• 文献检索
  • 文档翻译
  • 深度研究
  • 学术资讯
  • Suppr Zotero 插件Zotero 插件
  • 邀请有礼
  • 套餐&价格
  • 历史记录
应用&插件
Suppr Zotero 插件Zotero 插件浏览器插件Mac 客户端Windows 客户端微信小程序
定价
高级版会员购买积分包购买API积分包
服务
文献检索文档翻译深度研究API 文档MCP 服务
关于我们
关于 Suppr公司介绍联系我们用户协议隐私条款
关注我们

Suppr 超能文献

核心技术专利:CN118964589B侵权必究
粤ICP备2023148730 号-1Suppr @ 2026

文献检索

告别复杂PubMed语法,用中文像聊天一样搜索,搜遍4000万医学文献。AI智能推荐,让科研检索更轻松。

立即免费搜索

文件翻译

保留排版,准确专业,支持PDF/Word/PPT等文件格式,支持 12+语言互译。

免费翻译文档

深度研究

AI帮你快速写综述,25分钟生成高质量综述,智能提取关键信息,辅助科研写作。

立即免费体验

基于最优自适应神经模糊系统的生物信息学基因表达分类的特征子集选择。

Feature Subset Selection with Optimal Adaptive Neuro-Fuzzy Systems for Bioinformatics Gene Expression Classification.

机构信息

Department of Computer and Self Development, Preparatory Year Deanship, Prince Sattam Bin Abdulaziz University, AlKharj, Saudi Arabia.

Department of Industrial and Systems Engineering, College of Engineering, Princess Nourah Bint Abdulrahman University, P.O. Box 84428, Riyadh 11671, Saudi Arabia.

出版信息

Comput Intell Neurosci. 2022 May 14;2022:1698137. doi: 10.1155/2022/1698137. eCollection 2022.

DOI:10.1155/2022/1698137
PMID:35607459
原文链接:https://pmc.ncbi.nlm.nih.gov/articles/PMC9124108/
Abstract

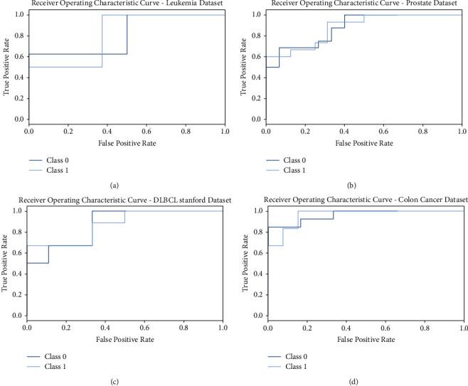
Recently, bioinformatics and computational biology-enabled applications such as gene expression analysis, cellular restoration, medical image processing, protein structure examination, and medical data classification utilize fuzzy systems in offering effective solutions and decisions. The latest developments of fuzzy systems with artificial intelligence techniques enable to design the effective microarray gene expression classification models. In this aspect, this study introduces a novel feature subset selection with optimal adaptive neuro-fuzzy inference system (FSS-OANFIS) for gene expression classification. The major aim of the FSS-OANFIS model is to detect and classify the gene expression data. To accomplish this, the FSS-OANFIS model designs an improved grey wolf optimizer-based feature selection (IGWO-FS) model to derive an optimal subset of features. Besides, the OANFIS model is employed for gene classification and the parameter tuning of the ANFIS model is adjusted by the use of coyote optimization algorithm (COA). The application of IGWO-FS and COA techniques helps in accomplishing enhanced microarray gene expression classification outcomes. The experimental validation of the FSS-OANFIS model has been performed using Leukemia, Prostate, DLBCL Stanford, and Colon Cancer datasets. The proposed FSS-OANFIS model has resulted in a maximum classification accuracy of 89.47%.

摘要

最近,生物信息学和计算生物学支持的应用,如基因表达分析、细胞修复、医学图像处理、蛋白质结构检查和医学数据分类,利用模糊系统提供有效的解决方案和决策。最新的模糊系统与人工智能技术的发展,使设计有效的微阵列基因表达分类模型成为可能。在这方面,本研究提出了一种新颖的特征子集选择与最优自适应神经模糊推理系统(FSS-OANFIS)用于基因表达分类。FSS-OANFIS 模型的主要目的是检测和分类基因表达数据。为了实现这一目标,FSS-OANFIS 模型设计了一种基于改进灰狼优化器的特征选择(IGWO-FS)模型来获得最佳的特征子集。此外,OANFIS 模型用于基因分类,并且使用郊狼优化算法(COA)调整 ANFIS 模型的参数调整。IGWO-FS 和 COA 技术的应用有助于实现增强的微阵列基因表达分类结果。使用白血病、前列腺癌、DLBCL 斯坦福和结肠癌数据集对 FSS-OANFIS 模型进行了实验验证。所提出的 FSS-OANFIS 模型实现了最高 89.47%的分类准确率。

