• 文献检索
  • 文档翻译
  • 深度研究
  • 学术资讯
  • Suppr Zotero 插件Zotero 插件
  • 邀请有礼
  • 套餐&价格
  • 历史记录
应用&插件
Suppr Zotero 插件Zotero 插件浏览器插件Mac 客户端Windows 客户端微信小程序
定价
高级版会员购买积分包购买API积分包
服务
文献检索文档翻译深度研究API 文档MCP 服务
关于我们
关于 Suppr公司介绍联系我们用户协议隐私条款
关注我们

Suppr 超能文献

核心技术专利:CN118964589B侵权必究
粤ICP备2023148730 号-1Suppr @ 2026

文献检索

告别复杂PubMed语法,用中文像聊天一样搜索,搜遍4000万医学文献。AI智能推荐,让科研检索更轻松。

立即免费搜索

文件翻译

保留排版,准确专业,支持PDF/Word/PPT等文件格式,支持 12+语言互译。

免费翻译文档

深度研究

AI帮你快速写综述,25分钟生成高质量综述,智能提取关键信息,辅助科研写作。

立即免费体验

新合成的百里香酚衍生物及其对结肠癌细胞的影响。

Newly Synthesized Thymol Derivative and Its Effect on Colorectal Cancer Cells.

机构信息

Cancer Research Institute, Biomedical Research Center, Slovak Academy of Sciences, Dúbravská cesta 9, 84505 Bratislava, Slovakia.

Department of Analytical Chemistry, Faculty of Natural Sciences, Comenius University in Bratislava, Mlynská dolina, Ilkovičova 6, 84215 Bratislava, Slovakia.

出版信息

Molecules. 2022 Apr 19;27(9):2622. doi: 10.3390/molecules27092622.

DOI:10.3390/molecules27092622
PMID:35565973
原文链接:https://pmc.ncbi.nlm.nih.gov/articles/PMC9103784/
Abstract

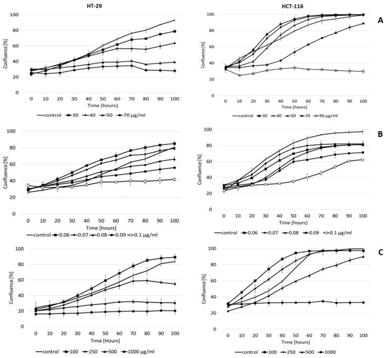
Thymol affects various types of tumor cell lines, including colorectal cancer cells. However, the hydrophobic properties of thymol prevent its wider use. Therefore, new derivatives (acetic acid thymol ester, thymol β-D-glucoside) have been synthesized with respect to hydrophilic properties. The cytotoxic effect of the new derivatives on the colorectal cancer cell lines HT-29 and HCT-116 was assessed via MTT assay. The genotoxic effect was determined by comet assay and micronucleus analysis. ROS production was evaluated using ROS-Glo™ HO Assay. We confirmed that one of the thymol derivatives (acetic acid thymol ester) has the potential to have a cyto/genotoxic effect on colorectal cancer cells, even at much lower (IC0.08 μg/mL) concentrations than standard thymol (IC60 μg/mL) after 24 h of treatment. On the other side, the genotoxic effect of the second studied derivative-thymol β-D-glucoside was observed at a concentration of about 1000 μg/mL. The antiproliferative effect of studied derivatives of thymol on the colorectal cancer cell lines was found to be both dose- and time-dependent at 100 h. Moreover, thymol derivative-treated cells did not show any significantly increased rate of micronuclei formation. New derivatives of thymol significantly increased ROS production too. The results confirmed that the effect of the derivative on tumor cells depends on its chemical structure, but further detailed research is needed. However, thymol and its derivatives have great potential in the prevention and treatment of colorectal cancer, which remains one of the most common cancers in the world.

