• 文献检索
  • 文档翻译
  • 深度研究
  • 学术资讯
  • Suppr Zotero 插件Zotero 插件
  • 邀请有礼
  • 套餐&价格
  • 历史记录
应用&插件
Suppr Zotero 插件Zotero 插件浏览器插件Mac 客户端Windows 客户端微信小程序
定价
高级版会员购买积分包购买API积分包
服务
文献检索文档翻译深度研究API 文档MCP 服务
关于我们
关于 Suppr公司介绍联系我们用户协议隐私条款
关注我们

Suppr 超能文献

核心技术专利:CN118964589B侵权必究
粤ICP备2023148730 号-1Suppr @ 2026

文献检索

告别复杂PubMed语法,用中文像聊天一样搜索,搜遍4000万医学文献。AI智能推荐,让科研检索更轻松。

立即免费搜索

文件翻译

保留排版,准确专业,支持PDF/Word/PPT等文件格式,支持 12+语言互译。

免费翻译文档

深度研究

AI帮你快速写综述,25分钟生成高质量综述,智能提取关键信息,辅助科研写作。

立即免费体验

共掺杂对用于糠醛选择性加氢制糠醇的铜/氧化钙催化剂的影响。

Effect of Co-Doping on Cu/CaO Catalysts for Selective Furfural Hydrogenation into Furfuryl Alcohol.

作者信息

Kalong Munsuree, Ratchahat Sakhon, Khemthong Pongtanawat, Assabumrungrat Suttichai, Srifa Atthapon

机构信息

Department of Chemical Engineering, Faculty of Engineering, Mahidol University, Nakhon Pathom 73170, Thailand.

National Nanotechnology Center (NANOTEC), National Science and Technology Development Agency (NSTDA), Pathum Thani 12120, Thailand.

出版信息

Nanomaterials (Basel). 2022 May 6;12(9):1578. doi: 10.3390/nano12091578.

DOI:10.3390/nano12091578
PMID:35564286
原文链接:https://pmc.ncbi.nlm.nih.gov/articles/PMC9102403/
Abstract

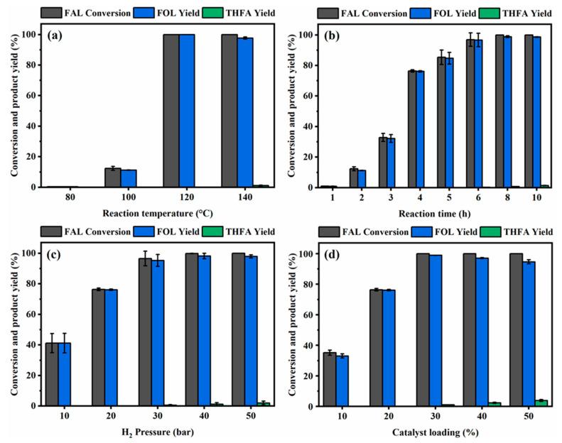
Cu/CaO catalysts with fine-tuned Co-doping for excellent catalytic performance of furfural (FAL) hydrogenation to furfuryl alcohol (FOL) were synthesized by a facile wetness impregnation method. The optimal CoCu/CaO catalyst, with a Co to Cu mole ratio of 1.40:1, exhibited a 100% FAL conversion with a FOL yield of 98.9% at 100 °C and 20 bar H pressure after 4 h. As gained from catalyst characterizations, Co addition could facilitate the reducibility of the CoCu system. Metallic Cu, Co-Cu alloys, and oxide species with CaO, acting as the major active components for the reaction, were formed after reduction at 500 °C. Additionally, this combination of Co and Cu elements could result in an improvement of catalyst textures when compared with the bare CaO. Smaller catalyst particles were formed after the addition of Co into Cu species. It was found that the addition of Co to Cu on the CaO support could fine-tune the appropriate acidic and basic sites to boost the FOL yield and selectivity with suppression of undesired products. These observations could confirm that the high efficiency and selectivity are mainly attributed to the synergistic effect between the catalytically active Co-Cu species and the CaO basic sites. Additionally, the FAL conversion and FOL yield insignificantly changed throughout the third consecutive run, confirming a high stability of the developed CoCu/CaO catalyst.