https://cdn.ncbi.nlm.nih.gov/pmc/blobs/f9fd/9124108/5e66263cab63/CIN2022-1698137.010.jpg
https://cdn.ncbi.nlm.nih.gov/pmc/blobs/f9fd/9124108/2a849cc54732/CIN2022-1698137.001.jpg
https://cdn.ncbi.nlm.nih.gov/pmc/blobs/f9fd/9124108/0105e5c94471/CIN2022-1698137.002.jpg
https://cdn.ncbi.nlm.nih.gov/pmc/blobs/f9fd/9124108/3d341d9c4dd3/CIN2022-1698137.003.jpg
https://cdn.ncbi.nlm.nih.gov/pmc/blobs/f9fd/9124108/f58f3a325fa9/CIN2022-1698137.004.jpg
https://cdn.ncbi.nlm.nih.gov/pmc/blobs/f9fd/9124108/5d9af3e39800/CIN2022-1698137.005.jpg
https://cdn.ncbi.nlm.nih.gov/pmc/blobs/f9fd/9124108/f4e698525804/CIN2022-1698137.006.jpg
https://cdn.ncbi.nlm.nih.gov/pmc/blobs/f9fd/9124108/b0cc42141909/CIN2022-1698137.007.jpg
https://cdn.ncbi.nlm.nih.gov/pmc/blobs/f9fd/9124108/3eaf984fc9e5/CIN2022-1698137.008.jpg
https://cdn.ncbi.nlm.nih.gov/pmc/blobs/f9fd/9124108/62dbe59a6f2b/CIN2022-1698137.009.jpg
https://cdn.ncbi.nlm.nih.gov/pmc/blobs/f9fd/9124108/5e66263cab63/CIN2022-1698137.010.jpg
https://cdn.ncbi.nlm.nih.gov/pmc/blobs/f9fd/9124108/2a849cc54732/CIN2022-1698137.001.jpg
https://cdn.ncbi.nlm.nih.gov/pmc/blobs/f9fd/9124108/0105e5c94471/CIN2022-1698137.002.jpg
https://cdn.ncbi.nlm.nih.gov/pmc/blobs/f9fd/9124108/3d341d9c4dd3/CIN2022-1698137.003.jpg
https://cdn.ncbi.nlm.nih.gov/pmc/blobs/f9fd/9124108/f58f3a325fa9/CIN2022-1698137.004.jpg
https://cdn.ncbi.nlm.nih.gov/pmc/blobs/f9fd/9124108/5d9af3e39800/CIN2022-1698137.005.jpg
https://cdn.ncbi.nlm.nih.gov/pmc/blobs/f9fd/9124108/f4e698525804/CIN2022-1698137.006.jpg
https://cdn.ncbi.nlm.nih.gov/pmc/blobs/f9fd/9124108/b0cc42141909/CIN2022-1698137.007.jpg
https://cdn.ncbi.nlm.nih.gov/pmc/blobs/f9fd/9124108/3eaf984fc9e5/CIN2022-1698137.008.jpg
https://cdn.ncbi.nlm.nih.gov/pmc/blobs/f9fd/9124108/62dbe59a6f2b/CIN2022-1698137.009.jpg
https://cdn.ncbi.nlm.nih.gov/pmc/blobs/f9fd/9124108/5e66263cab63/CIN2022-1698137.010.jpg

相似文献

1
Feature Subset Selection with Optimal Adaptive Neuro-Fuzzy Systems for Bioinformatics Gene Expression Classification.基于最优自适应神经模糊系统的生物信息学基因表达分类的特征子集选择。
Comput Intell Neurosci. 2022 May 14;2022:1698137. doi: 10.1155/2022/1698137. eCollection 2022.
2
Optimizing ANFIS using simulated annealing algorithm for classification of microarray gene expression cancer data.使用模拟退火算法优化自适应神经模糊推理系统进行微阵列基因表达癌症数据分类。
Med Biol Eng Comput. 2021 Mar;59(3):497-509. doi: 10.1007/s11517-021-02331-z. Epub 2021 Feb 5.
3
Performance evaluation of artificial intelligence paradigms-artificial neural networks, fuzzy logic, and adaptive neuro-fuzzy inference system for flood prediction.人工智能范式的性能评估——人工神经网络、模糊逻辑和自适应神经模糊推理系统在洪水预测中的应用。
Environ Sci Pollut Res Int. 2021 May;28(20):25265-25282. doi: 10.1007/s11356-021-12410-1. Epub 2021 Jan 16.
4
Fuzzy support vector machine: an efficient rule-based classification technique for microarrays.模糊支持向量机:一种用于微阵列的基于规则的高效分类技术。
BMC Bioinformatics. 2013;14 Suppl 13(Suppl 13):S4. doi: 10.1186/1471-2105-14-S13-S4. Epub 2013 Oct 1.
5
Adaptive neuro-fuzzy inference system for classification of EEG signals using wavelet coefficients.基于小波系数的自适应神经模糊推理系统用于脑电信号分类
J Neurosci Methods. 2005 Oct 30;148(2):113-21. doi: 10.1016/j.jneumeth.2005.04.013. Epub 2005 Jul 28.
6
Statistical geometry based prediction of nonsynonymous SNP functional effects using random forest and neuro-fuzzy classifiers.基于统计几何学,使用随机森林和神经模糊分类器预测非同义单核苷酸多态性的功能效应
Proteins. 2008 Jun;71(4):1930-9. doi: 10.1002/prot.21838.
7
A Quantum Hybrid PSO Combined with Fuzzy k-NN Approach to Feature Selection and Cell Classification in Cervical Cancer Detection.量子混合粒子群算法与模糊 k-最近邻方法在宫颈癌检测中的特征选择和细胞分类。
Sensors (Basel). 2017 Dec 19;17(12):2935. doi: 10.3390/s17122935.
8
Application of adaptive neuro-fuzzy inference system for epileptic seizure detection using wavelet feature extraction.基于小波特征提取的自适应神经模糊推理系统在癫痫发作检测中的应用。
Comput Biol Med. 2007 Feb;37(2):227-44. doi: 10.1016/j.compbiomed.2005.12.003. Epub 2006 Feb 9.
9
A neuro-fuzzy inference system through integration of fuzzy logic and extreme learning machines.一种通过整合模糊逻辑和极限学习机构建的神经模糊推理系统。
IEEE Trans Syst Man Cybern B Cybern. 2007 Oct;37(5):1321-31. doi: 10.1109/tsmcb.2007.901375.
10
Evaluation of a new neutron energy spectrum unfolding code based on an Adaptive Neuro-Fuzzy Inference System (ANFIS).基于自适应神经模糊推理系统(ANFIS)的一种新型中子能谱展开代码的评估。
J Radiat Res. 2018 Jul 1;59(4):436-441. doi: 10.1093/jrr/rrx087.

