。

立即免费体验

含硫杂杯芳烃和锌的蛋白质框架结构

Protein Frameworks with Thiacalixarene and Zinc.

作者信息

Flood Ronan J, Ramberg Kiefer O, Mengel Darius B, Guagnini Francesca, Crowley Peter B

机构信息

SSPC, Science Foundation Ireland Research Centre for Pharmaceuticals, School of Biological and Chemical Sciences, National University of Ireland Galway, University Road, Galway H91 TK33, Ireland.

出版信息

Cryst Growth Des. 2022 May 4;22(5):3271-3276. doi: 10.1021/acs.cgd.2c00108. Epub 2022 Feb 22.

DOI:10.1021/acs.cgd.2c00108
PMID:35529063
原文链接:https://pmc.ncbi.nlm.nih.gov/articles/PMC9073927/
Abstract

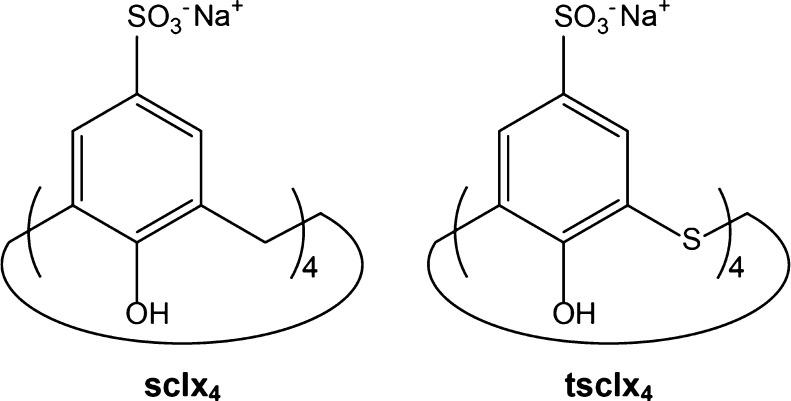
Controlled protein assembly provides a means to generate biomaterials. Synthetic macrocycles such as the water-soluble sulfonato-calix[n]arenes are useful mediators of protein assembly. Sulfonato-thiacalix[4]arene ( ), with its metal-binding capacity, affords the potential for simultaneous macrocycle- and metal-mediated protein assembly. Here, we describe the -/Zn-directed assembly of two proteins: cationic α-helical cytochrome (cyt ) and neutral β-propeller lectin (RSL). Two co-crystal forms were obtained with cyt , each involving multinuclear zinc sites supported by the cone conformation of . The /Zn cluster acted as an assembly node via both lysine encapsulation and metal-mediated protein-protein contacts. In the case of RSL, adopted the 1,2-alternate conformation and supported a dinuclear zinc site with concomitant encapsulation and metal-binding of two histidine side chains. These results, together with the knowledge of thiacalixarene/metal nanoclusters, suggest promising applications for thiacalixarenes in biomaterials and MOF fabrication.

摘要

可控蛋白质组装提供了一种生成生物材料的方法。合成大环化合物,如水溶性磺化杯[n]芳烃,是蛋白质组装的有用介质。具有金属结合能力的磺化硫代杯[4]芳烃能够实现大环和金属介导的蛋白质同时组装。在此,我们描述了由磺化硫代杯[4]芳烃/锌导向的两种蛋白质的组装:阳离子α-螺旋细胞色素c(cyt c)和中性β-螺旋桨豆凝集素(RSL)。与细胞色素c一起获得了两种共晶形式,每种形式都涉及由磺化硫代杯[4]芳烃的锥式构象支撑的多核锌位点。磺化硫代杯[4]芳烃/锌簇通过赖氨酸包封和金属介导的蛋白质-蛋白质接触充当组装节点。在RSL的情况下,磺化硫代杯[4]芳烃采取1,2-交替构象并支撑一个双核锌位点,同时包封和结合两个组氨酸侧链。这些结果,连同对硫代杯芳烃/金属纳米簇的了解,表明硫代杯芳烃在生物材料和金属有机框架制造方面具有广阔的应用前景。