摘要

采用简便的湿浸渍法合成了具有微调钴掺杂的Cu/CaO催化剂,用于糠醛(FAL)加氢制糠醇(FOL)的优异催化性能。最佳的CoCu/CaO催化剂,Co与Cu的摩尔比为1.40:1,在100℃和20巴氢气压力下反应4小时后,FAL转化率达到100%,FOL产率为98.9%。从催化剂表征结果可知,添加Co可促进CoCu体系的还原。在500℃还原后,形成了金属Cu、Co-Cu合金以及与CaO的氧化物物种,它们是该反应的主要活性成分。此外,与纯CaO相比,Co和Cu元素的这种组合可改善催化剂的织构。在Cu物种中添加Co后形成了更小的催化剂颗粒。研究发现,在CaO载体上向Cu中添加Co可以微调合适的酸性和碱性位点,以提高FOL的产率和选择性,同时抑制不需要的产物。这些观察结果可以证实,高活性和选择性主要归因于催化活性的Co-Cu物种与CaO碱性位点之间的协同效应。此外,在连续第三次运行中,FAL转化率和FOL产率变化不显著,证实了所开发的CoCu/CaO催化剂具有高稳定性。

https://cdn.ncbi.nlm.nih.gov/pmc/blobs/cabb/9102403/6ea3a15016fc/nanomaterials-12-01578-g008.jpg
https://cdn.ncbi.nlm.nih.gov/pmc/blobs/cabb/9102403/7d015d558c48/nanomaterials-12-01578-g001.jpg
https://cdn.ncbi.nlm.nih.gov/pmc/blobs/cabb/9102403/7e0f2393cd67/nanomaterials-12-01578-g002.jpg
https://cdn.ncbi.nlm.nih.gov/pmc/blobs/cabb/9102403/b8995b0ecad3/nanomaterials-12-01578-g003.jpg
https://cdn.ncbi.nlm.nih.gov/pmc/blobs/cabb/9102403/6859e98c5056/nanomaterials-12-01578-g004.jpg
https://cdn.ncbi.nlm.nih.gov/pmc/blobs/cabb/9102403/52622eaadb1e/nanomaterials-12-01578-g005.jpg
https://cdn.ncbi.nlm.nih.gov/pmc/blobs/cabb/9102403/449df6181463/nanomaterials-12-01578-g006.jpg
https://cdn.ncbi.nlm.nih.gov/pmc/blobs/cabb/9102403/62d4cb75cdd3/nanomaterials-12-01578-g007.jpg
https://cdn.ncbi.nlm.nih.gov/pmc/blobs/cabb/9102403/6ea3a15016fc/nanomaterials-12-01578-g008.jpg
https://cdn.ncbi.nlm.nih.gov/pmc/blobs/cabb/9102403/7d015d558c48/nanomaterials-12-01578-g001.jpg
https://cdn.ncbi.nlm.nih.gov/pmc/blobs/cabb/9102403/7e0f2393cd67/nanomaterials-12-01578-g002.jpg
https://cdn.ncbi.nlm.nih.gov/pmc/blobs/cabb/9102403/b8995b0ecad3/nanomaterials-12-01578-g003.jpg
https://cdn.ncbi.nlm.nih.gov/pmc/blobs/cabb/9102403/6859e98c5056/nanomaterials-12-01578-g004.jpg
https://cdn.ncbi.nlm.nih.gov/pmc/blobs/cabb/9102403/52622eaadb1e/nanomaterials-12-01578-g005.jpg
https://cdn.ncbi.nlm.nih.gov/pmc/blobs/cabb/9102403/449df6181463/nanomaterials-12-01578-g006.jpg
https://cdn.ncbi.nlm.nih.gov/pmc/blobs/cabb/9102403/62d4cb75cdd3/nanomaterials-12-01578-g007.jpg
https://cdn.ncbi.nlm.nih.gov/pmc/blobs/cabb/9102403/6ea3a15016fc/nanomaterials-12-01578-g008.jpg

