• 文献检索
  • 文档翻译
  • 深度研究
  • 学术资讯
  • Suppr Zotero 插件Zotero 插件
  • 邀请有礼
  • 套餐&价格
  • 历史记录
应用&插件
Suppr Zotero 插件Zotero 插件浏览器插件Mac 客户端Windows 客户端微信小程序
定价
高级版会员购买积分包购买API积分包
服务
文献检索文档翻译深度研究API 文档MCP 服务
关于我们
关于 Suppr公司介绍联系我们用户协议隐私条款
关注我们

Suppr 超能文献

核心技术专利:CN118964589B侵权必究
粤ICP备2023148730 号-1Suppr @ 2026

文献检索

告别复杂PubMed语法,用中文像聊天一样搜索,搜遍4000万医学文献。AI智能推荐,让科研检索更轻松。

立即免费搜索

文件翻译

保留排版,准确专业,支持PDF/Word/PPT等文件格式,支持 12+语言互译。

免费翻译文档

深度研究

AI帮你快速写综述,25分钟生成高质量综述,智能提取关键信息,辅助科研写作。

立即免费体验

发现新型烟酰胺类凋亡血管内皮生长因子受体-2 抑制剂:虚拟筛选、合成、抗增殖、免疫调节、ADMET、毒性和分子动力学模拟研究。

Discovery of new nicotinamides as apoptotic VEGFR-2 inhibitors: virtual screening, synthesis, anti-proliferative, immunomodulatory, ADMET, toxicity, and molecular dynamic simulation studies.

机构信息

Pharmaceutical Medicinal Chemistry & Drug Design Department, Faculty of Pharmacy (Boys), Al-Azhar University, Cairo, Egypt.

School of Biotechnology, Badr University in Cairo, Badr City, Egypt.

出版信息

J Enzyme Inhib Med Chem. 2022 Dec;37(1):1389-1403. doi: 10.1080/14756366.2022.2070744.

DOI:10.1080/14756366.2022.2070744
PMID:35577416
原文链接:https://pmc.ncbi.nlm.nih.gov/articles/PMC9116259/
Abstract

A library of modified VEGFR-2 inhibitors was designed as VEGFR-2 inhibitors. Virtual screening was conducted for the hypothetical library using docking, ADMET, and toxicity studies. Four compounds exhibited high affinity against VEGFR-2 and an acceptable range of the drug-likeness. These compounds were synthesised and subjected to cytotoxicity assay against two cancer cell lines besides VEGFR-2 inhibitory determination. Compound showed cytotoxic activity against HCT-116 cells almost double that of sorafenib. Compounds , , and showed good IC values against VEGFR-2. Compound markedly increased the levels of caspase-8 and BAX expression and decreased the anti-apoptotic Bcl-2 level. Additionally, compound caused cell cycle arrest at pre-G1 and G2-M phases in HCT-116 cells and induced apoptosis at both early and late apoptotic stages. Compound decreased the level of TNF-α and IL6 and inhibited TNF-α and IL6. MD simulations studies were performed over 100 ns.

摘要

设计了一个 VEGFR-2 抑制剂文库作为 VEGFR-2 抑制剂。使用对接、ADMET 和毒性研究对假定文库进行虚拟筛选。四种化合物对 VEGFR-2 表现出高亲和力和可接受的类药性范围。这些化合物被合成,并在进行对两种癌细胞系的细胞毒性测定以及 VEGFR-2 抑制测定之前进行了研究。化合物对 HCT-116 细胞的细胞毒性活性几乎是索拉非尼的两倍。化合物 、 、 和 对 VEGFR-2 表现出良好的 IC 值。化合物 显著增加了 caspase-8 和 BAX 表达水平,降低了抗凋亡的 Bcl-2 水平。此外,化合物 在 HCT-116 细胞中使细胞周期停滞在 pre-G1 和 G2-M 期,并在早期和晚期凋亡阶段诱导细胞凋亡。化合物 降低了 TNF-α 和 IL6 的水平,并抑制了 TNF-α 和 IL6。进行了超过 100ns 的 MD 模拟研究。

