Suppr超能文献

评价 QRS 评分诊断女性冠心病的价值:芬兰心血管研究。

Evaluation of the QRS score for diagnosing coronary artery disease in women: A Finnish cardiovascular study.

机构信息

Faculty of Medicine and Health Technology, Tampere University, Tampere, Finland.

Heart Center, Tampere University Hospital, Tampere, Finland.

出版信息

Ann Noninvasive Electrocardiol. 2022 Jul;27(4):e12968. doi: 10.1111/anec.12968. Epub 2022 May 17.

Abstract

BACKGROUND

Exercise electrocardiography is a widely used diagnostic modality for diagnosing coronary artery disease. This method has been used for both sexes; however, its diagnostic accuracy in women is limited.

METHODS

The study analyzed 332 women participating in the Finnish Cardiovascular Study. Among 332 women, 125 with angiographically proven coronary artery disease (mean age 62.1 ± 9.5 years), 91 with a low likelihood of coronary artery disease (mean age 47.3 ± 13.5 years), and 116 without angiographically proven coronary artery disease (mean age 56.3 ± 9.9 years) were analyzed. The Q, R, S, and ST-segment changes and QRS score were determined by subtracting the Q, R, S, and ST-segment amplitudes immediately after the maximal exercise changes from their rest values (Δ). Receiver operating characteristic curve analysis was performed to evaluate the overall diagnostic performance of the parameters for predicting coronary artery disease.

RESULTS

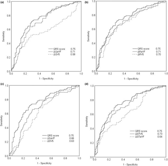
The areas under the receiver operating characteristic curve between coronary artery disease and low likelihood of coronary artery disease groups for the QRS score and ΔSTV5, ΔQaVF, and ΔRaVF were 0.75, 0.73, 0.71, and 0.71, respectively. These areas were lower (0.62, 0.57, 0.60, and 0.60, respectively) between the groups with and without angiographically proven coronary artery disease. QRS score demonstrated the highest sensitivity at 80% specificity (61.5%) and the highest specificity at 80% sensitivity (57.6%).

CONCLUSIONS

This study suggests that the QRS and ST-segment depression have a moderate diagnostic ability to predict coronary artery disease in women. Q and R waves in lead aVF showed good diagnostic ability.

摘要

背景

运动心电图是一种广泛用于诊断冠心病的诊断方法。这种方法已被用于男女两性;然而,其在女性中的诊断准确性有限。

方法

该研究分析了参加芬兰心血管研究的 332 名女性。在 332 名女性中,125 名经血管造影证实患有冠状动脉疾病(平均年龄 62.1±9.5 岁),91 名冠状动脉疾病可能性低(平均年龄 47.3±13.5 岁),116 名无经血管造影证实的冠状动脉疾病(平均年龄 56.3±9.9 岁)。通过从静息值减去运动后最大变化后的 Q、R、S 和 ST 段变化和 QRS 评分来确定 Q、R、S 和 ST 段幅度(Δ)。进行了受试者工作特征曲线分析,以评估参数预测冠状动脉疾病的整体诊断性能。

结果

在冠状动脉疾病和低冠状动脉疾病可能性组之间,QRS 评分和 ΔSTV5、ΔQaVF 和 ΔRaVF 的受试者工作特征曲线下面积分别为 0.75、0.73、0.71 和 0.71。这些面积在有和无经血管造影证实的冠状动脉疾病组之间较低(分别为 0.62、0.57、0.60 和 0.60)。QRS 评分在 80%特异性时表现出最高的敏感性(61.5%),在 80%敏感性时表现出最高的特异性(57.6%)。

结论

本研究表明,QRS 和 ST 段压低对女性冠心病有中等的诊断能力。aVF 导联的 Q 和 R 波显示出良好的诊断能力。

https://cdn.ncbi.nlm.nih.gov/pmc/blobs/0b94/9296785/f4ffa66358d0/ANEC-27-e12968-g001.jpg

文献检索

告别复杂PubMed语法,用中文像聊天一样搜索,搜遍4000万医学文献。AI智能推荐,让科研检索更轻松。

立即免费搜索

文件翻译

保留排版,准确专业,支持PDF/Word/PPT等文件格式,支持 12+语言互译。

免费翻译文档

深度研究

AI帮你快速写综述,25分钟生成高质量综述,智能提取关键信息,辅助科研写作。

立即免费体验