相似文献

1
Effect of Co-Doping on Cu/CaO Catalysts for Selective Furfural Hydrogenation into Furfuryl Alcohol.共掺杂对用于糠醛选择性加氢制糠醇的铜/氧化钙催化剂的影响。
Nanomaterials (Basel). 2022 May 6;12(9):1578. doi: 10.3390/nano12091578.
2
Effect of Calcination Atmosphere on the Performance of Cu/AlO Catalyst for the Selective Hydrogenation of Furfural to Furfuryl Alcohol.煅烧气氛对糠醛选择性加氢制糠醇Cu/Al₂O₃催化剂性能的影响
Molecules. 2024 Jun 9;29(12):2753. doi: 10.3390/molecules29122753.
3
Selective Hydrogenation of Furfural over the Co-Based Catalyst: A Subtle Synergy with Ni and Zn Dopants.钴基催化剂上糠醛的选择性加氢:与镍和锌掺杂剂的微妙协同作用
ACS Appl Mater Interfaces. 2021 Feb 24;13(7):8507-8517. doi: 10.1021/acsami.1c01436. Epub 2021 Feb 11.
4
At room temperature in water: efficient hydrogenation of furfural to furfuryl alcohol with a Pt/SiC-C catalyst.在室温下于水中:使用Pt/SiC-C催化剂将糠醛高效加氢制得糠醇。
RSC Adv. 2018 Nov 6;8(65):37243-37253. doi: 10.1039/c8ra08429g. eCollection 2018 Nov 1.
5
Highly Dispersed CoNi Alloy Embedded in N-doped Graphitic Carbon for Catalytic Transfer Hydrogenation of Biomass-derived Furfural.高度分散的 CoNi 合金嵌入氮掺杂石墨碳中,用于催化生物质衍生糠醛的转移加氢。
Chem Asian J. 2021 Oct 18;16(20):3194-3201. doi: 10.1002/asia.202100727. Epub 2021 Aug 25.
6
Tuning the synthesis of polymetallic-doped ZIF derived materials for efficient hydrogenation of furfural to furfuryl alcohol.调控多金属掺杂的沸石咪唑酯骨架材料衍生材料的合成以实现糠醛高效加氢制糠醇
Nanoscale. 2020 Sep 17;12(35):18296-18304. doi: 10.1039/d0nr04098c.
7
Selective Hydrogenation of Furfural to Furfuryl Alcohol in the Presence of a Recyclable Cobalt/SBA-15 Catalyst.在可循环使用的钴/ SBA - 15催化剂存在下糠醛选择性加氢制糠醇
ChemSusChem. 2015 Jun 8;8(11):1885-91. doi: 10.1002/cssc.201403398. Epub 2015 Apr 17.
8
reduction of Cu nanoparticles on Mg-Al-LDH for simultaneous efficient catalytic transfer hydrogenation of furfural to furfuryl alcohol.在镁铝层状双氢氧化物上还原铜纳米颗粒以同时高效催化糠醛转移加氢制糠醇
Chem Commun (Camb). 2023 Mar 14;59(22):3301-3304. doi: 10.1039/d3cc00018d.
9
Tandem hydrogenation/hydrogenolysis of furfural to 2-methylfuran over multifunctional metallic Cu nanoparticles supported ZIF-8 catalyst.多相金属 Cu 纳米粒子负载 ZIF-8 催化剂上糠醛串联加氢/氢解制备 2-甲基呋喃。
Bioresour Technol. 2024 Jun;402:130805. doi: 10.1016/j.biortech.2024.130805. Epub 2024 May 6.
10
Efficient bioconversion of furfural to furfuryl alcohol by NL01.NL01将糠醛高效生物转化为糠醇。
RSC Adv. 2018 Jul 26;8(47):26720-26727. doi: 10.1039/c8ra05098h. eCollection 2018 Jul 24.