https://cdn.ncbi.nlm.nih.gov/pmc/blobs/0bfe/9116259/6a02988ce72c/IENZ_A_2070744_F0014_C.jpg
https://cdn.ncbi.nlm.nih.gov/pmc/blobs/0bfe/9116259/4dada55a9ab3/IENZ_A_2070744_F0001_C.jpg
https://cdn.ncbi.nlm.nih.gov/pmc/blobs/0bfe/9116259/cc820395f651/IENZ_A_2070744_F0002_C.jpg
https://cdn.ncbi.nlm.nih.gov/pmc/blobs/0bfe/9116259/683c3f536f6c/IENZ_A_2070744_F0003_C.jpg
https://cdn.ncbi.nlm.nih.gov/pmc/blobs/0bfe/9116259/7da3c141f7ee/IENZ_A_2070744_F0004_C.jpg
https://cdn.ncbi.nlm.nih.gov/pmc/blobs/0bfe/9116259/7c18eb3f086e/IENZ_A_2070744_F0005_C.jpg
https://cdn.ncbi.nlm.nih.gov/pmc/blobs/0bfe/9116259/a6518c200ab2/IENZ_A_2070744_F0006_C.jpg
https://cdn.ncbi.nlm.nih.gov/pmc/blobs/0bfe/9116259/27839e15246f/IENZ_A_2070744_F0007_C.jpg
https://cdn.ncbi.nlm.nih.gov/pmc/blobs/0bfe/9116259/ee5b44825ecd/IENZ_A_2070744_F0008_C.jpg
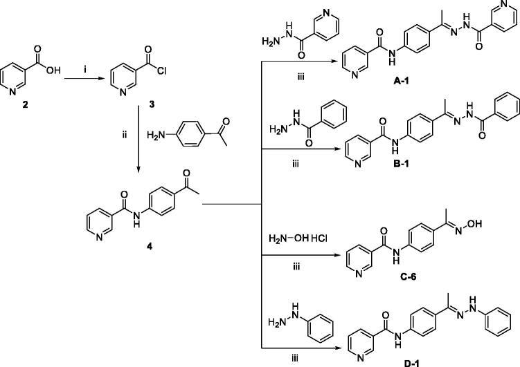
https://cdn.ncbi.nlm.nih.gov/pmc/blobs/0bfe/9116259/29f230f0a4e8/IENZ_A_2070744_SCH0001_B.jpg
https://cdn.ncbi.nlm.nih.gov/pmc/blobs/0bfe/9116259/94e1a61eba85/IENZ_A_2070744_F0009_C.jpg
https://cdn.ncbi.nlm.nih.gov/pmc/blobs/0bfe/9116259/a45a66d23b92/IENZ_A_2070744_F0010_C.jpg
https://cdn.ncbi.nlm.nih.gov/pmc/blobs/0bfe/9116259/b04082addfdf/IENZ_A_2070744_F0011_C.jpg
https://cdn.ncbi.nlm.nih.gov/pmc/blobs/0bfe/9116259/4d4f3ce50558/IENZ_A_2070744_F0012_C.jpg
https://cdn.ncbi.nlm.nih.gov/pmc/blobs/0bfe/9116259/16c916f023dd/IENZ_A_2070744_F0013_C.jpg
https://cdn.ncbi.nlm.nih.gov/pmc/blobs/0bfe/9116259/6a02988ce72c/IENZ_A_2070744_F0014_C.jpg
https://cdn.ncbi.nlm.nih.gov/pmc/blobs/0bfe/9116259/4dada55a9ab3/IENZ_A_2070744_F0001_C.jpg
https://cdn.ncbi.nlm.nih.gov/pmc/blobs/0bfe/9116259/cc820395f651/IENZ_A_2070744_F0002_C.jpg
https://cdn.ncbi.nlm.nih.gov/pmc/blobs/0bfe/9116259/683c3f536f6c/IENZ_A_2070744_F0003_C.jpg
https://cdn.ncbi.nlm.nih.gov/pmc/blobs/0bfe/9116259/7da3c141f7ee/IENZ_A_2070744_F0004_C.jpg
https://cdn.ncbi.nlm.nih.gov/pmc/blobs/0bfe/9116259/7c18eb3f086e/IENZ_A_2070744_F0005_C.jpg
https://cdn.ncbi.nlm.nih.gov/pmc/blobs/0bfe/9116259/a6518c200ab2/IENZ_A_2070744_F0006_C.jpg
https://cdn.ncbi.nlm.nih.gov/pmc/blobs/0bfe/9116259/27839e15246f/IENZ_A_2070744_F0007_C.jpg
https://cdn.ncbi.nlm.nih.gov/pmc/blobs/0bfe/9116259/ee5b44825ecd/IENZ_A_2070744_F0008_C.jpg
https://cdn.ncbi.nlm.nih.gov/pmc/blobs/0bfe/9116259/29f230f0a4e8/IENZ_A_2070744_SCH0001_B.jpg
https://cdn.ncbi.nlm.nih.gov/pmc/blobs/0bfe/9116259/94e1a61eba85/IENZ_A_2070744_F0009_C.jpg
https://cdn.ncbi.nlm.nih.gov/pmc/blobs/0bfe/9116259/a45a66d23b92/IENZ_A_2070744_F0010_C.jpg
https://cdn.ncbi.nlm.nih.gov/pmc/blobs/0bfe/9116259/b04082addfdf/IENZ_A_2070744_F0011_C.jpg
https://cdn.ncbi.nlm.nih.gov/pmc/blobs/0bfe/9116259/4d4f3ce50558/IENZ_A_2070744_F0012_C.jpg
https://cdn.ncbi.nlm.nih.gov/pmc/blobs/0bfe/9116259/16c916f023dd/IENZ_A_2070744_F0013_C.jpg
https://cdn.ncbi.nlm.nih.gov/pmc/blobs/0bfe/9116259/6a02988ce72c/IENZ_A_2070744_F0014_C.jpg

