IRCCS Ospedale San Raffaele and Università Vita-Salute, Diabetes Research Institute, Milan, Italy.
The Belgian Diabetes Registry, Academic Hospital and Diabetes Research Centre, Vrije Universiteit Brussel, Brussels, Belgium.
Diabetes Obes Metab. 2022 Sep;24(9):1840-1849. doi: 10.1111/dom.14770. Epub 2022 Jul 4.
To evaluate the ability of ladarixin (LDX, 400 mg twice-daily for three cycles of 14 days on/14 days off), an inhibitor of the CXCR1/2 chemokine receptors, to maintain C-peptide production in adult patients with newly diagnosed type 1 diabetes.
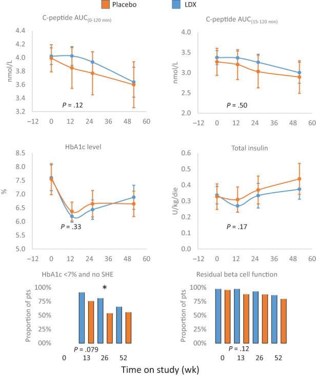
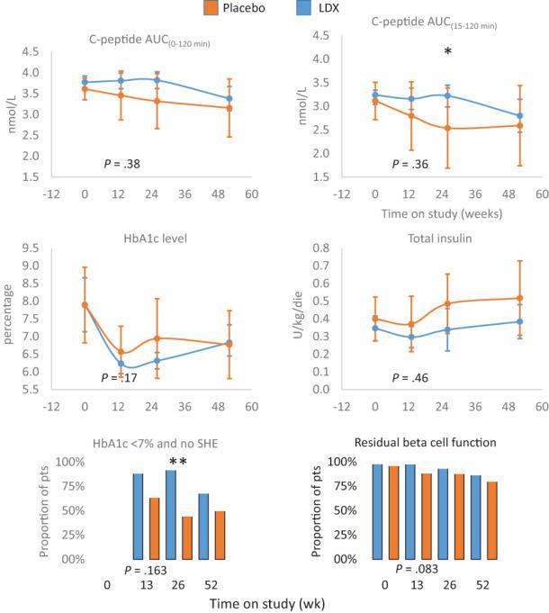
A double-blind, randomized (2:1), placebo-controlled study was conducted in 45 males and 31 females (aged 18-46 years) within 100 days of the first insulin administration. The primary endpoint was the area under the curve (AUC) for C-peptide in response to a 2-hour mixed meal tolerance test (AUC ) at week 13 ± 1. Secondary endpoints included C-peptide AUC , HbA1c, daily insulin requirement, severe hypoglycaemic events (SHE), the proportion of subjects achieving HbA1c less than 7.0% without SHE and maintaining a residual beta cell function. Follow-up assessments were scheduled at weeks 13 ± 1, 26 ± 2 and 52 ± 2.
In total, 26/26 (100%, placebo) and 49/50 (98%, LDX) patients completed week 13. The mean change from baseline to week 13 in C-peptide AUC was -0.144 ± 0.449 nmol/L with placebo and 0.003 ± .322 nmol/L with LDX. The difference was not significant (0.149 nmol/L, 95% CI -0.04 to 0.33; P = .122). At week 26, the proportion of patients with HbA1c less than 7.0% without SHE was transiently higher in the LDX group (81% vs. 54%, P = .024). Otherwise, no significant secondary endpoint differences were noted. Transient metabolic benefit was seen at week 26 in favour of the LDX group in the prespecified subpopulation with fasting C-peptide less than the median value at screening.
In newly diagnosed patients with type 1 diabetes, short-term LDX treatment had no appreciable effect on preserving residual beta cell function.
评估 CXCR1/2 趋化因子受体抑制剂 ladarixin(LDX,每日两次,每次 400mg,共 3 个周期,每个周期持续 14 天用药/14 天停药)对新发 1 型糖尿病成年患者维持 C 肽产生的作用。
这项双盲、随机(2:1)、安慰剂对照研究纳入了 100 天内首次接受胰岛素治疗的 45 名男性和 31 名女性(年龄 18-46 岁)。主要终点是 13 周±1 时混合餐耐量试验(2 小时)的 C 肽曲线下面积(AUC)(AUC )。次要终点包括 C 肽 AUC 、糖化血红蛋白(HbA1c)、每日胰岛素需求、严重低血糖事件(SHE)、实现 HbA1c <7.0%且无 SHE 并维持残余β细胞功能的受试者比例。随访评估时间为 13 周±1、26 周±2 和 52 周±2。
共有 26/26(100%,安慰剂)和 49/50(98%,LDX)名患者完成了 13 周。与安慰剂组相比,LDX 组从基线到 13 周时 C 肽 AUC 的平均变化为-0.144±0.449nmol/L,差异无统计学意义(0.149nmol/L,95%置信区间为-0.04 至 0.33;P=0.122)。在 26 周时,无 SHE 的 HbA1c <7.0%的患者比例在 LDX 组中暂时更高(81%比 54%,P=0.024)。否则,未观察到次要终点的显著差异。在预先规定的以筛查时空腹 C 肽中位数为界的亚组中,26 周时 LDX 组表现出短暂的代谢获益优势。
在新发 1 型糖尿病患者中,短期 LDX 治疗对维持残余β细胞功能没有明显作用。