本文引用的文献

1
PO Coordinated Robust Single-Atom Platinum Catalyst for Selective Polyol Oxidation.用于选择性多元醇氧化的PO协同稳健单原子铂催化剂
Angew Chem Int Ed Engl. 2022 May 16;61(21):e202116059. doi: 10.1002/anie.202116059. Epub 2022 Mar 23.
2
Effects of TiO structure and Co addition as a second metal on Ru-based catalysts supported on TiO for selective hydrogenation of furfural to FA.TiO结构及添加Co作为第二金属对负载于TiO上用于糠醛选择性加氢制糠醇的Ru基催化剂的影响。
Sci Rep. 2021 May 7;11(1):9786. doi: 10.1038/s41598-021-89082-x.
3
Selective Hydrogenation of Furfural over the Co-Based Catalyst: A Subtle Synergy with Ni and Zn Dopants.
钴基催化剂上糠醛的选择性加氢:与镍和锌掺杂剂的微妙协同作用
ACS Appl Mater Interfaces. 2021 Feb 24;13(7):8507-8517. doi: 10.1021/acsami.1c01436. Epub 2021 Feb 11.
4
Incorporation of Active Metal Species in Crystalline Porous Materials for Highly Efficient Synergetic Catalysis.在结晶多孔材料中引入活性金属物种以实现高效协同催化
Small. 2021 Jun;17(22):e2003971. doi: 10.1002/smll.202003971. Epub 2020 Nov 5.
5
Reversing Titanium Oligomer Formation towards High-Efficiency and Green Synthesis of Titanium-Containing Molecular Sieves.逆转钛低聚物形成以实现含钛分子筛的高效绿色合成。
Angew Chem Int Ed Engl. 2021 Feb 15;60(7):3443-3448. doi: 10.1002/anie.202011821. Epub 2020 Dec 21.
6
Modulated Sn Oxidation States over a CuO-Derived Substrate for Selective Electrochemical CO Reduction.基于CuO衍生基底调控Sn氧化态用于选择性电化学CO还原
ACS Appl Mater Interfaces. 2020 May 20;12(20):22760-22770. doi: 10.1021/acsami.0c00412. Epub 2020 May 7.
7
Solvent-Free Hydrodeoxygenation of Triglycerides to Diesel-like Hydrocarbons over Pt-Decorated MoO Catalysts.在铂修饰的氧化钼催化剂上甘油三酯无溶剂加氢脱氧制备类柴油碳氢化合物
ACS Omega. 2020 Mar 23;5(12):6956-6966. doi: 10.1021/acsomega.0c00326. eCollection 2020 Mar 31.
8
Spectroscopy Identification of the Bimetallic Surface of Metal-Organic Framework-Confined Pt-Sn Nanoclusters with Enhanced Chemoselectivity in Furfural Hydrogenation.金属有机框架限制的Pt-Sn纳米团簇双金属表面的光谱鉴定及其在糠醛加氢中增强的化学选择性
ACS Appl Mater Interfaces. 2019 Jul 3;11(26):23254-23260. doi: 10.1021/acsami.9b06229. Epub 2019 Jun 19.
9
How Catalysts and Experimental Conditions Determine the Selective Hydroconversion of Furfural and 5-Hydroxymethylfurfural.催化剂和实验条件如何决定糠醛和5-羟甲基糠醛的选择性加氢转化
Chem Rev. 2018 Nov 28;118(22):11023-11117. doi: 10.1021/acs.chemrev.8b00134. Epub 2018 Oct 26.
10
Optimization of the structural characteristics of CaO and its effective stabilization yield high-capacity CO sorbents.优化 CaO 的结构特性及其有效稳定化可提高大容量 CO 吸附剂的产量。
Nat Commun. 2018 Jun 19;9(1):2408. doi: 10.1038/s41467-018-04794-5.