Raad Shiva Hayati
Department of Electrical and Computer Engineering, Tarbiat Modares University, Tehran, Iran.
Sci Rep. 2022 May 12;12(1):7882. doi: 10.1038/s41598-022-11476-2.
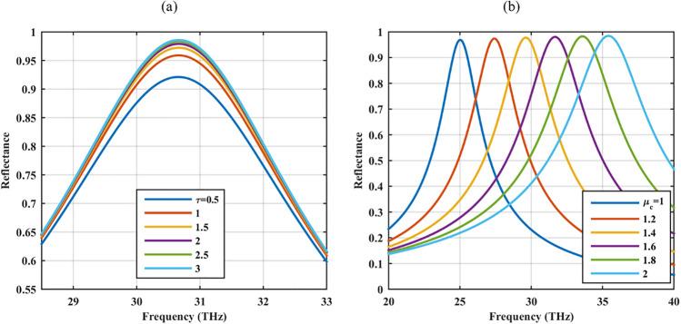
In this paper, a graphene-coated dielectric hole array is used to design a reconfigurable switchable optical reflector/absorber device. The design benefits from the collective excitation of localized surface plasmon resonances of graphene-coated hole array, providing simpler fabrication fellow and more compact structure with respect to graphene-coated spherical nanoparticle array with similar plasmonic behavior. Geometrical parametric study of the reflecting mode shows that the device has lots of degrees of freedom for spectrum tuning and can highly tolerate fabrication imperfections. Moreover, the reflection rate is slightly affected by the dielectric substrate height, which can be tuned to achieve strong absorption by backing it with a metallic mirror. The designed absorber efficiently captures a wide range of obliquely incident transverse electric (TE) and transverse magnetic (TM) waves. Also, the operating frequency of both reflecting and absorbing modes can be tuned after fabrication, thanks to the two-dimensional nature of graphene material. Finally, using vanadium dioxide (VO) phase change material, the switchable reflector\absorber mode of the device is also exhibited.
在本文中,一种石墨烯包覆的介质孔阵列被用于设计一种可重构的可切换光反射器/吸收器器件。该设计受益于石墨烯包覆孔阵列的局域表面等离子体共振的集体激发,相较于具有类似等离子体行为的石墨烯包覆球形纳米颗粒阵列,具有更简单的制造工艺和更紧凑的结构。对反射模式的几何参数研究表明,该器件在光谱调谐方面有很多自由度,并且能够高度容忍制造缺陷。此外,反射率受介质衬底高度的影响较小,通过在其背面放置金属镜可将其调谐以实现强吸收。所设计的吸收器能够有效地捕获宽范围的斜入射横向电场(TE)和横向磁场(TM)波。而且,由于石墨烯材料的二维特性,反射和吸收模式的工作频率在制造后均可进行调谐。最后,利用二氧化钒(VO)相变材料,该器件还展现出可切换的反射器/吸收器模式。