Suppr超能文献

中国中老年人群 19 种感染性病原体的血清流行率及相关因素:一项横断面研究。

Sero-prevalence of 19 infectious pathogens and associated factors among middle-aged and elderly Chinese adults: a cross-sectional study.

机构信息

Clinical Trial Service Unit & Epidemiological Studies Unit (CTSU), Nuffield Department of Population Health, University of Oxford, Oxford, UK.

Medical Research Council Population Health Research Unit (MRC PHRU), Nuffield Department of Population Health, University of Oxford, Oxford, UK.

出版信息

BMJ Open. 2022 May 9;12(5):e058353. doi: 10.1136/bmjopen-2021-058353.

Abstract

OBJECTIVES

To systematically assess the sero-prevalence and associated factors of major infectious pathogens in China, where there are high incidence rates of certain infection-related cancers.

DESIGN

Cross-sectional study.

SETTING

10 (5 urban, 5 rural) geographically diverse areas in China.

PARTICIPANTS

A subcohort of 2000 participants from the China Kadoorie Biobank.

PRIMARY MEASURES

Sero-prevalence of 19 pathogens using a custom-designed multiplex serology panel and associated factors.

RESULTS

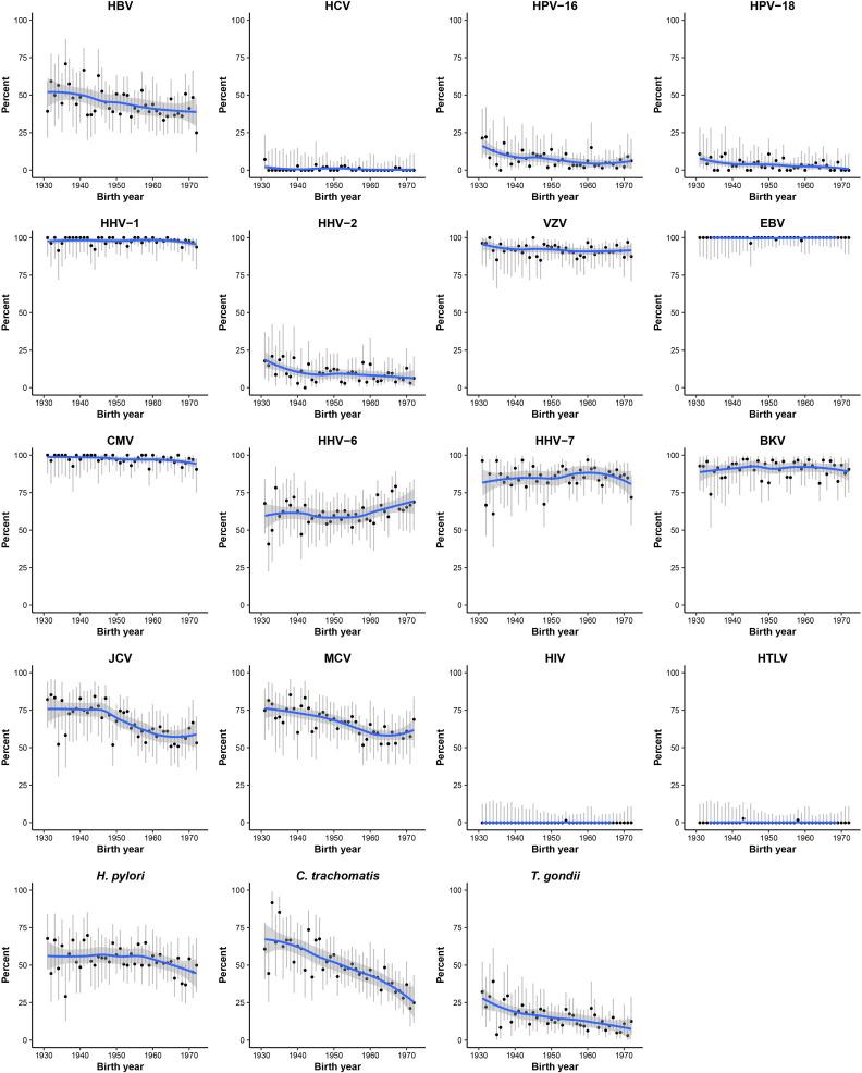
Of the 19 pathogens investigated, the mean number of sero-positive pathogens was 9.4 (SD 1.7), with 24.4% of participants being sero-positive for >10 pathogens. For individual pathogens, the sero-prevalence varied, being for example, 0.05% for HIV, 6.4% for human papillomavirus (HPV)-16, 53.5% for () and 99.8% for Epstein-Barr virus . The sero-prevalence of human herpesviruses (HHV)-6, HHV-7 and HPV-16 was higher in women than men. Several pathogens showed a decreasing trend in sero-prevalence by birth cohort, including hepatitis B virus (HBV) (51.6% vs 38.7% in those born <1940 vs >1970), HPV-16 (11.4% vs 5.4%), HHV-2 (15.1% vs 8.1%), (65.6% vs 28.8%) and (22.0% vs 9.0%). Across the 10 study areas, sero-prevalence varied twofold to fourfold for HBV (22.5% to 60.7%), HPV-16 (3.4% to 10.9%), (16.2% to 71.1%) and (32.5% to 66.5%). Participants with chronic liver diseases had >7-fold higher sero-positivity for HBV (OR=7.51; 95% CI 2.55 to 22.13).

