• 文献检索
  • 文档翻译
  • 深度研究
  • 学术资讯
  • Suppr Zotero 插件Zotero 插件
  • 邀请有礼
  • 套餐&价格
  • 历史记录
应用&插件
Suppr Zotero 插件Zotero 插件浏览器插件Mac 客户端Windows 客户端微信小程序
定价
高级版会员购买积分包购买API积分包
服务
文献检索文档翻译深度研究API 文档MCP 服务
关于我们
关于 Suppr公司介绍联系我们用户协议隐私条款
关注我们

Suppr 超能文献

核心技术专利:CN118964589B侵权必究
粤ICP备2023148730 号-1Suppr @ 2026

文献检索

告别复杂PubMed语法,用中文像聊天一样搜索,搜遍4000万医学文献。AI智能推荐,让科研检索更轻松。

立即免费搜索

文件翻译

保留排版,准确专业,支持PDF/Word/PPT等文件格式,支持 12+语言互译。

免费翻译文档

深度研究

AI帮你快速写综述,25分钟生成高质量综述,智能提取关键信息,辅助科研写作。

立即免费体验

非手术治疗的Legg-Calvé-Perthes病的自然病史。

The Natural History of Non-operatively Managed Legg-Calvé-Perthes' Disease.

作者信息

Ailabouni Ramez, Zomar Bryn O, Slobogean Bronwyn L, Schaeffer Emily K, Joseph Benjamin, Mulpuri Kishore

机构信息

Department of Orthopaedic Surgery and Musculoskeletal Medicine, University of Otago, Christchurch, New Zealand.

Department of Orthopaedic Surgery, BC Children's Hospital, 1D66-4480 Oak Street, Vancouver, BC V6H 3V4 Canada.

出版信息

Indian J Orthop. 2022 Jan 20;56(5):867-873. doi: 10.1007/s43465-021-00543-x. eCollection 2022 May.

DOI:10.1007/s43465-021-00543-x
PMID:35542316
原文链接:https://pmc.ncbi.nlm.nih.gov/articles/PMC9043051/
Abstract

BACKGROUND

The purpose of this study was to examine the evolution of Legg-Calvé-Perthes' disease (LCPD) among children from British Columbia (BC), Canada who were treated non-operatively and to compare the results to a previously conducted study in India.

METHODS

This was a retrospective review of patients treated non-operatively for LCPD in BC between 1990 and 2006 compared with a cohort from India. Demographic and treatment information were collected from medical records. Radiographs were assigned modified Waldenstrom, Catterall, Salter-Thompson and Herring classifications and intra- and interobserver reliability were assessed. We evaluated epiphyseal extrusion (EE) and metaphyseal width (MW), and assessed radiographs using the Mose and modified Stulberg classifications.

RESULTS

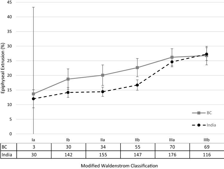
102 hips (90 patients) had radiographs available for evaluation. 95% of the BC cohort presented as Waldenstrom stages I and II, whereas, 90% of the Indian cohort presented as IIIa. Final EE was similar for both groups (BC 26.8%, India 27.3%) and final MW was 119% in both groups. Modified Waldenstrom and Herring classifications had substantial intra- and interobserver reliability, while Salter-Thompson and Catterall classifications had moderate agreement at best. Most hips were Catterall IV (80%) and Herring C (89%) for the BC cohort compared to only 44% and 43% of Indian hips, respectively. Most hips were irregular according to the Mose classification (BC 43%, India 52%) and aspherical according to the Stulberg classification (BC 78%).

CONCLUSIONS

We found similar radiographic progression and final radiographic appearances of LCPD in India and BC though differences in the distribution of the classification systems warrant further study.

SUPPLEMENTARY INFORMATION

The online version contains supplementary material available at 10.1007/s43465-021-00543-x.

摘要

背景

本研究旨在探讨加拿大不列颠哥伦比亚省(BC)非手术治疗的儿童Legg-Calvé-Perthes病(LCPD)的病情演变,并将结果与之前在印度进行的一项研究进行比较。

方法

这是一项对1990年至2006年期间在BC非手术治疗LCPD的患者与印度队列进行的回顾性研究。从医疗记录中收集人口统计学和治疗信息。对X线片进行改良的瓦尔登斯特伦、卡特拉尔、索尔特-汤普森和赫林分类,并评估观察者内和观察者间的可靠性。我们评估了骨骺挤压(EE)和干骺端宽度(MW),并使用莫斯和改良的斯图尔伯格分类对X线片进行评估。

