Asghar Adnan, Lund Liaquat Ali, Shah Zahir, Vrinceanu Narcisa, Deebani Wejdan, Shutaywi Meshal
School of Quantitative Sciences, University Utara Malaysia, Sintok 06010, Malaysia.
KCAET Khairpur Mirs, Sindh Agriculture University, Tandojam Sindh 70060, Pakistan.
Nanomaterials (Basel). 2022 May 5;12(9):1566. doi: 10.3390/nano12091566.
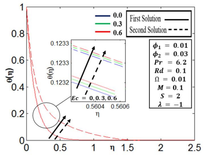
The effect of thermal radiation on the three-dimensional magnetized rotating flow of a hybrid nanofluid has been numerically investigated. Enhancing heat transmission is a contemporary engineering challenge in a range of sectors, including heat exchangers, electronics, chemical and biological reactors, and medical detectors. The main goal of the current study is to investigate the effect of magnetic parameter, solid volume fraction of copper, Eckert number, and radiation parameter on velocity and temperature distributions, and the consequence of solid volume fraction on declined skin friction and heat transfer against suction and a stretching/shrinking surface. A hybrid nanofluid is a contemporary type of nanofluid that is used to increase heat transfer performance. A linear similarity variable is−applied to convert the governing partial differential equations (PDEs) into corresponding ordinary differential equations (ODEs). Using the three-stage Labatto III-A method included in the MATLAB software’s bvp4c solver, the ODE system is solved numerically. In certain ranges of involved parameters, two solutions are received. The temperature profile θη upsurges in both solutions with growing values of EC and Rd. Moreover, the conclusion is that solution duality exists when the suction parameter S≥Sci, while no flow of fluid is possible when S<Sci. Finally, stability analysis has been performed and it has been found that only the first solution is the stable one between both solutions.
已对热辐射对混合纳米流体三维磁化旋转流的影响进行了数值研究。在包括热交换器、电子设备、化学和生物反应器以及医学探测器等一系列领域中,增强热传递是当代工程面临的一项挑战。当前研究的主要目标是研究磁参数、铜的固体体积分数、埃克特数和辐射参数对速度和温度分布的影响,以及固体体积分数对沿吸力和拉伸/收缩表面降低的表面摩擦和热传递的影响。混合纳米流体是一种用于提高热传递性能的当代纳米流体类型。应用线性相似变量将控制偏微分方程(PDEs)转换为相应的常微分方程(ODEs)。使用MATLAB软件的bvp4c求解器中包含的三阶拉巴托III - A方法对ODE系统进行数值求解。在相关参数的特定范围内,得到了两个解。随着埃克特数(EC)和辐射参数(Rd)值的增加,两个解中的温度分布θη都上升。此外,结论是当吸力参数S≥Sci时存在解的对偶性,而当S<Sci时流体不可能流动。最后,进行了稳定性分析,发现在两个解中只有第一个解是稳定的。