https://cdn.ncbi.nlm.nih.gov/pmc/blobs/7d3e/9073927/d0fa00049f50/cg2c00108_0005.jpg
https://cdn.ncbi.nlm.nih.gov/pmc/blobs/7d3e/9073927/98d393f8ce4a/cg2c00108_0002.jpg
https://cdn.ncbi.nlm.nih.gov/pmc/blobs/7d3e/9073927/0593ebd2209f/cg2c00108_0003.jpg
https://cdn.ncbi.nlm.nih.gov/pmc/blobs/7d3e/9073927/e3a04f304323/cg2c00108_0004.jpg
https://cdn.ncbi.nlm.nih.gov/pmc/blobs/7d3e/9073927/d0fa00049f50/cg2c00108_0005.jpg
https://cdn.ncbi.nlm.nih.gov/pmc/blobs/7d3e/9073927/98d393f8ce4a/cg2c00108_0002.jpg
https://cdn.ncbi.nlm.nih.gov/pmc/blobs/7d3e/9073927/0593ebd2209f/cg2c00108_0003.jpg
https://cdn.ncbi.nlm.nih.gov/pmc/blobs/7d3e/9073927/e3a04f304323/cg2c00108_0004.jpg
https://cdn.ncbi.nlm.nih.gov/pmc/blobs/7d3e/9073927/d0fa00049f50/cg2c00108_0005.jpg

相似文献

1
Protein Frameworks with Thiacalixarene and Zinc.含硫杂杯芳烃和锌的蛋白质框架结构
Cryst Growth Des. 2022 May 4;22(5):3271-3276. doi: 10.1021/acs.cgd.2c00108. Epub 2022 Feb 22.
2
Protein-Calixarene Complexation: From Recognition to Assembly.蛋白质-杯芳烃络合:从识别到组装。
Acc Chem Res. 2022 Aug 2;55(15):2019-2032. doi: 10.1021/acs.accounts.2c00206. Epub 2022 Jun 6.
3
Protein-macrocycle polymorphism: crystal form IV of the Ralstonia solanacearum lectin-sulfonato-calix[8]arene complex.蛋白-大环配体多态性:茄科劳尔氏菌凝集素-磺酸盐-杯[8]芳烃复合物的晶型 IV。
Acta Crystallogr D Struct Biol. 2023 Jul 1;79(Pt 7):624-631. doi: 10.1107/S2059798323003832. Epub 2023 Jun 14.
4
Facile Fabrication of Protein-Macrocycle Frameworks.蛋白质-大环框架的简易构建。
J Am Chem Soc. 2021 Feb 3;143(4):1896-1907. doi: 10.1021/jacs.0c10697. Epub 2021 Jan 20.
5
Noncovalent Protein-Pseudorotaxane Assembly Incorporating an Extended Arm Calix[8]arene with α-Helical Recognition Properties.结合具有α-螺旋识别特性的延伸臂杯[8]芳烃的非共价蛋白质-准轮烷组装体。
Cryst Growth Des. 2021 Mar 3;21(3):1424-1427. doi: 10.1021/acs.cgd.0c01717. Epub 2021 Feb 8.
6
Porous assembly of an antifungal protein mediated by zinc and sulfonato-calix[8]arene.锌与磺化杯[8]芳烃介导的抗真菌蛋白多孔组装。
J Struct Biol. 2021 Jun;213(2):107711. doi: 10.1016/j.jsb.2021.107711. Epub 2021 Feb 23.
7
Stereoselective dialkylation of the proximal hydroxy groups of calix- and thiacalix[4]arenes.杯[4]芳烃和硫杂杯[4]芳烃近端羟基的立体选择性二烷基化反应
Org Biomol Chem. 2004 Mar 21;2(6):890-8. doi: 10.1039/b315867e. Epub 2004 Feb 18.
8
2D Monomolecular Nanosheets Based on Thiacalixarene Derivatives: Synthesis, Solid State Self-Assembly and Crystal Polymorphism.基于硫杂杯芳烃衍生物的二维单分子纳米片:合成、固态自组装及晶体多晶型
Nanomaterials (Basel). 2020 Dec 14;10(12):2505. doi: 10.3390/nano10122505.
9
Albumin/Thiacalix[4]arene Nanoparticles as Potential Therapeutic Systems: Role of the Macrocycle for Stabilization of Monomeric Protein and Self-Assembly with Ciprofloxacin.白蛋白/噻嗪杯芳烃纳米粒子作为潜在的治疗系统:大环在稳定单体蛋白和与环丙沙星自组装中的作用。
Int J Mol Sci. 2022 Sep 2;23(17):10040. doi: 10.3390/ijms231710040.
10
Fluorescein-Labeled Thiacalix[4]arenes as Potential Theranostic Molecules: Synthesis, Self-Association, and Antitumor Activity.荧光素标记的杯[4]芳烃作为潜在的诊疗分子:合成、自缔合及抗肿瘤活性
Pharmaceutics. 2022 Oct 30;14(11):2340. doi: 10.3390/pharmaceutics14112340.

