Suppr超能文献

Deformation Behavior, a Flow Stress Model Considering the Contribution of Strain and Processing Maps in the Isothermal Compression of a Near-α Ti-3.3Al-1.5Zr-1.2Mo-0.6Ni Titanium Alloy.

作者信息

Yu Weixin, Cao Junhui, Hou Shusen, Wang Guanglong, Li Yue, Lang Shaoting

机构信息

School of Mechanical and Electrical Engineering, Xinxiang University, Xinxiang 453003, China.

出版信息

Materials (Basel). 2022 May 6;15(9):3346. doi: 10.3390/ma15093346.

Abstract

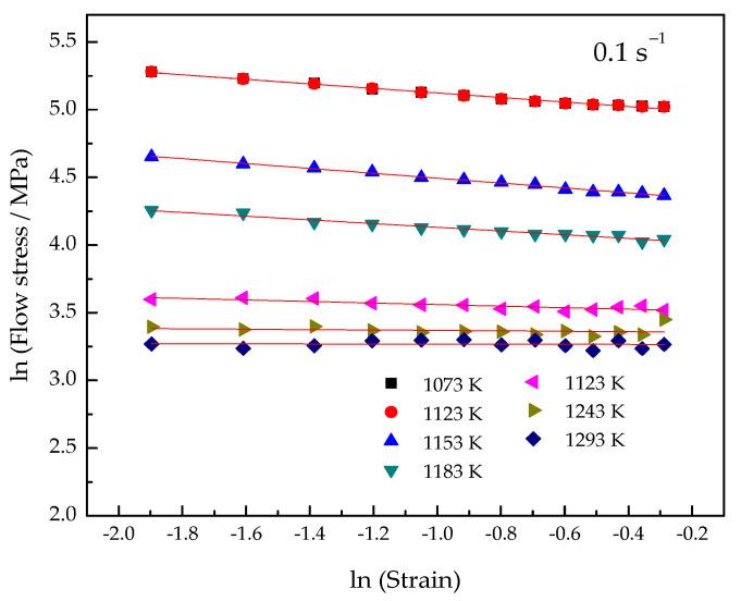
In the present study, isothermal compression tests are conducted for a near-α Ti-3.3Al-1.5Zr-1.2Mo-0.6Ni titanium alloy at deformation temperatures ranging from 1073 K to 1293 K and strain rates ranging from 0.01 s to 10 s on a Gleeble-3500 thermomechanical compressor. The results show that, in the initial stage of the compression, the flow stress rapidly increases to a peak value because of elastic deformation, and then the alloy enters the plastic deformation stage and the flow stress slowly decreases with the increase in strain and tends to gradually stabilize. In the plastic deformation stage, the flow stress significantly decreases with the increase in the deformation temperature and the decrease in strain rate. A flow stress model considering the contribution of the strain is established, and the relative error between the calculated and the experimental values is 3.72%. The flow stress model has higher precision and can efficiently predict the flow behavior in the isothermal compression of the alloy. Furthermore, the processing map of the Ti-3.3Al-1.5Zr-1.2Mo-0.6Ni alloy is drawn. Based on the processing map, the influence of process parameters on power dissipation efficiency and stability parameters is analyzed, and the optimized hot working process parameters are pointed out.

摘要
https://cdn.ncbi.nlm.nih.gov/pmc/blobs/529d/9100986/869e63e6d068/materials-15-03346-g001.jpg

文献AI研究员

20分钟写一篇综述,助力文献阅读效率提升50倍。

立即体验

用中文搜PubMed

大模型驱动的PubMed中文搜索引擎

马上搜索

文档翻译

学术文献翻译模型,支持多种主流文档格式。

立即体验