• 文献检索
  • 文档翻译
  • 深度研究
  • 学术资讯
  • Suppr Zotero 插件Zotero 插件
  • 邀请有礼
  • 套餐&价格
  • 历史记录
应用&插件
Suppr Zotero 插件Zotero 插件浏览器插件Mac 客户端Windows 客户端微信小程序
定价
高级版会员购买积分包购买API积分包
服务
文献检索文档翻译深度研究API 文档MCP 服务
关于我们
关于 Suppr公司介绍联系我们用户协议隐私条款
关注我们

Suppr 超能文献

核心技术专利:CN118964589B侵权必究
粤ICP备2023148730 号-1Suppr @ 2026

文献检索

告别复杂PubMed语法,用中文像聊天一样搜索,搜遍4000万医学文献。AI智能推荐,让科研检索更轻松。

立即免费搜索

文件翻译

保留排版,准确专业,支持PDF/Word/PPT等文件格式,支持 12+语言互译。

免费翻译文档

深度研究

AI帮你快速写综述,25分钟生成高质量综述,智能提取关键信息,辅助科研写作。

立即免费体验

健康 7-10 岁儿童最大呼吸压力值的标准参考值和百分位数。

Standard reference and percentiles of maximum respiratory pressures values of healthy children aged 7-10 years.

机构信息

Universidade do Estado de Santa Catarina, Florianópolis, SC, Brazil.

Universidade Estadual de Campinas, Campinas, SP, Brazil.

出版信息

Rev Paul Pediatr. 2022 May 27;40:e2021007. doi: 10.1590/1984-0462/2022/40/2021007IN. eCollection 2022.

DOI:10.1590/1984-0462/2022/40/2021007IN
PMID:35648985
原文链接:https://pmc.ncbi.nlm.nih.gov/articles/PMC9150902/
Abstract

OBJECTIVE

This study aims to present standard reference for values of maximum respiratory pressures of healthy schoolchildren, according to gender.

METHODS

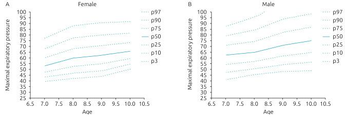
This is a cross-sectional study involving healthy children aged 7-10 years. Data of body mass and height were evaluated to calculate body mass index (BMI). In addition, forced expiratory volume in 1 second (FEV1) and maximal expiratory pressure values were evaluated according to the American Thoracic Society. The maximal inspiratory pressure (MIP) and data of maximal expiratory pressure (MEP) obtained in the study showed normal distribution and curves were built by the Lambda-Mu-Sigma (LMS) method, as well as the values of MIP and MEP percentiles 3, 10, 25, 50, 75, 90, and 97 for each gender.

RESULTS

MIP and MEP data were collected from 399 schoolchildren. All schoolchildren in the sample had adequate FEV1 and BMI. The study showed an increase in respiratory pressure values with age progression. The MIP and MEP values of girls were of 53.4±11.0 and 61.8±12.5cmH2O, respectively, and those of boys were 59.9±13.6 and 69.6±15.7cmH2O, respectively.

CONCLUSIONS

Normal curves and percentiles were developed for MIP and MEP values of healthy schoolchildren. The extreme percentiles (3rd and 97th) were determined, and a specific graph was elaborated for each group. These graphs may help clinical follow-up and therapeutic monitoring of different pediatric populations.

摘要

目的

本研究旨在根据性别为健康学龄儿童的最大呼吸压力值提供标准参考。

方法

这是一项涉及 7-10 岁健康儿童的横断面研究。评估体重和身高数据以计算体重指数(BMI)。此外,根据美国胸科学会评估 1 秒用力呼气量(FEV1)和最大呼气压力值。研究中获得的最大吸气压力(MIP)和最大呼气压力(MEP)数据呈正态分布,并通过 Lambda-Mu-Sigma(LMS)方法构建曲线,以及每个性别 MIP 和 MEP 的第 3、10、25、50、75、90 和 97 百分位数的值。