CONCLUSIONS

Among Chinese adults, previous and current infections with certain pathogens were common and varied by area, sex and birth cohort. These infections may contribute to the burden of certain cancers and other non-communicable chronic diseases.

摘要

目的

系统评估中国主要传染病病原体的血清流行率及其相关因素,因为中国某些与感染相关的癌症发病率很高。

设计

横断面研究。

地点

中国 10 个(5 个城市,5 个农村)地理位置不同的地区。

参与者

中国慢性病前瞻性研究的一个亚队列,共 2000 名参与者。

主要措施

使用定制的多重血清学检测面板检测 19 种病原体的血清流行率及其相关因素。

结果

在所调查的 19 种病原体中,平均有 9.4 种(标准差 1.7)血清学阳性病原体,24.4%的参与者感染 10 种以上病原体。对于个别病原体,血清流行率有所不同,例如 HIV 为 0.05%,HPV-16 为 6.4%, 为 53.5%,EB 病毒为 99.8%。HHV-6、HHV-7 和 HPV-16 的血清流行率在女性中高于男性。几种病原体的血清流行率呈出生队列下降趋势,包括乙型肝炎病毒(HBV)(1940 年以前出生的人群为 51.6%,1970 年以后出生的人群为 38.7%)、HPV-16(11.4%,5.4%)、HHV-2(15.1%,8.1%)、 (65.6%,28.8%)和 (22.0%,9.0%)。在这 10 个研究地区,HBV(22.5%至 60.7%)、HPV-16(3.4%至 10.9%)、 (16.2%至 71.1%)和 (32.5%至 66.5%)的血清流行率相差两倍至四倍。慢性肝病患者的 HBV 血清阳性率高出 7 倍(OR=7.51;95%CI 2.55 至 22.13)。

结论

在中国成年人中,以前和现在感染某些病原体很常见,且流行率因地区、性别和出生队列而异。这些感染可能是某些癌症和其他非传染性慢性疾病负担的原因。

https://cdn.ncbi.nlm.nih.gov/pmc/blobs/096b/9086621/55367881fa22/bmjopen-2021-058353f01.jpg

文献检索

告别复杂PubMed语法,用中文像聊天一样搜索,搜遍4000万医学文献。AI智能推荐,让科研检索更轻松。

立即免费搜索

文件翻译

保留排版,准确专业,支持PDF/Word/PPT等文件格式,支持 12+语言互译。

免费翻译文档

深度研究

AI帮你快速写综述,25分钟生成高质量综述,智能提取关键信息,辅助科研写作。

立即免费体验