• 文献检索
  • 文档翻译
  • 深度研究
  • 学术资讯
  • Suppr Zotero 插件Zotero 插件
  • 邀请有礼
  • 套餐&价格
  • 历史记录
应用&插件
Suppr Zotero 插件Zotero 插件浏览器插件Mac 客户端Windows 客户端微信小程序
定价
高级版会员购买积分包购买API积分包
服务
文献检索文档翻译深度研究API 文档MCP 服务
关于我们
关于 Suppr公司介绍联系我们用户协议隐私条款
关注我们

Suppr 超能文献

核心技术专利:CN118964589B侵权必究
粤ICP备2023148730 号-1Suppr @ 2026

文献检索

告别复杂PubMed语法,用中文像聊天一样搜索,搜遍4000万医学文献。AI智能推荐,让科研检索更轻松。

立即免费搜索

文件翻译

保留排版,准确专业,支持PDF/Word/PPT等文件格式,支持 12+语言互译。

免费翻译文档

深度研究

AI帮你快速写综述,25分钟生成高质量综述,智能提取关键信息,辅助科研写作。

立即免费体验

扫描碳离子照射中 EDR2 胶片的实验剂量学

Experimental dosimetry of EDR2 films in scanning carbon-ion irradiation.

机构信息

Department of Medical Physics, Shanghai Proton and Heavy Ion Center, Shanghai, China.

Shanghai Key Laboratory of Radiation Oncology(20dz2261000), Shanghai, China.

出版信息

J Appl Clin Med Phys. 2022 Jul;23(7):e13636. doi: 10.1002/acm2.13636. Epub 2022 May 20.

DOI:10.1002/acm2.13636
PMID:35594015
原文链接:https://pmc.ncbi.nlm.nih.gov/articles/PMC9278678/
Abstract

PURPOSE

To investigate the dose-sensitometric response of extended dose range (EDR2) films to scanning carbon-ion beams and to evaluate the applications of the obtained response curves to carbon-ion dose distributions.

METHODS

EDR2 films were irradiated by mono-energetic scanning carbon-ion beams with different doses to obtain sensitometric curves at different integrated depth doses (DDDs). Six different DDDs were generated by using a proper buildup for each mono-energetic beam and were used to investigate the energy dependence. The sensitometric curves were obtained by fitting the net optical density (netOD) to dose at different DDDs. The dose difference between the value converted from the netOD and that calculated in the treatment planning system (TPS) was investigated to evaluate the application scope of the sensitometric curve.

RESULTS

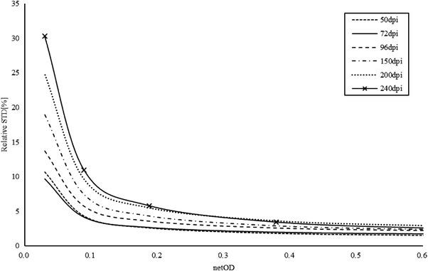
Digitizing the EDR2 film with a resolution of 0.36 (72 dpi) provided a good signal-to-noise ratio, and the sensitometric curve was linear at all DDDs of clinically relevant incident kinetic energies in the netOD range of 0.02-1.70 for carbon-ion film dosimetry. The factors used to convert the netOD to absorbed dose were expressed as a linear function of DDDs, with which the depth dose difference between converted and TPS was less than 3% in the proximal area for incident kinetic energies lower than 307.5 MeV/u.

CONCLUSION

The EDR2 film is a feasible tool for scanning carbon-ion beam profile measurements by directly evaluating the netOD distribution with proper digitizing resolution and netOD range. By applying the conversion factors, the EDR2 film can also be employed to perform the percentage depth dose consistency checking and linear energy transfer comparison of carbon-ion lower than 307.5 MeV/u.

摘要

目的

研究扩展剂量范围(EDR2)胶片对扫描碳离子束的剂量-感光响应,并评估获得的响应曲线在碳离子剂量分布中的应用。

方法

用不同剂量的单能扫描碳离子束照射 EDR2 胶片,在不同的积分深度剂量(DDD)下获得感光曲线。对于每一种单能束,使用适当的堆积层来生成 6 个不同的 DDD,以研究能量依赖性。通过拟合不同 DDD 下的净光密度(netOD)与剂量,得到感光曲线。通过研究从 netOD 转换的值与治疗计划系统(TPS)中计算的值之间的剂量差异,评估感光曲线的应用范围。

结果

以 0.36(72dpi)的分辨率数字化 EDR2 胶片,可获得良好的信噪比,在 netOD 范围为 0.02-1.70 的临床相关入射动能的所有 DDD 下,感光曲线均呈线性。用于将 netOD 转换为吸收剂量的因子表示为 DDD 的线性函数,对于入射动能低于 307.5MeV/u 的情况,转换后和 TPS 之间的深度剂量差异在近端区域小于 3%。