结果

从 399 名学童中收集了 MIP 和 MEP 数据。样本中的所有学童都有足够的 FEV1 和 BMI。研究表明呼吸压力值随年龄增长而增加。女孩的 MIP 和 MEP 值分别为 53.4±11.0 和 61.8±12.5cmH2O,男孩分别为 59.9±13.6 和 69.6±15.7cmH2O。

结论

为健康学龄儿童的 MIP 和 MEP 值制定了正态曲线和百分位数。确定了极值(第 3 和第 97 百分位数),并为每个组专门制作了一个图表。这些图表可能有助于不同儿科人群的临床随访和治疗监测。

https://cdn.ncbi.nlm.nih.gov/pmc/blobs/2f0d/9150902/a8ad2d6e0782/1984-0462-rpp-40-e2021007-gf03.jpg
https://cdn.ncbi.nlm.nih.gov/pmc/blobs/2f0d/9150902/28a0b66907c1/1984-0462-rpp-40-e2021007-gf01.jpg
https://cdn.ncbi.nlm.nih.gov/pmc/blobs/2f0d/9150902/7537aca880ed/1984-0462-rpp-40-e2021007-gf02.jpg
https://cdn.ncbi.nlm.nih.gov/pmc/blobs/2f0d/9150902/a8ad2d6e0782/1984-0462-rpp-40-e2021007-gf03.jpg
https://cdn.ncbi.nlm.nih.gov/pmc/blobs/2f0d/9150902/28a0b66907c1/1984-0462-rpp-40-e2021007-gf01.jpg
https://cdn.ncbi.nlm.nih.gov/pmc/blobs/2f0d/9150902/7537aca880ed/1984-0462-rpp-40-e2021007-gf02.jpg
https://cdn.ncbi.nlm.nih.gov/pmc/blobs/2f0d/9150902/a8ad2d6e0782/1984-0462-rpp-40-e2021007-gf03.jpg

相似文献

1
Standard reference and percentiles of maximum respiratory pressures values of healthy children aged 7-10 years.健康 7-10 岁儿童最大呼吸压力值的标准参考值和百分位数。
Rev Paul Pediatr. 2022 May 27;40:e2021007. doi: 10.1590/1984-0462/2022/40/2021007IN. eCollection 2022.
2
Maximal Static Respiratory and Sniff Pressures in Healthy Children. A Systematic Review and Meta-Analysis.健康儿童的最大静态呼吸和嗅探压力。系统评价和荟萃分析。
Ann Am Thorac Soc. 2019 Apr;16(4):478-487. doi: 10.1513/AnnalsATS.201808-506OC.
3
Predictive equations for maximal respiratory pressures of children aged 7-10.预测 7-10 岁儿童最大呼吸压力的方程。
Braz J Phys Ther. 2017 Jan-Feb;21(1):30-36. doi: 10.1016/j.bjpt.2016.04.002. Epub 2017 Jan 14.
4
Reference values of sniff nasal inspiratory pressure in healthy children.健康儿童嗅吸鼻吸气压力的参考值。
Pediatr Pulmonol. 2020 Feb;55(2):496-502. doi: 10.1002/ppul.24591. Epub 2019 Nov 29.
5
Maximal respiratory pressure reference values for Navajo children ages 6-14.6-14 岁美国纳瓦霍族儿童最大呼吸压力参考值
Pediatr Pulmonol. 2013 Aug;48(8):804-8. doi: 10.1002/ppul.22645. Epub 2013 May 9.
6
Assessment of respiratory muscle strength in children according to the classification of body mass index.根据体重指数分类评估儿童呼吸肌力量
Rev Paul Pediatr. 2014 Jun;32(2):250-5. doi: 10.1590/0103-0582201432210313.
7
Utility of maximum inspiratory and expiratory pressures as a screening method for respiratory insufficiency in slowly progressive neuromuscular disorders.最大吸气和呼气压力作为一种筛选方法,用于检测缓慢进展性神经肌肉疾病中的呼吸功能不全。
Neuromuscul Disord. 2020 Aug;30(8):640-648. doi: 10.1016/j.nmd.2020.06.009. Epub 2020 Jun 25.
8
Normal values for maximal respiratory pressures in children and adolescents: A systematic review with meta-analysis.儿童和青少年最大呼吸压力的正常值:系统评价与荟萃分析。
Braz J Phys Ther. 2024 Jan-Feb;28(1):100587. doi: 10.1016/j.bjpt.2023.100587. Epub 2023 Dec 29.
9
Maximal Respiratory Pressures and Maximum Voluntary Ventilation in Young Arabs: Association with Anthropometrics and Physical Activity.年轻阿拉伯人的最大呼吸压力和最大自主通气量:与人体测量学和身体活动的关联。
J Multidiscip Healthc. 2021 Oct 14;14:2923-2930. doi: 10.2147/JMDH.S333710. eCollection 2021.
10
Respiratory muscular strength in children with mucopolysacaridosis: comparison with predictive equations.儿童黏多糖贮积症的呼吸肌肉力量:与预测方程的比较。
Minerva Pediatr (Torino). 2024 Aug;76(4):507-516. doi: 10.23736/S2724-5276.21.06144-9.