相似文献

1
Discovery of new nicotinamides as apoptotic VEGFR-2 inhibitors: virtual screening, synthesis, anti-proliferative, immunomodulatory, ADMET, toxicity, and molecular dynamic simulation studies.发现新型烟酰胺类凋亡血管内皮生长因子受体-2 抑制剂:虚拟筛选、合成、抗增殖、免疫调节、ADMET、毒性和分子动力学模拟研究。
J Enzyme Inhib Med Chem. 2022 Dec;37(1):1389-1403. doi: 10.1080/14756366.2022.2070744.
2
Design, Synthesis, In Silico and In Vitro Studies of New Immunomodulatory Anticancer Nicotinamide Derivatives Targeting VEGFR-2.新型靶向 VEGFR-2 的免疫调节抗癌烟酰胺衍生物的设计、合成、计算机模拟和体外研究。
Molecules. 2022 Jun 24;27(13):4079. doi: 10.3390/molecules27134079.
3
New Thieno[2,3-d]pyrimidines as Anticancer VEGFR-2 Inhibitors with Apoptosis Induction: Design, Synthesis, and Biological and Studies.新型噻吩并[2,3-d]嘧啶类化合物作为具有诱导凋亡作用的抗癌血管内皮生长因子受体-2(VEGFR-2)抑制剂:设计、合成及生物学研究
Med Chem. 2024;20(9):876-899. doi: 10.2174/0115734064285433240513092047.
4
Discovery of new 3-methylquinoxalines as potential anti-cancer agents and apoptosis inducers targeting VEGFR-2: design, synthesis, and studies.发现新型 3-甲基喹喔啉作为潜在的抗癌药物和针对 VEGFR-2 的凋亡诱导剂:设计、合成及研究。
J Enzyme Inhib Med Chem. 2021 Dec;36(1):1732-1750. doi: 10.1080/14756366.2021.1945591.
5
New thiazolidine-2,4-diones as potential anticancer agents and apoptotic inducers targeting VEGFR-2 kinase: Design, synthesis, in silico and in vitro studies.新型噻唑烷-2,4-二酮类化合物作为潜在的抗血管内皮生长因子受体-2 激酶的抗癌药物和凋亡诱导剂:设计、合成、计算机模拟和体外研究。
Biochim Biophys Acta Gen Subj. 2024 Jun;1868(6):130599. doi: 10.1016/j.bbagen.2024.130599. Epub 2024 Mar 21.
6
Discovery of New VEGFR-2 Inhibitors: Design, Synthesis, Anti-Proliferative Evaluation, Docking, and MD Simulation Studies.新型 VEGFR-2 抑制剂的发现:设计、合成、抗增殖评价、对接和 MD 模拟研究。
Molecules. 2022 Sep 21;27(19):6203. doi: 10.3390/molecules27196203.
7
Synthesis, anticancer effect and molecular modeling of new thiazolylpyrazolyl coumarin derivatives targeting VEGFR-2 kinase and inducing cell cycle arrest and apoptosis.合成、抗癌作用及新型噻唑基吡唑并香豆素衍生物的分子模拟,该衍生物针对 VEGFR-2 激酶并诱导细胞周期停滞和细胞凋亡。
Bioorg Chem. 2019 Apr;85:253-273. doi: 10.1016/j.bioorg.2018.12.040. Epub 2019 Jan 3.
8
New bis([1,2,4]triazolo)[4,3-a:3',4'-c]quinoxaline derivatives as VEGFR-2 inhibitors and apoptosis inducers: Design, synthesis, in silico studies, and anticancer evaluation.新型双([1,2,4]三唑)[4,3-a:3',4'-c]喹喔啉衍生物作为 VEGFR-2 抑制剂和凋亡诱导剂的设计、合成、计算机研究和抗癌评估。
Bioorg Chem. 2021 Jul;112:104949. doi: 10.1016/j.bioorg.2021.104949. Epub 2021 Apr 30.
9
Design, Synthesis, In Vitro Anti-cancer Activity, ADMET Profile and Molecular Docking of Novel Triazolo[3,4-a]phthalazine Derivatives Targeting VEGFR-2 Enzyme.靶向VEGFR-2酶的新型三唑并[3,4-a]酞嗪衍生物的设计、合成、体外抗癌活性、ADMET特性及分子对接
Anticancer Agents Med Chem. 2018;18(8):1184-1196. doi: 10.2174/1871520618666180412123833.
10
Anti-cancer and immunomodulatory evaluation of new nicotinamide derivatives as potential VEGFR-2 inhibitors and apoptosis inducers: and studies.新型烟酰胺衍生物作为潜在 VEGFR-2 抑制剂和凋亡诱导剂的抗癌和免疫调节评价: 和 研究。
J Enzyme Inhib Med Chem. 2022 Dec;37(1):2206-2222. doi: 10.1080/14756366.2022.2110868.