引用本文的文献

1
Identification of Food-Derived Electrophilic Chalcones as Nrf2 Activators Using Comprehensive Virtual Screening Techniques.运用综合虚拟筛选技术鉴定食品来源的亲电查尔酮作为Nrf2激活剂
Antioxidants (Basel). 2025 Apr 30;14(5):546. doi: 10.3390/antiox14050546.

本文引用的文献

1
Improved deep convolutional neural networks using chimp optimization algorithm for Covid19 diagnosis from the X-ray images.使用黑猩猩优化算法改进深度卷积神经网络用于从X射线图像诊断新冠病毒。
Expert Syst Appl. 2023 Mar 1;213:119206. doi: 10.1016/j.eswa.2022.119206. Epub 2022 Nov 4.
2
Gene selection for microarray data classification via multi-objective graph theoretic-based method.基于多目标图论方法的微阵列数据分类基因选择
Artif Intell Med. 2022 Jan;123:102228. doi: 10.1016/j.artmed.2021.102228. Epub 2021 Dec 3.
3
A Microarray Analysis Technique Using a Self-Organizing Multiagent Approach.
一种使用自组织多智能体方法的微阵列分析技术。
Methods Mol Biol. 2022;2401:39-50. doi: 10.1007/978-1-0716-1839-4_4.
4
Feature selection methods on gene expression microarray data for cancer classification: A systematic review.用于癌症分类的基因表达微阵列数据特征选择方法:一项系统综述。
Comput Biol Med. 2022 Jan;140:105051. doi: 10.1016/j.compbiomed.2021.105051. Epub 2021 Nov 23.
5
Gene Expression-Assisted Cancer Prediction Techniques.基于基因表达的癌症预测技术。
J Healthc Eng. 2021 Aug 19;2021:4242646. doi: 10.1155/2021/4242646. eCollection 2021.
6
Classification of breast cancer using microarray gene expression data: A survey.利用微阵列基因表达数据对乳腺癌进行分类:一项综述。
J Biomed Inform. 2021 May;117:103764. doi: 10.1016/j.jbi.2021.103764. Epub 2021 Apr 6.
7
A comparative study of machine learning and deep learning algorithms to classify cancer types based on microarray gene expression data.基于微阵列基因表达数据对癌症类型进行分类的机器学习和深度学习算法的比较研究。
PeerJ Comput Sci. 2020 Apr 13;6:e270. doi: 10.7717/peerj-cs.270. eCollection 2020.
8
Machine learning integrated ensemble of feature selection methods followed by survival analysis for predicting breast cancer subtype specific miRNA biomarkers.机器学习集成特征选择方法的集合,然后进行生存分析,以预测乳腺癌亚型特异性 miRNA 生物标志物。
Comput Biol Med. 2021 Apr;131:104244. doi: 10.1016/j.compbiomed.2021.104244. Epub 2021 Jan 28.
9
Machine learning integration of scleroderma histology and gene expression identifies fibroblast polarisation as a hallmark of clinical severity and improvement.机器学习整合硬皮病组织学和基因表达,鉴定出成纤维细胞极化是临床严重程度和改善的标志。
Ann Rheum Dis. 2021 Feb;80(2):228-237. doi: 10.1136/annrheumdis-2020-217840. Epub 2020 Oct 7.
10
Machine learning: A powerful tool for gene function prediction in plants.机器学习:植物基因功能预测的强大工具。
Appl Plant Sci. 2020 Jul 28;8(7):e11376. doi: 10.1002/aps3.11376. eCollection 2020 Jul.