本文引用的文献

1
Evaluation of Respiratory Muscular Strength Compared to Predicted Values in Patients with Stroke.评估脑卒中患者的呼吸肌力量与预测值的比较。
Int J Environ Res Public Health. 2020 Feb 9;17(3):1091. doi: 10.3390/ijerph17031091.
2
ERS statement on respiratory muscle testing at rest and during exercise.ERS 关于在休息和运动时进行呼吸肌测试的声明。
Eur Respir J. 2019 Jun 13;53(6). doi: 10.1183/13993003.01214-2018. Print 2019 Jun.
3
Respiratory muscle training for cystic fibrosis.囊性纤维化的呼吸肌训练
Cochrane Database Syst Rev. 2018 May 24;5(5):CD006112. doi: 10.1002/14651858.CD006112.pub4.
4
Reference Values for Respiratory Muscle Strength in Children and Adolescents.儿童和青少年呼吸肌力量的参考值。
Respiration. 2018;95(4):235-243. doi: 10.1159/000485464. Epub 2018 Jan 17.
5
Physical exercise training for cystic fibrosis.囊性纤维化的体育锻炼训练
Cochrane Database Syst Rev. 2017 Nov 1;11(11):CD002768. doi: 10.1002/14651858.CD002768.pub4.
6
Predictive equations for maximal respiratory pressures of children aged 7-10.预测 7-10 岁儿童最大呼吸压力的方程。
Braz J Phys Ther. 2017 Jan-Feb;21(1):30-36. doi: 10.1016/j.bjpt.2016.04.002. Epub 2017 Jan 14.
7
Muscle Strength and Fitness in Pediatric Obesity: a Systematic Review from the European Childhood Obesity Group.儿童肥胖中的肌肉力量与体能:欧洲儿童肥胖研究组的系统评价
Obes Facts. 2016;9(1):52-63. doi: 10.1159/000443687. Epub 2016 Feb 23.
8
Inspiratory Muscle Strength and Endurance in Children and Adolescents with Cystic Fibrosis.患有囊性纤维化的儿童和青少年的吸气肌力量与耐力
Respir Care. 2016 Feb;61(2):184-91. doi: 10.4187/respcare.04231. Epub 2015 Nov 24.
9
The value of respiratory muscle testing in a child with congenital muscular dystrophy.先天性肌营养不良患儿呼吸肌测试的价值。
Respirol Case Rep. 2014 Sep;2(3):95-8. doi: 10.1002/rcr2.61. Epub 2014 Jun 30.
10
Assessment of respiratory muscle strength in children according to the classification of body mass index.根据体重指数分类评估儿童呼吸肌力量
Rev Paul Pediatr. 2014 Jun;32(2):250-5. doi: 10.1590/0103-0582201432210313.