引用本文的文献

1
Novel Sulfonamide Derivatives as Anticancer Agents, VEGFR‑2 Inhibitors, and Apoptosis Triggers: Design, Synthesis, and Computational Studies.新型磺胺衍生物作为抗癌剂、VEGFR-2抑制剂和凋亡触发剂:设计、合成及计算研究
ACS Omega. 2025 Aug 25;10(35):39772-39790. doi: 10.1021/acsomega.5c03503. eCollection 2025 Sep 9.
2
Integrated in silico and in vitro exploration of the anti-VEGFR-2 activities of a semisynthetic xanthine alkaloid inhibiting breast cancer.半合成黄嘌呤生物碱抑制乳腺癌的抗血管内皮生长因子受体2(VEGFR-2)活性的计算机模拟和体外综合研究
PLoS One. 2025 Jan 27;20(1):e0316146. doi: 10.1371/journal.pone.0316146. eCollection 2025.
3

本文引用的文献

1
Discovery of VEGFR2 inhibitors by integrating naïve Bayesian classification, molecular docking and drug screening approaches.通过整合朴素贝叶斯分类、分子对接和药物筛选方法发现血管内皮生长因子受体2(VEGFR2)抑制剂
RSC Adv. 2018 Jan 30;8(10):5286-5297. doi: 10.1039/c7ra12259d. eCollection 2018 Jan 29.
2
Isolation and In Silico Anti-SARS-CoV-2 Papain-Like Protease Potentialities of Two Rare 2-Phenoxychromone Derivatives from spp.从 spp. 中分离得到的两种罕见的 2-苯并氧杂环酮衍生物的抗 SARS-CoV-2 木瓜蛋白酶样蛋白酶的虚拟筛选潜力
Molecules. 2022 Feb 11;27(4):1216. doi: 10.3390/molecules27041216.
3
Inhibition of Vascular Smooth Muscle and Cancer Cell Proliferation by New VEGFR Inhibitors and Their Immunomodulator Effect: Design, Synthesis, and Biological Evaluation.
Design and synthesis of new nicotinamides as immunomodulatory VEGFR-2 inhibitors and apoptosis inducers.
新型烟酰胺作为免疫调节性血管内皮生长因子受体-2抑制剂和凋亡诱导剂的设计与合成。
Future Med Chem. 2024 Dec;16(24):2583-2598. doi: 10.1080/17568919.2024.2421150. Epub 2024 Nov 14.
4
Emerging Nanomedicine Approaches in Targeted Lung Cancer Treatment.新兴纳米医学方法在肺癌靶向治疗中的应用。
Int J Mol Sci. 2024 Oct 19;25(20):11235. doi: 10.3390/ijms252011235.
5
A combination of virtual screening, molecular dynamics simulation, MM/PBSA, ADMET, and DFT calculations to identify a potential DPP4 inhibitor.采用虚拟筛选、分子动力学模拟、MM/PBSA、ADMET 和 DFT 计算相结合的方法,鉴定出一种潜在的 DPP4 抑制剂。
Sci Rep. 2024 Apr 2;14(1):7749. doi: 10.1038/s41598-024-58485-x.
6
Design, synthesis, anti-proliferative evaluation, docking, and MD simulation studies of new thieno[2,3-]pyrimidines targeting VEGFR-2.靶向血管内皮生长因子受体-2(VEGFR-2)的新型噻吩并[2,3-b]嘧啶的设计、合成、抗增殖评估、对接及分子动力学模拟研究
RSC Adv. 2023 Aug 4;13(33):23365-23385. doi: 10.1039/d3ra03128d. eCollection 2023 Jul 26.
7