结果

102个髋关节(90名患者)有可供评估的X线片。BC队列中95%表现为瓦尔登斯特伦I期和II期,而印度队列中90%表现为IIIa期。两组的最终EE相似(BC为26.8%,印度为27.3%),两组的最终MW均为119%。改良的瓦尔登斯特伦和赫林分类在观察者内和观察者间具有较高的可靠性,而索尔特-汤普森和卡特拉尔分类的一致性充其量为中等。BC队列中大多数髋关节为卡特拉尔IV级(80%)和赫林C级(89%),而印度髋关节分别仅为44%和43%。根据莫斯分类,大多数髋关节不规则(BC为43%,印度为52%),根据斯图尔伯格分类为非球形(BC为78%)。

结论

我们发现印度和BC的LCPD在影像学进展和最终影像学表现上相似,尽管分类系统分布的差异值得进一步研究。

补充信息

在线版本包含可在10.1007/s43465-021-00543-x获取的补充材料。

https://cdn.ncbi.nlm.nih.gov/pmc/blobs/dd2a/9043051/ac3da9d53f1d/43465_2021_543_Fig2_HTML.jpg
https://cdn.ncbi.nlm.nih.gov/pmc/blobs/dd2a/9043051/92a2ac7f5a84/43465_2021_543_Fig1_HTML.jpg
https://cdn.ncbi.nlm.nih.gov/pmc/blobs/dd2a/9043051/ac3da9d53f1d/43465_2021_543_Fig2_HTML.jpg
https://cdn.ncbi.nlm.nih.gov/pmc/blobs/dd2a/9043051/92a2ac7f5a84/43465_2021_543_Fig1_HTML.jpg
https://cdn.ncbi.nlm.nih.gov/pmc/blobs/dd2a/9043051/ac3da9d53f1d/43465_2021_543_Fig2_HTML.jpg

相似文献

1
The Natural History of Non-operatively Managed Legg-Calvé-Perthes' Disease.非手术治疗的Legg-Calvé-Perthes病的自然病史。
Indian J Orthop. 2022 Jan 20;56(5):867-873. doi: 10.1007/s43465-021-00543-x. eCollection 2022 May.
2
Comparison of lateral pillar classification and Catterall classification of Legg-Calvé-Perthes' disease.莱-卡-佩病的外侧柱分类与卡特拉尔分类的比较。
J Pediatr Orthop. 1993 Mar-Apr;13(2):200-2.
3
Comparison of the results from simple radiography, from before to after Salter osteotomy, in patients with Legg-Calvé-Perthes disease.对患有Legg-Calvé-Perthes病的患者在进行Salter截骨术前和术后的简单X线摄影结果进行比较。
Rev Bras Ortop. 2014 Sep 16;49(5):488-93. doi: 10.1016/j.rboe.2014.09.003. eCollection 2014 Sep-Oct.
4
Long-term Results of Modified Salter Innominate Osteotomy for Legg-Calvé-Perthes Disease.改良式Salter骨盆截骨术治疗Legg-Calvé-Perthes病的长期疗效
Clin Orthop Surg. 2017 Dec;9(4):397-404. doi: 10.4055/cios.2017.9.4.397. Epub 2017 Nov 10.
5
Intraobserver and interobserver reliability of Catterall, Herring, Salter-Thompson and Stulberg classification systems in Perthes disease.卡特拉尔、赫林、索尔特-汤普森和斯图尔伯格分类系统在佩特兹病中的观察者内和观察者间可靠性
J Pediatr Orthop B. 2004 May;13(3):166-9. doi: 10.1097/00009957-200405000-00005.
6
Perthes' disease: prognosis in children under six years of age.佩特兹氏病:6岁以下儿童的预后情况。
J Bone Joint Surg Br. 2008 Jul;90(7):940-5. doi: 10.1302/0301-620X.90B7.20691.
7
Reliability and stability of three common classifications for Legg-Calvé-Perthes disease.三种常见的 Legg-Calvé-Perthes 病分类方法的可靠性和稳定性。
Clin Orthop Relat Res. 2012 Sep;470(9):2376-82. doi: 10.1007/s11999-012-2314-7.
8
Serial bone scintigraphy in Legg-Calvé-Perthes disease: correlation with the Catterall and Herring classification.Legg-Calvé-Perthes病的系列骨闪烁扫描:与Catterall和Herring分类的相关性
J Pediatr Orthop B. 2006 Jan;15(1):6-10. doi: 10.1097/01202412-200601000-00002.
9
Intra and interobserver concordance between the different classifications used in Legg-Calvé-Perthes disease.莱格-卡维-佩尔特斯病中使用的不同分类之间的观察者内和观察者间一致性。
Rev Bras Ortop. 2015 Oct 23;50(6):680-5. doi: 10.1016/j.rboe.2015.09.010. eCollection 2015 Nov-Dec.
10
Predicting the outcome of Legg-Calve-Perthes' disease in children under 6 years old.预测6岁以下儿童的Legg-Calve-Perthes病的预后。
J Child Orthop. 2007 Mar;1(1):27-32. doi: 10.1007/s11832-007-0007-7. Epub 2007 Feb 9.

