Suppr超能文献

不只是表面所见:在延迟满足任务中考察生理和行为调节。

More than meets the eye: Examining physiological and behavioral regulation during delay of gratification task.

机构信息

Department of General Pediatrics, Johns Hopkins School of Medicine, Baltimore, Maryland, USA.

Department of Population Family and Reproductive Health, Johns Hopkins Bloomberg School of Public Health, Baltimore, Maryland, USA.

出版信息

Dev Psychobiol. 2022 Jul;64(5):e22282. doi: 10.1002/dev.22282.

Abstract

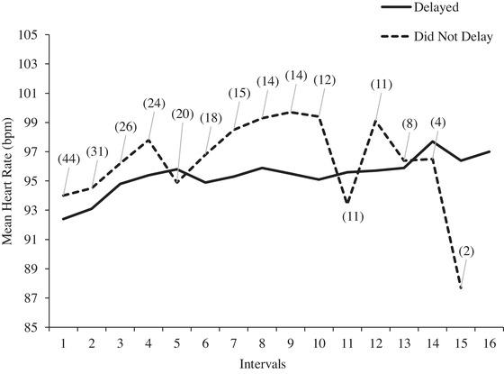
Children continually encounter situations where they must regulate impulsive responses to achieve a goal, requiring both self-control (SC) and delay of gratification. We examined concurrent behavioral SC strategies (fidgeting, vocalizations, anticipation) and physiological regulation (heart rate [HR], respiratory sinus arrhythmia [RSA]) in 126 children (M (SD) = 5.4 (0.29) years) during a standard delay of gratification task. Latent variable models derived latent SC classes and examined the moderating role of HR/RSA on SC and delay ability. Three classes of SC were identified: passive: low fidgeting and vocalizations, moderate anticipation; active: moderate fidgeting, low vocalizations, and high anticipation; and disruptive: moderate fidgeting, high vocalizations, and high anticipation. Children in the active class had the lowest odds of delaying full task time, compared to children in the passive (OR = 0.67, z = -5.25, p < .001) and disruptive classes (OR = 0.76, z = -2.03, p = .04). RSA changes during the task moderated the relationship between SC class and delay ability for children in the active class (aOR = 0.92, z = -3.1, p < .01). Within the group who struggled to delay gratification (active class), a subset exhibiting appropriate autonomic regulation was able to delay. The findings suggest probing congruency of observed behavioral and unobserved physiological regulation.

摘要

儿童在不断遇到需要调节冲动反应以实现目标的情况,这需要自我控制(SC)和延迟满足。我们在标准延迟满足任务中检查了 126 名儿童(M(SD)= 5.4(0.29)岁)的并发行为 SC 策略(坐立不安、发声、预期)和生理调节(心率[HR]、呼吸窦性心律失常[RSA])。潜在变量模型得出了潜在的 SC 类别,并研究了 HR/RSA 对 SC 和延迟能力的调节作用。确定了三种 SC 类别:被动:低坐立不安和发声,适度预期;主动:适度坐立不安,低发声和高预期;和破坏:中度坐立不安,高发声和高预期。与被动(OR = 0.67,z = -5.25,p <.001)和破坏类(OR = 0.76,z = -2.03,p = 0.04)相比,主动类儿童延迟完成整个任务的时间的可能性最低。任务期间 RSA 变化调节了 SC 类与主动类儿童延迟能力之间的关系(aOR = 0.92,z = -3.1,p <.01)。在努力延迟满足的群体(主动类)中,一组表现出适当的自主调节能力的人能够延迟。研究结果表明,需要探究观察到的行为和未观察到的生理调节的一致性。

https://cdn.ncbi.nlm.nih.gov/pmc/blobs/07cd/9545201/9072db4f5a47/DEV-64-0-g003.jpg

文献AI研究员

20分钟写一篇综述,助力文献阅读效率提升50倍。

立即体验

用中文搜PubMed

大模型驱动的PubMed中文搜索引擎

马上搜索

文档翻译

学术文献翻译模型,支持多种主流文档格式。

立即体验