Shin Dong Woo, Park Jaewon, Lee Jong-Chan, Kim Jaihwan, Kim Young Hoon, Hwang Jin-Hyeok
Department of Internal Medicine, Hallym University College of Medicine, Hallym University Sacred Heart Hospital, Anyang 14068, Korea.
Department of Internal Medicine, Seoul National University College of Medicine, Seoul National University Bundang Hospital, Seongnam 13620, Korea.
Cancers (Basel). 2022 May 18;14(10):2476. doi: 10.3390/cancers14102476.
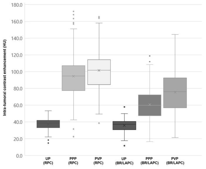
Background/Aim: This study investigated the predictive ability of intra-tumor enhancement on computed tomography (CT) for the outcomes of patients with pancreatic ductal adenocarcinoma (PDA). Methods: Multi-phase, contrast-enhanced CT (including unenhanced, pancreatic parenchymal phase (PPP) and portal venous phase (PVP)) images of patients diagnosed with non-metastatic PDA were analyzed to investigate prognostic factors. Results: Two hundred ninety-eight patients with PDA (159 with resectable pancreatic cancer (RPC) and 139 with borderline resectable pancreatic cancer (BRPC)/locally advanced pancreatic cancer (LAPC)) were included. The attenuation values of PDA during the PPP (94.5 vs. 60.7 HU; p <0.001) and PVP (101.5 vs. 75.5 HU; p <0.001) were higher in patients with RPC than in those with BRPC/LAPC. Well-enhanced PDA during the PPP was associated with longer overall survival in the RPC group (27.9 vs. 15.4 months; p <0.001) and the BRPC/LAPC group (22.7 vs. 13.6 months; p = 0.024). Patients with BRPC/LAPC who underwent neoadjuvant treatment and had well-enhanced PDA during the PPP were more likely to undergo resection. Although tumor size was also an independent prognostic factor, it was not correlated with intra-tumoral enhancement during the PPP. Conclusions: Intra-tumoral contrast enhancement on CT is an independent prognostic factor in patients with non-metastatic PDA.
背景/目的:本研究调查了计算机断层扫描(CT)上肿瘤内强化对胰腺导管腺癌(PDA)患者预后的预测能力。方法:分析经诊断为非转移性PDA患者的多期、对比增强CT图像(包括平扫、胰腺实质期(PPP)和门静脉期(PVP)),以研究预后因素。结果:纳入298例PDA患者(159例可切除胰腺癌(RPC)和139例临界可切除胰腺癌(BRPC)/局部晚期胰腺癌(LAPC))。RPC患者PDA在PPP(94.5 vs. 60.7 HU;p<0.001)和PVP(101.5 vs. 75.5 HU;p<0.001)时的衰减值高于BRPC/LAPC患者。PPP期间强化良好的PDA与RPC组(27.9 vs. 15.4个月;p<0.001)和BRPC/LAPC组(22.7 vs. 13.6个月;p = 0.024)更长的总生存期相关。接受新辅助治疗且PPP期间PDA强化良好的BRPC/LAPC患者更有可能接受手术切除。尽管肿瘤大小也是一个独立的预后因素,但它与PPP期间肿瘤内强化无关。结论:CT上肿瘤内对比增强是非转移性PDA患者的独立预后因素。