引用本文的文献

1
Thiacalixarene Carboxylic Acid Derivatives as Inhibitors of Lysozyme Fibrillation.噻咯冠醚羧酸衍生物作为溶菌酶纤维化的抑制剂。
Int J Mol Sci. 2024 Apr 26;25(9):4721. doi: 10.3390/ijms25094721.
2
Synthesis, Structure, and Characterization of Thiacalix[4]-2,8-thianthrene.硫杂杯[4]-2,8-噻蒽的合成、结构与表征
Molecules. 2023 Jul 17;28(14):5462. doi: 10.3390/molecules28145462.
3
Protein-Calixarene Complexation: From Recognition to Assembly.蛋白质-杯芳烃络合:从识别到组装。

本文引用的文献

1
Engineering of protein crystals for use as solid biomaterials.蛋白质晶体工程在固体生物材料中的应用。
Biomater Sci. 2022 Jan 18;10(2):354-367. doi: 10.1039/d1bm01752g.
2
Protein Assembly by Design.通过设计进行蛋白质组装
Chem Rev. 2021 Nov 24;121(22):13701-13796. doi: 10.1021/acs.chemrev.1c00308. Epub 2021 Aug 18.
3
Porous assembly of an antifungal protein mediated by zinc and sulfonato-calix[8]arene.锌与磺化杯[8]芳烃介导的抗真菌蛋白多孔组装。
Acc Chem Res. 2022 Aug 2;55(15):2019-2032. doi: 10.1021/acs.accounts.2c00206. Epub 2022 Jun 6.
J Struct Biol. 2021 Jun;213(2):107711. doi: 10.1016/j.jsb.2021.107711. Epub 2021 Feb 23.
4
Facile Fabrication of Protein-Macrocycle Frameworks.蛋白质-大环框架的简易构建。
J Am Chem Soc. 2021 Feb 3;143(4):1896-1907. doi: 10.1021/jacs.0c10697. Epub 2021 Jan 20.
5
Probing the determinants of porosity in protein frameworks: co-crystals of cytochrome c and an octa-anionic calix[4]arene.探究蛋白质框架中孔隙率的决定因素:细胞色素 c 与八阴离子杯[4]芳烃的共晶。
Org Biomol Chem. 2020 Jan 2;18(2):211-214. doi: 10.1039/c9ob02275a.
6
Tuning Protein Frameworks via Auxiliary Supramolecular Interactions.通过辅助超分子相互作用来调整蛋白质框架。
ACS Nano. 2019 Sep 24;13(9):10343-10350. doi: 10.1021/acsnano.9b04115. Epub 2019 Sep 10.
7
Crystal structure of a protein-aromatic foldamer composite: macromolecular chiral resolution.蛋白质-芳族折叠物复合物的晶体结构:大分子手性拆分。
Chem Commun (Camb). 2019 Sep 21;55(74):11087-11090. doi: 10.1039/c9cc05330a. Epub 2019 Aug 28.
8
An ultra-stable gold-coordinated protein cage displaying reversible assembly.一种超稳定的金配位蛋白笼,可进行可逆组装。
Nature. 2019 May;569(7756):438-442. doi: 10.1038/s41586-019-1185-4. Epub 2019 May 8.
9
Calixarene-mediated assembly of a small antifungal protein.杯芳烃介导的一种小型抗真菌蛋白的组装
IUCrJ. 2019 Feb 5;6(Pt 2):238-247. doi: 10.1107/S2052252519000411. eCollection 2019 Mar 1.
10
Chemical control of structure and guest uptake by a conformationally mobile porous material.通过构象可移动的多孔材料对结构和客体摄取进行化学控制。
Nature. 2019 Jan;565(7738):213-217. doi: 10.1038/s41586-018-0820-9. Epub 2019 Jan 9.