结论

EDR2 胶片是一种可行的工具,可通过直接评估适当数字化分辨率和 netOD 范围内的净光密度分布来测量扫描碳离子束的束流剖面。通过应用转换因子,EDR2 胶片还可以用于进行低于 307.5MeV/u 的碳离子百分深度剂量一致性检查和线性能量传递比较。

https://cdn.ncbi.nlm.nih.gov/pmc/blobs/f27a/9278678/cb3fa10206ca/ACM2-23-e13636-g007.jpg
https://cdn.ncbi.nlm.nih.gov/pmc/blobs/f27a/9278678/2d70ee66ce4e/ACM2-23-e13636-g008.jpg
https://cdn.ncbi.nlm.nih.gov/pmc/blobs/f27a/9278678/dd42e1af6bc5/ACM2-23-e13636-g004.jpg
https://cdn.ncbi.nlm.nih.gov/pmc/blobs/f27a/9278678/3f531407564a/ACM2-23-e13636-g006.jpg
https://cdn.ncbi.nlm.nih.gov/pmc/blobs/f27a/9278678/9a12101c0aef/ACM2-23-e13636-g001.jpg
https://cdn.ncbi.nlm.nih.gov/pmc/blobs/f27a/9278678/2b5c764829b3/ACM2-23-e13636-g003.jpg
https://cdn.ncbi.nlm.nih.gov/pmc/blobs/f27a/9278678/4d821b8a0443/ACM2-23-e13636-g005.jpg
https://cdn.ncbi.nlm.nih.gov/pmc/blobs/f27a/9278678/f84b547fdc95/ACM2-23-e13636-g002.jpg
https://cdn.ncbi.nlm.nih.gov/pmc/blobs/f27a/9278678/cb3fa10206ca/ACM2-23-e13636-g007.jpg
https://cdn.ncbi.nlm.nih.gov/pmc/blobs/f27a/9278678/2d70ee66ce4e/ACM2-23-e13636-g008.jpg
https://cdn.ncbi.nlm.nih.gov/pmc/blobs/f27a/9278678/dd42e1af6bc5/ACM2-23-e13636-g004.jpg
https://cdn.ncbi.nlm.nih.gov/pmc/blobs/f27a/9278678/3f531407564a/ACM2-23-e13636-g006.jpg
https://cdn.ncbi.nlm.nih.gov/pmc/blobs/f27a/9278678/9a12101c0aef/ACM2-23-e13636-g001.jpg
https://cdn.ncbi.nlm.nih.gov/pmc/blobs/f27a/9278678/2b5c764829b3/ACM2-23-e13636-g003.jpg
https://cdn.ncbi.nlm.nih.gov/pmc/blobs/f27a/9278678/4d821b8a0443/ACM2-23-e13636-g005.jpg
https://cdn.ncbi.nlm.nih.gov/pmc/blobs/f27a/9278678/f84b547fdc95/ACM2-23-e13636-g002.jpg
https://cdn.ncbi.nlm.nih.gov/pmc/blobs/f27a/9278678/cb3fa10206ca/ACM2-23-e13636-g007.jpg

相似文献

1
Experimental dosimetry of EDR2 films in scanning carbon-ion irradiation.扫描碳离子照射中 EDR2 胶片的实验剂量学
J Appl Clin Med Phys. 2022 Jul;23(7):e13636. doi: 10.1002/acm2.13636. Epub 2022 May 20.
2
Dosimetry of therapeutic photon beams using an extended dose range film.使用扩展剂量范围胶片对治疗性光子束进行剂量测定。
Med Phys. 2002 Oct;29(10):2438-45. doi: 10.1118/1.1508379.
3
Optimal sensitometric curves of Kodak EDR2 film for dynamic intensity modulated radiation therapy verification.用于动态调强放射治疗验证的柯达EDR2胶片的最佳感光测定曲线。
Biomed Imaging Interv J. 2008 Jan;4(1):e4. doi: 10.2349/biij.4.1.e4. Epub 2008 Jan 1.
4
Evaluation of Kodak EDR2 film for dose verification of intensity modulated radiation therapy delivered by a static multileaf collimator.柯达EDR2胶片用于静态多叶准直器实施的调强放射治疗剂量验证的评估。
Med Phys. 2002 Aug;29(8):1687-92. doi: 10.1118/1.1493781.
5
Comparative evaluation of Kodak EDR2 and XV2 films for verification of intensity modulated radiation therapy.柯达EDR2和XV2胶片用于调强放射治疗验证的对比评估。
Phys Med Biol. 2002 Nov 21;47(22):4121-30. doi: 10.1088/0031-9155/47/22/314.
6
Normalized sensitometric curves for the verification of hybrid IMRT treatment plans with multiple energies.用于验证多能量混合调强放疗治疗计划的归一化剂量测定曲线。
Med Phys. 2003 Jun;30(6):1142-50. doi: 10.1118/1.1576951.
7
Dosimetric accuracy of Kodak EDR2 film for IMRT verifications.柯达EDR2胶片用于调强放射治疗验证的剂量测定准确性。
Med Phys. 2005 Feb;32(2):539-48. doi: 10.1118/1.1852791.
8
Film dosimetry in the peripheral region using multiple sensitometric curves.使用多条感光曲线在外周区域进行胶片剂量测定。
Med Phys. 2004 Feb;31(2):327-32. doi: 10.1118/1.1639126.
9
EDR2 film dosimetry for IMRT verification using low-energy photon filters.使用低能光子滤波器进行调强放疗验证的EDR2胶片剂量测定法。
Med Phys. 2004 Jul;31(7):1960-3. doi: 10.1118/1.1760190.
10
Variation of sensitometric curves of radiographic films in high energy photon beams.高能光子束中射线胶片感光曲线的变化
Med Phys. 2001 Jun;28(6):966-74. doi: 10.1118/1.1376443.

