Suppr超能文献

利用定量荧光测量开发一种术中乳腺癌边界评估方法。

Development of an intraoperative breast cancer margin assessment method using quantitative fluorescence measurements.

机构信息

Ueo Breast Cancer Hospital, 1-3-5 Futamatamachi, Oita, 870-0887, Japan.

Department of Surgery and Sciences, Graduate School of Medical Sciences, Kyushu University, Fukuoka, 812-8582, Japan.

出版信息

Sci Rep. 2022 May 20;12(1):8520. doi: 10.1038/s41598-022-12614-6.

Abstract

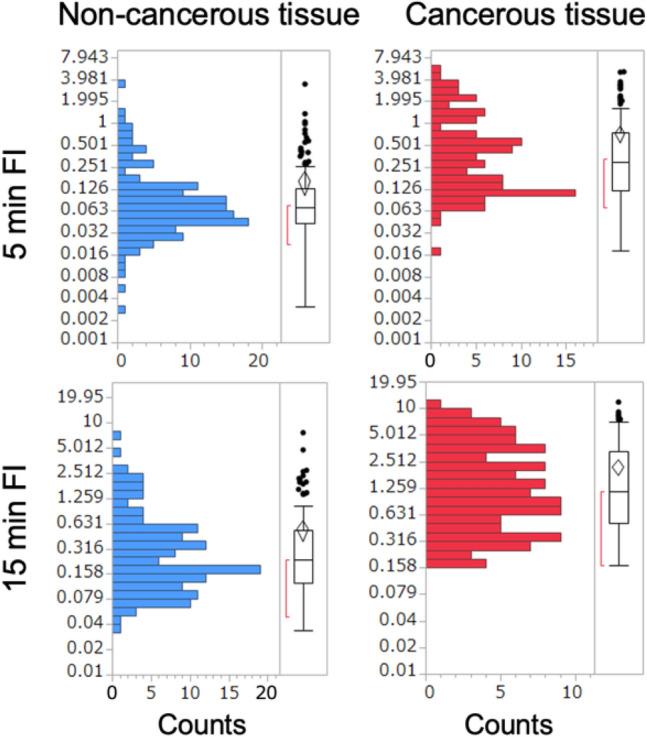
Breast-conserving surgery has become the preferred treatment method for breast cancer. Surgical margin assessment is performed during surgery, as it can reduce local recurrence in the preserved breast. Development of reliable and lower-cost ex vivo cancer detection methods would offer several benefits for patient care. Here, a practical and quantitative evaluation method for the ex vivo fluorescent diagnosis of breast lesions was developed and confirmed through a three-step clinical study. Gamma-glutamyl-hydroxymethyl rhodamine green (gGlu-HMRG) has been reported to generate fluorescence in breast lesions. Using this probe, we constructed a reliable and reproducible procedure for the quantitative evaluation of fluorescence levels. We evaluated the reliability of the method by considering reproducibility, temperature sensitivity, and the effects of other clinicopathological factors. The results suggest that the fluorescence increase of gGlu-HMRG is a good indicator of the malignancy of breast lesions. However, the distributions overlapped. A 5 min reaction with this probe could be used to distinguish at least part of the normal breast tissue. This method did not affect the final pathological examination. In summary, our results indicate that the methods developed in this study may serve as a feasible intraoperative negative-margin assessment tool during breast-conserving surgery.

摘要

保乳手术已成为乳腺癌的首选治疗方法。手术过程中进行手术切缘评估,因为它可以降低保留乳房的局部复发率。开发可靠且成本更低的离体癌症检测方法将为患者护理带来诸多益处。在这里,通过三步临床研究开发并证实了一种用于离体荧光诊断乳腺病变的实用和定量评估方法。γ-谷氨酰基-羟甲基罗丹明绿(gGlu-HMRG)已被报道在乳腺病变中产生荧光。使用该探针,我们构建了一种可靠且可重复的荧光水平定量评估程序。我们通过考虑重复性、温度敏感性以及其他临床病理因素来评估该方法的可靠性。结果表明,gGlu-HMRG 的荧光增加是乳腺病变恶性程度的良好指标。然而,分布有重叠。该探针的 5 分钟反应可用于区分至少部分正常乳腺组织。该方法不影响最终的病理检查。总之,我们的结果表明,本研究中开发的方法可以作为保乳手术中一种可行的术中阴性切缘评估工具。

https://cdn.ncbi.nlm.nih.gov/pmc/blobs/fa96/9122917/8b0191fbc3b4/41598_2022_12614_Fig1_HTML.jpg

文献AI研究员

20分钟写一篇综述,助力文献阅读效率提升50倍。

立即体验

用中文搜PubMed

大模型驱动的PubMed中文搜索引擎

马上搜索

文档翻译

学术文献翻译模型,支持多种主流文档格式。

立即体验