摘要

百里香酚影响多种类型的肿瘤细胞系,包括结直肠癌细胞。然而,百里香酚的疏水性使其应用受到限制。因此,人们针对其亲水性合成了新的衍生物(乙酸百里香酚酯、百里香酚-β-D-葡萄糖苷)。通过 MTT 测定法评估了新衍生物对结直肠癌细胞系 HT-29 和 HCT-116 的细胞毒性作用。通过彗星试验和微核分析测定遗传毒性作用。使用 ROS-Glo™ HO 测定法评估 ROS 产生。我们证实,百里香酚的一种衍生物(乙酸百里香酚酯)在治疗 24 小时后,即使在比标准百里香(IC 60 μg/mL)低得多的浓度(IC 0.08 μg/mL)下,也有可能对结直肠癌细胞产生细胞毒性/遗传毒性作用。另一方面,第二种研究的衍生物——百里香酚-β-D-葡萄糖苷在约 1000 μg/mL 的浓度下观察到遗传毒性作用。在 100 小时时,研究的百里香酚衍生物对结直肠癌细胞系的增殖抑制作用呈剂量和时间依赖性。此外,用研究的百里香酚衍生物处理的细胞没有显示出微核形成率有任何显著增加。新的百里香酚衍生物也显著增加了 ROS 的产生。研究结果证实,该衍生物对肿瘤细胞的作用取决于其化学结构,但还需要进一步的详细研究。然而,百里香酚及其衍生物在预防和治疗结直肠癌方面具有巨大的潜力,结直肠癌仍然是世界上最常见的癌症之一。

https://cdn.ncbi.nlm.nih.gov/pmc/blobs/ee43/9103784/44b2d83ca9a2/molecules-27-02622-g005.jpg
https://cdn.ncbi.nlm.nih.gov/pmc/blobs/ee43/9103784/245178a0d710/molecules-27-02622-g001.jpg
https://cdn.ncbi.nlm.nih.gov/pmc/blobs/ee43/9103784/5eb228209a25/molecules-27-02622-g002.jpg
https://cdn.ncbi.nlm.nih.gov/pmc/blobs/ee43/9103784/d96f1bfac7cf/molecules-27-02622-g003.jpg
https://cdn.ncbi.nlm.nih.gov/pmc/blobs/ee43/9103784/82a17c15971e/molecules-27-02622-g004.jpg
https://cdn.ncbi.nlm.nih.gov/pmc/blobs/ee43/9103784/44b2d83ca9a2/molecules-27-02622-g005.jpg
https://cdn.ncbi.nlm.nih.gov/pmc/blobs/ee43/9103784/245178a0d710/molecules-27-02622-g001.jpg
https://cdn.ncbi.nlm.nih.gov/pmc/blobs/ee43/9103784/5eb228209a25/molecules-27-02622-g002.jpg
https://cdn.ncbi.nlm.nih.gov/pmc/blobs/ee43/9103784/d96f1bfac7cf/molecules-27-02622-g003.jpg
https://cdn.ncbi.nlm.nih.gov/pmc/blobs/ee43/9103784/82a17c15971e/molecules-27-02622-g004.jpg
https://cdn.ncbi.nlm.nih.gov/pmc/blobs/ee43/9103784/44b2d83ca9a2/molecules-27-02622-g005.jpg