引用本文的文献

1
Commissioning of a commercial treatment planning system for scanned carbon-ion radiotherapy.用于扫描碳离子放射治疗的商业治疗计划系统的调试
J Appl Clin Med Phys. 2025 Mar;26(3):e14580. doi: 10.1002/acm2.14580. Epub 2024 Nov 29.

本文引用的文献

1
Technical note: Vendor-agnostic water phantom for 3D dosimetry of complex fields in particle therapy.技术说明:用于在粒子治疗中对复杂场的 3D 剂量测定的与厂商无关的水模体。
J Appl Clin Med Phys. 2020 Oct;21(10):227-232. doi: 10.1002/acm2.12996. Epub 2020 Sep 29.
2
EXPERIMENTAL EVALUATION OF DOSIMETRIC CHARACTERIZATION OF GAFCHROMIC EBT3 AND EBT-XD FILMS FOR CLINICAL CARBON ION BEAMS.用于临床碳离子束的GAFCHROMIC EBT3和EBT-XD薄膜剂量学特性的实验评估
Radiat Prot Dosimetry. 2018 Aug 1;180(1-4):314-318. doi: 10.1093/rpd/ncy006.
3
Dose-response of EBT3 radiochromic films to proton and carbon ion clinical beams.
EBT3 放射变色薄膜对质子和碳离子临床束流的剂量响应。
Phys Med Biol. 2017 Jan 21;62(2):377-393. doi: 10.1088/1361-6560/aa5078. Epub 2016 Dec 20.
4
Patient-specific QA and delivery verification of scanned ion beam at NIRS-HIMAC.NIRS-HIMAC 中扫描离子束的患者特异性 QA 和递送验证。
Med Phys. 2013 Dec;40(12):121707. doi: 10.1118/1.4828845.
5
An efficient protocol for radiochromic film dosimetry combining calibration and measurement in a single scan.一种高效的放射色胶片剂量测定协议,可在单次扫描中结合校准和测量。
Med Phys. 2012 Oct;39(10):6339-50. doi: 10.1118/1.4754797.
6
Monte Carlo simulations to support start-up and treatment planning of scanned proton and carbon ion therapy at a synchrotron-based facility.基于同步加速器的质子和碳离子治疗启动和治疗计划的蒙特卡罗模拟。
Phys Med Biol. 2012 Jun 21;57(12):3759-84. doi: 10.1088/0031-9155/57/12/3759. Epub 2012 May 23.
7
Gafchromic EBT film dosimetry in proton beams.Gafchromic EBT 胶片在质子射束中的剂量测定。
Phys Med Biol. 2010 May 21;55(10):N291-301. doi: 10.1088/0031-9155/55/10/N04. Epub 2010 Apr 29.
8
Analysis of the sources of uncertainty for EDR2 film-based IMRT quality assurance.基于EDR2胶片的调强放疗质量保证的不确定性来源分析
J Appl Clin Med Phys. 2006 May 25;7(2):1-8. doi: 10.1120/jacmp.v7i2.2230.
9
Comparison of Kodak EDR2 and Gafchromic EBT film for intensity-modulated radiation therapy dose distribution verification.用于调强放射治疗剂量分布验证的柯达EDR2胶片与Gafchromic EBT胶片的比较。
Med Dosim. 2006 Winter;31(4):273-82. doi: 10.1016/j.meddos.2006.06.001.
10
Experimental characterization and physical modelling of the dose distribution of scanned proton pencil beams.扫描质子笔形束剂量分布的实验表征与物理建模
Phys Med Biol. 2005 Feb 7;50(3):541-61. doi: 10.1088/0031-9155/50/3/011.