Identification of new theobromine-based derivatives as potent VEGFR-2 inhibitors: design, semi-synthesis, biological evaluation, and studies.新型可可碱基衍生物作为高效血管内皮生长因子受体-2(VEGFR-2)抑制剂的鉴定:设计、半合成、生物学评价及研究
RSC Adv. 2023 Aug 2;13(33):23285-23307. doi: 10.1039/d3ra04007k. eCollection 2023 Jul 26.
8
Design, synthesis, studies, and biological evaluation of novel pyrimidine-5-carbonitrile derivatives as potential anti-proliferative agents, VEGFR-2 inhibitors and apoptotic inducers.新型嘧啶-5-腈衍生物作为潜在抗增殖剂、VEGFR-2抑制剂和凋亡诱导剂的设计、合成、研究及生物学评价
RSC Adv. 2023 Jul 24;13(32):22122-22147. doi: 10.1039/d3ra04182d. eCollection 2023 Jul 19.
9
Evaluating the ability of some natural phenolic acids to target the main protease and AAK1 in SARS COV-2.评估一些天然酚酸靶向 SARS-CoV-2 主蛋白酶和 AAK1 的能力。
Sci Rep. 2023 May 5;13(1):7357. doi: 10.1038/s41598-023-34189-6.
10
()--(3-(1-(2-(4-(2,2,2-Trifluoroacetamido)benzoyl)hydrazono)ethyl)phenyl)nicotinamide: A Novel Pyridine Derivative for Inhibiting Vascular Endothelial Growth Factor Receptor-2: Synthesis, Computational, and Anticancer Studies.()-()-()-()-()-()-()-()-()-()-()-()-()-()-()-()-()-()-()-()-()-()-()-()-()-()-()-()-()-()-()-()-()-()-()-()-()-()-()-()-()-()-()-()-()-()-()-()-()-()-()-()-()-()-()-()-()-()-()-()-()-()-()-()-()-()-()-()-()-()-()-()-()-()-()-()-()-()-()-()-()-()-()-()-()-()-()-()-()-()-()-()-()-()-()-()-()-()-()-()-()-()-()-()-()-()-()-()-()-()-()-()-()-()-()-()-()-()-()-()-()-()-()-()-()-()-()-()-()-()-()-()-()-()-()-()-()-()-()-()-()-()-()-()-()-()-()-()-()-()-()-()-()-()-()-()-()-()-()-()-()-()-()-()-()-()-()-()-()-()-()-()-()-()-()-()-()-()-()-()-()-()-()-()-()-()-()-()-()-()-()-()-()-()-()-()-()-()-()-()-()-()-()-()-()-()-()-()-()-()-()-()-()-()-()-()-()-()-()-()-()-()-()-()-()-()-()-()-()-()-()-()-()-()-()-()-()-()-()-()-()-()-()-()-()-()-()-()-()-()-()-()-()-()-()-()-()-()-()-()-()-()-()-()-()-()-()-()-()-()-()-()-()-()-()-()-()-()-()-()-()-()-()-()-()-()-()-()-()-()-()-()-()-()-()-()-()-()-()-()-()-()-()-()-()-()-()-()-()-()-()-()-()-()-()-()-()-()-()-()-()-()-()-()-()-()-()-()-()-()-()-()-()-()-()-()-()-()-()-()-()-()-()-()-()-()-()-()-()-()-()-()-()-()-()-()-()-()-()-()-()-()-()-()-()-()-()-()-()-()-()-()-()-()-()-()-()-()-()-()-()-()-()-()-()-()-()-()-()-()-()-()-()-()-()-()-()-()-()-()-()-()-()-()-()-()-()-()-()-()-()-()-()-()-()-()-()-()-()-()