相似文献

1
Newly Synthesized Thymol Derivative and Its Effect on Colorectal Cancer Cells.新合成的百里香酚衍生物及其对结肠癌细胞的影响。
Molecules. 2022 Apr 19;27(9):2622. doi: 10.3390/molecules27092622.
2
Characterization of the effects of thymol derivatives on colorectal cancer spheroids.测定百里香酚衍生物对结直肠癌细胞球的作用。
Neoplasma. 2024 Apr;71(2):193-200. doi: 10.4149/neo_2024_231222N658.
3
Thymol induces mitochondrial pathway-mediated apoptosis via ROS generation, macromolecular damage and SOD diminution in A549 cells.百里香酚通过 ROS 生成、大分子损伤和 SOD 减少诱导 A549 细胞中线粒体途径介导的细胞凋亡。
Pharmacol Rep. 2021 Feb;73(1):240-254. doi: 10.1007/s43440-020-00171-6. Epub 2020 Oct 23.
4
Effects of Thymol, a Natural Phenolic Compound, on Human Gastric Adenocarcinoma Cells In Vitro.天然酚类化合物百里酚对人胃腺癌细胞的体外作用
Altern Ther Health Med. 2019 Mar;25(2):12-21.
5
Thymol-loaded liposomes effectively induced apoptosis and decreased EGFR expression in colorectal cancer cells.载百里酚脂质体可有效诱导大肠癌细胞凋亡并降低表皮生长因子受体(EGFR)的表达。
Naunyn Schmiedebergs Arch Pharmacol. 2024 Jul;397(7):5157-5165. doi: 10.1007/s00210-024-02945-8. Epub 2024 Jan 19.
6
Thymol Elicits HCT-116 Colorectal Carcinoma Cell Death Through Induction of Oxidative Stress.百里香酚通过诱导氧化应激诱导 HCT-116 结直肠癌细胞死亡。
Anticancer Agents Med Chem. 2018 Feb 7;17(14):1942-1950. doi: 10.2174/1871520617666170327121228.
7
Two new thymol derivatives from .从.中分离得到两个新的百里酚衍生物。
Nat Prod Res. 2024 Jan-Feb;38(3):386-392. doi: 10.1080/14786419.2022.2124247. Epub 2022 Sep 29.
8
New thymol and isothymol derivatives from Eupatorium fortunei and their cytotoxic effects.富勒烯草中新的麝香草酚和异麝香草酚衍生物及其细胞毒性作用。
Bioorg Chem. 2020 May;98:103644. doi: 10.1016/j.bioorg.2020.103644. Epub 2020 Feb 4.
9
Thymol Isolated from L. Inhibits Colorectal Cancer Cell Growth and Metastasis by Suppressing the Wnt/β-Catenin Pathway.百里香酚抑制结肠癌生长和转移的机制研究。百里香酚通过抑制 Wnt/β-连环蛋白通路发挥作用。
Drug Des Devel Ther. 2020 Jul 1;14:2535-2547. doi: 10.2147/DDDT.S254218. eCollection 2020.
10
Thymol and Thymus Vulgaris L. activity against UVA- and UVB-induced damage in NCTC 2544 cell line.百里香酚和普通百里香对NCTC 2544细胞系中UVA和UVB诱导损伤的活性。
Mutat Res Genet Toxicol Environ Mutagen. 2015 Sep;791:30-7. doi: 10.1016/j.mrgentox.2015.07.009. Epub 2015 Jul 26.

引用本文的文献

1
Influence of oil phases on the digestibility and curcumin delivery properties of Pickering emulsions.油相对皮克林乳液的消化率和姜黄素递送特性的影响。
Food Chem X. 2025 Feb 8;26:102270. doi: 10.1016/j.fochx.2025.102270. eCollection 2025 Feb.
2
Herbal Medicines for the Treatment of Active Ulcerative Colitis: A Systematic Review and Meta-Analysis.草药治疗活动期溃疡性结肠炎:系统评价和荟萃分析。
Nutrients. 2024 Mar 23;16(7):934. doi: 10.3390/nu16070934.
3
Polyvinyl Alcohol (PVA)-Based Nanoniosome for Enhanced in vitro Delivery and Anticancer Activity of Thymol.

