Suppr超能文献

中国上海某农村地区幼儿园儿童睡眠问题的患病率及其与早产的关联

Prevalence of Sleep Problems and Its Association With Preterm Birth Among Kindergarten Children in a Rural Area of Shanghai, China.

作者信息

Wang Ruiping, Chen Jun, Tao Liqun, Qiang Yan, Yang Qing, Li Bin

机构信息

Clinical Research Center, Shanghai Skin Diseases Hospital, Tongji University, Shanghai, China.

Clinical Research Center, Shanghai Eye Disease Hospital, Shanghai, China.

出版信息

Front Pediatr. 2022 Apr 25;10:863241. doi: 10.3389/fped.2022.863241. eCollection 2022.

Abstract

INTRODUCTION

Healthy sleep in children is critical for their physical and mental health. Although growing evidence indicates the linkage between preterm birth and neural network that regulates sleep architecture, findings on the association between preterm birth and sleep problems among children are still contradictory. In this study, we aimed to understand the prevalence of sleep problems in children aged 3-6 years and to explore the association between sleep problems and preterm birth among children in Shanghai, China.

METHODS

We selected 8,586 kindergarten children aged 3-6 years and their mothers in a rural area of Shanghai. Data were collected by questionnaire interview among mothers with informed consent that was signed ahead. Six types of sleep problems (i.e., insufficient sleep, sleepwalk, nightmare, snore, grind teeth, and cry in sleep) were selected in this study. SAS 9.4 was used for data analysis, and < 0.05 was considered statistically significant.

RESULTS

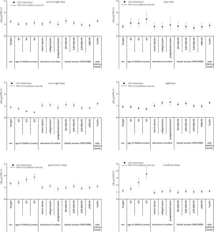
In this study, the prevalence of preterm birth was 9.88% (848/8,586), with a higher prevalence in boys (10.62%) than girls (9.01%). The prevalence of sleep problems was 89.81% among kindergarten children, with 62.50% for snore, 50.35% for grind teeth, 49.20% for cry in sleep, 41.18% for nightmare, 11.67% for insufficient sleep, and 4.44% for sleepwalk. The age of children, family income, and mother's education were associated with the prevalence of sleep problems in children. Logistic regression indicated that sleep problems in preterm children were comparable with the full-term children [odds ratio = 1.13, 95% confidence interval (0.89-1.45)].

CONCLUSION

Sleep problems were prevalent among children aged 3-6 years in the rural area of Shanghai, and preterm birth was not associated with sleep problems in kindergarten children. We recommend that parents should create limit setting in the home, cultivate similar child-rearing attitudes and beliefs among family members, and encourage children to go to bed earlier.

摘要

引言

儿童的健康睡眠对其身心健康至关重要。尽管越来越多的证据表明早产与调节睡眠结构的神经网络之间存在联系,但关于早产与儿童睡眠问题之间关联的研究结果仍相互矛盾。在本研究中,我们旨在了解中国上海3至6岁儿童睡眠问题的患病率,并探讨睡眠问题与早产之间的关联。

方法

我们选取了上海某农村地区8586名3至6岁的幼儿园儿童及其母亲。在获得母亲事先签署的知情同意后,通过问卷调查收集数据。本研究选取了六种睡眠问题(即睡眠不足、梦游、噩梦、打鼾、磨牙和睡眠中哭泣)。使用SAS 9.4进行数据分析,P<0.05被认为具有统计学意义。

结果

在本研究中,早产的患病率为9.88%(848/8586),男孩的患病率(10.62%)高于女孩(9.01%)。幼儿园儿童睡眠问题的患病率为89.81%,其中打鼾的患病率为62.50%,磨牙的患病率为50.35%,睡眠中哭泣的患病率为49.20%,噩梦的患病率为41.18%,睡眠不足的患病率为11.67%,梦游的患病率为4.44%。儿童年龄、家庭收入和母亲受教育程度与儿童睡眠问题的患病率相关。逻辑回归表明,早产儿童的睡眠问题与足月儿童相当[优势比=1.13,95%置信区间(0.89-1.45)]。

结论

上海农村地区3至6岁儿童睡眠问题普遍存在,早产与幼儿园儿童睡眠问题无关。我们建议家长应在家中设定限制,在家庭成员中培养相似的育儿态度和观念,并鼓励孩子早睡。

https://cdn.ncbi.nlm.nih.gov/pmc/blobs/929a/9082307/0ebf645c46ed/fped-10-863241-g0001.jpg

文献检索

告别复杂PubMed语法,用中文像聊天一样搜索,搜遍4000万医学文献。AI智能推荐,让科研检索更轻松。

立即免费搜索

文件翻译

保留排版,准确专业,支持PDF/Word/PPT等文件格式,支持 12+语言互译。

免费翻译文档

深度研究

AI帮你快速写综述,25分钟生成高质量综述,智能提取关键信息,辅助科研写作。

立即免费体验