-()-()-()-()-()-()-()-()-()-()-()-()-()-()-()-()-()-()-()-()-()-()-()-()-()-()-()-()-()-()-()-()-()-()-()-()-()-()-()-()-()-()-()-()-()-()-()-()-()-()-()-()-()-()-()-()-()-()-()-()-()-()-()-()-()-()-()-()-()-()-()-()-()-()-()-()-()-()-()-()-()-()-()-()-()-()-()-()-()-()-()-()-()-()-()-()-()-()-()-()-()-()-()-()-()-()-()-()-()-()-()-()-()-()-()-()-()-()-()-()-()-()-()-()-()-()-()-()-()-()-()-()-()-()-()-()-()-()-()-()-()-()-()-()-()-()-()-()-()-()-()-()-()-()-()-()-()-()-()-()-()-()-()-()-()-()-()-()-()-()-()-()-()-()-()-()-()-()-()-()-()-()-()-()-()-()-()-()-()-()-()-()-()-()-()-()-()-()-()-()-()-()-()-()-()-()-()-()-()-()-()-()-()-()-()-()-()-()-()-()-()-()-()-()-()-()-()-()-()-()-()-()-()-()-()-()-()-()-()-()-()-()-()-()-()-()-()-()-()-()-()-()-()-()-()-()-()-()-()-()-()-()-()-()-()-()-()-()-()-()-()-()-()-()-()-()-()-()-()-()-()-()-()-()-()-()-()-()-()-()-()-()-()-()-()-()-()-()-()-()-()-()-()-()-()-()-()-()-()-()-()-()-()-()-()-()-()-()-()-()-()-()-()-()-()-()-()-()-()-()-()-()-()-()-()-()-()-()-()-()-()-()-()-()-()-()-()-()-()-()-()-()-()-()-()-()-()-()-()-()-()-()-()-()-()-()-()-()-()-()-()-()-()-()-()-()-()-()-()-()-()-()-()-()-()-()-()-()-()-()-()-()-()-()-()-()-()-()-()-()-()-()-()-()-()-()-()-()-()-()-()-()-()-()-()-()-()-()-()-()-()-()-()-()-()-()-()-()-()-()-()-()-()-()-()-()-()-()-()-()-()-()-()-()-()-()-()-()-()-()-()-()-()-()-()-()-()-()-()-()-()-()-()-()-()-()-()-()-()-()-()-()-()-()-()-()-()-()-()-()-()-()-()-()-()-()-()-()-()-()-()-()-()-()-()-()-()-()-()-()-()-()-()-()-()-()-()-()-()-()-()-()-()-()-()-()-()-()-()-()-()-()-()-()-()-()-()-()-()-()-()-()-()-()-()-()-()-()-()-()-()-()-()-()-()-()-()-()-()-()-()-()-()-()-()-()-()-()-()-()-()-()-()-()-()-()-()-()-()-()-()-()-()-()-()-()-()-()-()-()-()-()-()-()-()-()-()-()-()-()-()-()-()-()-()-()-()-()-()-()-()-()-()-()-()-()-()-()-()-()-()-()-()-()-()-()-()-()-()-()-()-()-()-()-()-()-()-()-()-()-()-()-()-()-()-()-()-()-()-()-()-()-()-()-()-()-()-()-()-()-()-()-()-()-()-()-()-()-()-()-()-()-()-()-()-()-()-()-()-()-()-()-()-()-()-()()-()-()-()-()-()-()-()-()-()--(3-(1-(2-(4-(2,2,2-Trifluoroacetamido)benzoyl)hydrazono)ethyl)phenyl)nicotinamide: A Novel Pyridine Derivative for Inhibiting Vascular Endothelial Growth Factor Receptor-2: Synthesis, Computational, and Anticancer Studies.