本文引用的文献

1
Synthesis, Crystallographic, Quantum Chemical, Antitumor, and Molecular Docking/Dynamic Studies of 4-Hydroxycoumarin-Neurotransmitter Derivatives.4-羟基香豆素-神经递质衍生物的合成、晶体学、量子化学、抗肿瘤及分子对接/动力学研究。
Int J Mol Sci. 2022 Jan 17;23(2):1001. doi: 10.3390/ijms23021001.
2
Thymol induces mitochondrial pathway-mediated apoptosis via ROS generation, macromolecular damage and SOD diminution in A549 cells.百里香酚通过 ROS 生成、大分子损伤和 SOD 减少诱导 A549 细胞中线粒体途径介导的细胞凋亡。
Pharmacol Rep. 2021 Feb;73(1):240-254. doi: 10.1007/s43440-020-00171-6. Epub 2020 Oct 23.
3
Thymol Isolated from L. Inhibits Colorectal Cancer Cell Growth and Metastasis by Suppressing the Wnt/β-Catenin Pathway.
基于聚乙烯醇(PVA)的纳米囊泡增强百里香酚的体外递送和抗癌活性。
Int J Nanomedicine. 2023 Jun 27;18:3459-3488. doi: 10.2147/IJN.S401725. eCollection 2023.
4
Genotoxic Potential of Thymol on Honey Bee DNA in the Comet Assay.百里香酚在彗星试验中对蜜蜂DNA的遗传毒性潜力。
Insects. 2023 May 11;14(5):451. doi: 10.3390/insects14050451.
5
Biological Activity of Natural and Synthetic Compounds.天然化合物和合成化合物的生物活性。
Molecules. 2022 Jun 7;27(12):3652. doi: 10.3390/molecules27123652.
百里香酚抑制结肠癌生长和转移的机制研究。百里香酚通过抑制 Wnt/β-连环蛋白通路发挥作用。
Drug Des Devel Ther. 2020 Jul 1;14:2535-2547. doi: 10.2147/DDDT.S254218. eCollection 2020.
4
Genoprotective Effects of Essential Oil Compounds Against Oxidative and Methylated DNA Damage in Human Colon Cancer Cells.精油化合物对人结肠癌细胞氧化和甲基化 DNA 损伤的遗传保护作用。
J Food Sci. 2019 Jul;84(7):1979-1985. doi: 10.1111/1750-3841.14665. Epub 2019 Jun 17.
5
Global cancer statistics 2018: GLOBOCAN estimates of incidence and mortality worldwide for 36 cancers in 185 countries.全球癌症统计数据 2018:GLOBOCAN 对全球 185 个国家/地区 36 种癌症的发病率和死亡率的估计。
CA Cancer J Clin. 2018 Nov;68(6):394-424. doi: 10.3322/caac.21492. Epub 2018 Sep 12.
6
Thymol, thyme, and other plant sources: Health and potential uses.百里香酚、百里香和其他植物来源:健康和潜在用途。
Phytother Res. 2018 Sep;32(9):1688-1706. doi: 10.1002/ptr.6109. Epub 2018 May 22.
7
Pharmacological Properties and Molecular Mechanisms of Thymol: Prospects for Its Therapeutic Potential and Pharmaceutical Development.百里香酚的药理特性与分子机制:其治疗潜力与药物研发前景
Front Pharmacol. 2017 Jun 26;8:380. doi: 10.3389/fphar.2017.00380. eCollection 2017.
8
Thymol Elicits HCT-116 Colorectal Carcinoma Cell Death Through Induction of Oxidative Stress.百里香酚通过诱导氧化应激诱导 HCT-116 结直肠癌细胞死亡。
Anticancer Agents Med Chem. 2018 Feb 7;17(14):1942-1950. doi: 10.2174/1871520617666170327121228.
9
Novel derivative of aminobenzenesulfonamide (3c) induces apoptosis in colorectal cancer cells through ROS generation and inhibits cell migration.氨基苯磺酰胺的新型衍生物(3c)通过产生活性氧诱导结肠癌细胞凋亡并抑制细胞迁移。
BMC Cancer. 2017 Jan 3;17(1):4. doi: 10.1186/s12885-016-3005-7.
10
Genotoxicity evaluation of carvacrol in rats using a combined micronucleus and comet assay.采用微核试验和彗星试验联合检测香芹酚对大鼠的遗传毒性评估。
Food Chem Toxicol. 2016 Dec;98(Pt B):240-250. doi: 10.1016/j.fct.2016.11.005. Epub 2016 Nov 6.