van der Linde Margrietha, van Leeuwen Nikki, Eijkenaar Frank, Rijneveld Anita W, Pieters Rob, Karim-Kos Henrike E
Department of Public Health, Center for Medical Decision Making, Erasmus University Medical Center, 3015 GD Rotterdam, The Netherlands.
Erasmus School of Health Policy and Management, Erasmus University Rotterdam, 3062 PA Rotterdam, The Netherlands.
Cancers (Basel). 2022 May 16;14(10):2451. doi: 10.3390/cancers14102451.
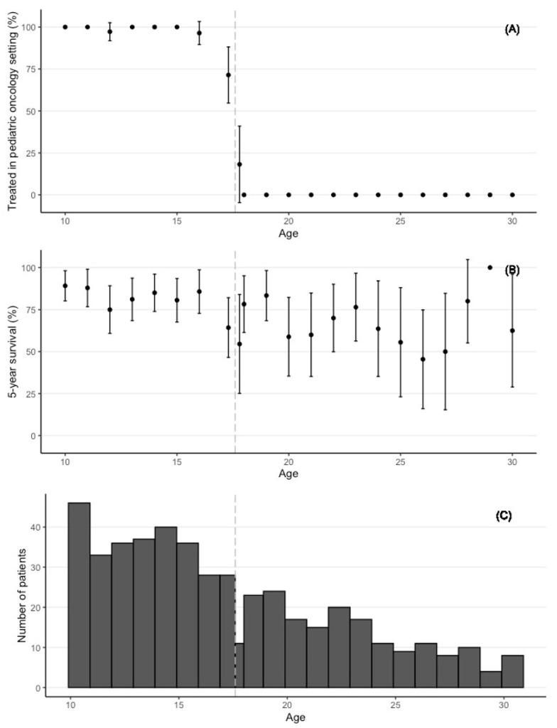
Survival rates of adolescents and young adults (AYAs) with acute lymphoblastic leukemia (ALL) are inferior to those of pediatric ALL patients. In part, this may be caused by differences in treatment setting. Generally, children are treated in specialized pediatric hemato-oncology settings, whereas AYAs are treated in adult hemato-oncology settings. Since 2005, adult treatment protocols have included pediatric-inspired chemotherapy, which has been the standard of care for AYAs from 2008 onwards. This study aims to assess whether, despite protocols in both settings having become more similar, there remains an effect of treatment in specialized pediatric hemato-oncology settings on 5-year survival for ALL patients in the Netherlands. We used nationwide registry data (2004-2013) on 472 ALL patients aged between 10 and 30 years old. A fuzzy regression discontinuity design was applied to estimate the treatment effect using two-stage least squares regression with the treatment threshold at 17 years and 7 months of age, adjusting for sex, age at diagnosis, and immunophenotype. We found a risk difference of 0.419 ( = 0.092; 95% CI = -0.0686; 0.907), meaning a 41.9 percentage point greater probability of surviving five years after diagnosis for ALL patients treated in specialized pediatric hemato-oncology settings. Our results suggest that ALL patients around the threshold could benefit from increased collaboration between pediatric and adult hemato-oncology in terms of survival.
急性淋巴细胞白血病(ALL)青少年和青年患者(AYAs)的生存率低于小儿ALL患者。部分原因可能是治疗环境的差异。一般来说,儿童在专门的儿科血液肿瘤科室接受治疗,而AYAs则在成人血液肿瘤科室接受治疗。自2005年以来,成人治疗方案纳入了受儿科启发的化疗,自2008年起这已成为AYAs的标准治疗方案。本研究旨在评估,尽管两种环境下的治疗方案已变得更加相似,但荷兰专门的儿科血液肿瘤科室的治疗对ALL患者5年生存率是否仍有影响。我们使用了全国登记数据(2004 - 2013年),涉及472名年龄在10至30岁之间的ALL患者。应用模糊回归断点设计,采用两阶段最小二乘法回归估计治疗效果,治疗阈值设定为17岁7个月,同时对性别、诊断时年龄和免疫表型进行调整。我们发现风险差异为0.419( = 0.092;95%置信区间 = -0.0686;0.907),这意味着在专门的儿科血液肿瘤科室接受治疗的ALL患者诊断后存活五年的概率要高出41.9个百分点。我们的结果表明,临界值附近的ALL患者在生存方面可能会受益于儿科和成人血液肿瘤科室之间加强合作。