引用本文的文献

1
Prognostic Significance of Metaphyseal Changes in Legg-Calvé-Perthes Disease.Legg-Calvé-Perthes病干骺端改变的预后意义
J Pediatr Orthop. 2025 Oct 1;45(9):e818-e825. doi: 10.1097/BPO.0000000000003032. Epub 2025 Jun 20.
2
Effects of 12 weeks of head-down strong abdominal breathing on motor and cognitive performance during dual-tasking in patients with chronic obstructive pulmonary disease: Study protocol for a randomised controlled trial.12周头低位强力腹式呼吸对慢性阻塞性肺疾病患者双重任务期间运动和认知表现的影响:一项随机对照试验的研究方案
Heliyon. 2024 Jul 8;10(14):e34255. doi: 10.1016/j.heliyon.2024.e34255. eCollection 2024 Jul 30.
3

本文引用的文献

1
Interobserver and intraobserver reliability of the modified Waldenström classification system for staging of Legg-Calvé-Perthes disease.改良的瓦尔登斯特伦分类系统用于莱格-卡尔维-佩特病分期的观察者间和观察者内可靠性。
J Bone Joint Surg Am. 2015 Apr 15;97(8):643-50. doi: 10.2106/JBJS.N.00887.
2
The epidemiology and demographics of legg-calvé-perthes' disease.Legg-Calvé-Perthes病的流行病学和人口统计学
ISRN Orthop. 2011 Sep 5;2011:504393. doi: 10.5402/2011/504393. eCollection 2011.
3
Racial and geographic factors in the incidence of Legg-Calvé-Perthes' disease: a systematic review.
Epidemiology, natural evolution, pathogenesis, clinical spectrum, and management of Legg-Calvé-Perthes.
Legg-Calvé-Perthes病的流行病学、自然演变、发病机制、临床谱及治疗
J Child Orthop. 2023 Sep 25;17(5):385-403. doi: 10.1177/18632521231203009. eCollection 2023 Oct.
种族和地理因素在 Legg-Calvé-Perthes 病发病中的作用:系统评价。
Am J Epidemiol. 2012 Feb 1;175(3):159-66. doi: 10.1093/aje/kwr293. Epub 2012 Jan 5.
4
Femoral varus osteotomy in Legg-Calve-Perthes disease.Legg-Calve-Perthes病中的股骨内翻截骨术。
J Pediatr Orthop. 2011 Sep;31(2 Suppl):S189-91. doi: 10.1097/BPO.0b013e318223b55c.
5
Legg-Calvé-Perthes disease at 100: a review of evidence-based treatment.莱格-卡vé-佩特兹病百年回顾:循证治疗综述
J Pediatr Orthop. 2011 Sep;31(2 Suppl):S137-40. doi: 10.1097/BPO.0b013e318223b52d.
6
Conservative versus surgical treatment of late-onset Legg-Calve-Perthes disease: a radiographic comparison at skeletal maturity.晚发性Legg-Calve-Perthes病的保守治疗与手术治疗:骨骼成熟时的影像学比较
J Child Orthop. 2009 Feb;3(1):21-5. doi: 10.1007/s11832-008-0151-8. Epub 2008 Dec 11.
7
Ethical and scientific implications of the globalization of clinical research.临床研究全球化的伦理与科学影响
N Engl J Med. 2009 Feb 19;360(8):816-23. doi: 10.1056/NEJMsb0803929.
8
Prognostic factors and outcome of treatment in Perthes' disease: a prospective study of 368 patients with five-year follow-up.佩特兹病的预后因素及治疗结果:一项对368例患者进行五年随访的前瞻性研究。
J Bone Joint Surg Br. 2008 Oct;90(10):1364-71. doi: 10.1302/0301-620X.90B10.20649.
9
Globalization of cardiovascular clinical research: the balance between meeting medical needs and maintaining scientific standards.心血管临床研究的全球化:满足医疗需求与维持科学标准之间的平衡。
Am Heart J. 2007 Aug;154(2):232-8. doi: 10.1016/j.ahj.2007.04.028.
10
A new colonialism?--Conducting clinical trials in India.一种新殖民主义?——在印度开展临床试验
N Engl J Med. 2005 Apr 21;352(16):1633-6. doi: 10.1056/NEJMp048361.