Molecules. 2022 Nov 9;27(22):7719. doi: 10.3390/molecules27227719.
新型 VEGFR 抑制剂的血管平滑肌和癌细胞增殖抑制作用及其免疫调节剂效应的设计、合成与生物学评价。
Oxid Med Cell Longev. 2021 Oct 28;2021:8321400. doi: 10.1155/2021/8321400. eCollection 2021.
4
Design, synthesis, docking, ADMET studies, and anticancer evaluation of new 3-methylquinoxaline derivatives as VEGFR-2 inhibitors and apoptosis inducers.新型 3-甲基喹喔啉衍生物作为 VEGFR-2 抑制剂和凋亡诱导剂的设计、合成、对接、ADMET 研究和抗癌评估。
J Enzyme Inhib Med Chem. 2021 Dec;36(1):1760-1782. doi: 10.1080/14756366.2021.1956488.
5
Discovery of new anticancer thiourea-azetidine hybrids: design, synthesis, in vitro antiproliferative, SAR, in silico molecular docking against VEGFR-2, ADMET, toxicity, and DFT studies.新型抗癌硫脲-氮杂环丁烷杂合体的发现:设计、合成、体外抗增殖、SAR、针对 VEGFR-2 的计算机分子对接、ADMET、毒性和 DFT 研究。
Bioorg Chem. 2021 Oct;115:105206. doi: 10.1016/j.bioorg.2021.105206. Epub 2021 Jul 27.
6
Discovery of new 3-methylquinoxalines as potential anti-cancer agents and apoptosis inducers targeting VEGFR-2: design, synthesis, and studies.发现新型 3-甲基喹喔啉作为潜在的抗癌药物和针对 VEGFR-2 的凋亡诱导剂:设计、合成及研究。
J Enzyme Inhib Med Chem. 2021 Dec;36(1):1732-1750. doi: 10.1080/14756366.2021.1945591.
7
Discovery of new quinoxaline-2(1H)-one-based anticancer agents targeting VEGFR-2 as inhibitors: Design, synthesis, and anti-proliferative evaluation.发现新型喹喔啉-2(1H)-酮类靶向 VEGFR-2 的抗癌剂作为抑制剂:设计、合成与抗增殖活性评价。
Bioorg Chem. 2021 Sep;114:105105. doi: 10.1016/j.bioorg.2021.105105. Epub 2021 Jun 18.
8
New bis([1,2,4]triazolo)[4,3-a:3',4'-c]quinoxaline derivatives as VEGFR-2 inhibitors and apoptosis inducers: Design, synthesis, in silico studies, and anticancer evaluation.新型双([1,2,4]三唑)[4,3-a:3',4'-c]喹喔啉衍生物作为 VEGFR-2 抑制剂和凋亡诱导剂的设计、合成、计算机研究和抗癌评估。
Bioorg Chem. 2021 Jul;112:104949. doi: 10.1016/j.bioorg.2021.104949. Epub 2021 Apr 30.
9
Development of 3-methyl/3-(morpholinomethyl)benzofuran derivatives as novel antitumor agents towards non-small cell lung cancer cells.开发 3-甲基/3-(吗啉甲基)苯并呋喃衍生物作为新型抗肿瘤剂用于治疗非小细胞肺癌细胞。
J Enzyme Inhib Med Chem. 2021 Dec;36(1):987-999. doi: 10.1080/14756366.2021.1915302.
10
Discovery of thieno[2,3-d]pyrimidine-based derivatives as potent VEGFR-2 kinase inhibitors and anti-cancer agents.发现噻吩并[2,3-d]嘧啶衍生物作为有效的 VEGFR-2 激酶抑制剂和抗癌剂。
Bioorg Chem. 2021 Jul;112:104947. doi: 10.1016/j.bioorg.2021.104947. Epub 2021 Apr 27.