Suppr超能文献

通过基于新型儿茶酚-壳聚糖生物聚合物封装体的钻井泥浆实现井筒稳定性

Wellbore Stability through Novel Catechol-Chitosan Biopolymer Encapsulator-Based Drilling Mud.

作者信息

Tang Zhichuan, Qiu Zhengsong, Zhong Hanyi, Kang Yujie, Guo Baoyu

机构信息

School of Petroleum Engineering, China University of Petroleum (East China), No. 66 Changjiang West Road, Economic & Technical Development Zone, Qingdao 266580, China.

Drilling Technology Research Institute, Shengli Petroleum Engineering Corporation Limited of SINOPEC, Donying 257064, China.

出版信息

Gels. 2022 May 16;8(5):307. doi: 10.3390/gels8050307.

Abstract

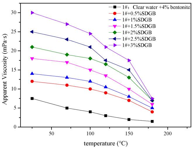
The problem of wellbore stability has a marked impact on oil and gas exploration and development in the process of drilling. Marine mussel proteins can adhere and encapsulate firmly on deep-water rocks, providing inspiration for solving borehole stability problem and this ability comes from catechol groups. In this paper, a novel biopolymer was synthesized with chitosan and catechol (named "SDGB") by Schiff base-reduction reaction, was developed as an encapsulator in water-based drilling fluids (WBDF). In addition, the chemical enhancing wellbore stability performance of different encapsulators were investigated and compared. The results showed that there were aromatic ring structure, amines, and catechol groups in catechol-chitosan biopolymer molecule. The high shale recovery rate demonstrated its strong shale inhibition performance. The rock treated by catechol-chitosan biopolymer had higher tension shear strength and uniaxial compression strength than others, which indicates that it can effectively strengthen the rock and bind loose minerals in micro-pore and micro-fracture of rock samples. The rheological and filtration property of the WBDF containing catechol-chitosan biopolymer is stable before and after 130 °C/16 h hot rolling, demonstrating its good compatibility with other WBDF agents. Moreover, SDGB could chelate with metal ions, forming a stable covalent bond, which plays an important role in adhesiveness, inhibition, and blockage.

摘要

在钻井过程中,井筒稳定性问题对油气勘探与开发有着显著影响。海洋贻贝蛋白能够牢固地附着并包裹在深水岩石上,为解决井壁稳定性问题提供了灵感,而这种能力源于儿茶酚基团。本文通过席夫碱还原反应,用壳聚糖和儿茶酚合成了一种新型生物聚合物(命名为“SDGB”),并将其开发为水基钻井液(WBDF)中的一种包封剂。此外,还对不同包封剂增强井筒稳定性的化学性能进行了研究和比较。结果表明,儿茶酚 - 壳聚糖生物聚合物分子中存在芳环结构、胺基和儿茶酚基团。高页岩回收率表明其具有很强的页岩抑制性能。经儿茶酚 - 壳聚糖生物聚合物处理的岩石比其他岩石具有更高的抗张剪切强度和单轴抗压强度,这表明它可以有效强化岩石并结合岩石样品微孔和微裂缝中的松散矿物。含有儿茶酚 - 壳聚糖生物聚合物的水基钻井液在130℃/16h热滚前后的流变性能和过滤性能稳定,表明其与其他水基钻井液处理剂具有良好的相容性。此外,SDGB能与金属离子螯合,形成稳定的共价键,这在粘附性、抑制性和封堵性方面发挥着重要作用。

https://cdn.ncbi.nlm.nih.gov/pmc/blobs/85ff/9141550/a1c15cf08de6/gels-08-00307-g001.jpg

文献AI研究员

20分钟写一篇综述,助力文献阅读效率提升50倍。

立即体验

用中文搜PubMed

大模型驱动的PubMed中文搜索引擎

马上搜索

文档翻译

学术文献翻译模型,支持多种主流文档格式。

立即体验