• 文献检索
  • 文档翻译
  • 深度研究
  • 学术资讯
  • Suppr Zotero 插件Zotero 插件
  • 邀请有礼
  • 套餐&价格
  • 历史记录
应用&插件
Suppr Zotero 插件Zotero 插件浏览器插件Mac 客户端Windows 客户端微信小程序
定价
高级版会员购买积分包购买API积分包
服务
文献检索文档翻译深度研究API 文档MCP 服务
关于我们
关于 Suppr公司介绍联系我们用户协议隐私条款
关注我们

Suppr 超能文献

核心技术专利:CN118964589B侵权必究
粤ICP备2023148730 号-1Suppr @ 2026

文献检索

告别复杂PubMed语法,用中文像聊天一样搜索,搜遍4000万医学文献。AI智能推荐,让科研检索更轻松。

立即免费搜索

文件翻译

保留排版,准确专业,支持PDF/Word/PPT等文件格式,支持 12+语言互译。

免费翻译文档

深度研究

AI帮你快速写综述,25分钟生成高质量综述,智能提取关键信息,辅助科研写作。

立即免费体验

客体诱导的非晶态到晶态转变能够以近乎完美的选择性对卤代烷异构体进行分离。

Guest-induced amorphous-to-crystalline transformation enables sorting of haloalkane isomers with near-perfect selectivity.

作者信息

Wu Jia-Rui, Wu Gengxin, Li Dongxia, Dai Dihua, Yang Ying-Wei

机构信息

International Joint Research Laboratory of Nano-Micro Architecture Chemistry, College of Chemistry, Jilin University, 2699 Qianjin Street, Changchun 130012, P. R. China.

Key Laboratory of Automobile Materials of Ministry of Education and School of Materials Science and Engineering, Jilin University, 5988 Renmin Street, Changchun 130025, P. R. China.

出版信息

Sci Adv. 2022 Jun 3;8(22):eabo2255. doi: 10.1126/sciadv.abo2255.

DOI:10.1126/sciadv.abo2255
PMID:35658045
原文链接:https://pmc.ncbi.nlm.nih.gov/articles/PMC9166396/
Abstract

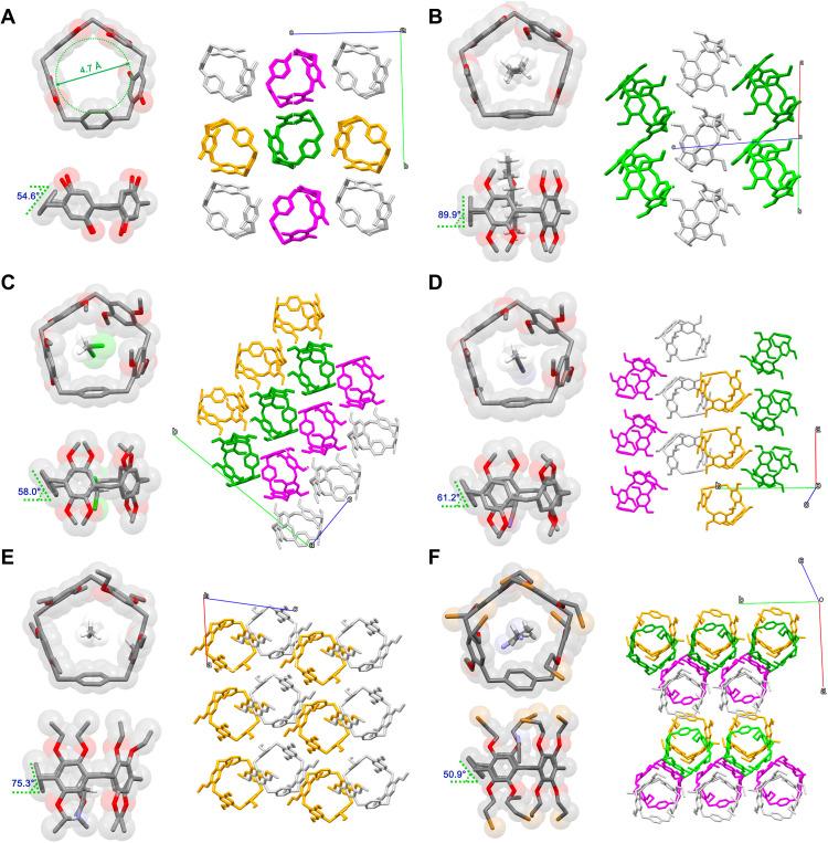
The separation of haloalkane isomers with distillation-free strategies is one of the most challenging research topics in fundamental research and also gave high guiding values to practical industrial applications. Here, this contribution provides a previously unidentified solid supramolecular adsorption material based on a leggero pillararene derivative , which can separate 1-/2-bromoalkane isomers with near-ideal selectivity. Activated solids of with interesting amorphous and nonporous features could adsorb 1-bromopropane and 1-bromobutane from the corresponding equal volume mixtures of 1-/2-positional isomers with purities of 98.1 and 99.0%, respectively. Single-crystal structures incorporating theoretical calculation reveal that the high selectivity originates from the higher thermostability of 1-bromoalkane-loaded structures compared to its corresponding isomer-loaded structures, which could be further attributed to the perfect size/shape match between and 1-bromoalkanes. Moreover, control experiments using its counterpart macrocycle of traditional pillararene demonstrate that has better adsorptive selectivity, benefiting from the intrinsic free-rotation phenylene subunit on its backbone.

摘要

采用无蒸馏策略分离卤代烷异构体是基础研究中最具挑战性的研究课题之一,对实际工业应用也具有很高的指导价值。在此,本文报道了一种基于轻柱芳烃衍生物的新型固体超分子吸附材料,该材料能够以近乎理想的选择性分离1-/2-溴代烷异构体。具有有趣的无定形和无孔特征的活化固体能够从相应等体积的1-/2-位置异构体混合物中吸附1-溴丙烷和1-溴丁烷,纯度分别为98.1%和99.0%。结合理论计算的单晶结构表明,高选择性源于负载1-溴代烷的结构比其相应的负载异构体的结构具有更高的热稳定性,这可进一步归因于[具体物质]与1-溴代烷之间完美的尺寸/形状匹配。此外,使用传统柱芳烃的对应大环进行的对照实验表明,[具体物质]具有更好的吸附选择性,这得益于其主链上固有的自由旋转亚苯基单元。

https://cdn.ncbi.nlm.nih.gov/pmc/blobs/f8d1/9166396/942f5c7b5b70/sciadv.abo2255-f7.jpg
https://cdn.ncbi.nlm.nih.gov/pmc/blobs/f8d1/9166396/2c3133eb8da7/sciadv.abo2255-f1.jpg
https://cdn.ncbi.nlm.nih.gov/pmc/blobs/f8d1/9166396/93806c014132/sciadv.abo2255-f2.jpg
https://cdn.ncbi.nlm.nih.gov/pmc/blobs/f8d1/9166396/c62c2f81a779/sciadv.abo2255-f3.jpg
https://cdn.ncbi.nlm.nih.gov/pmc/blobs/f8d1/9166396/3a834b4ce8b3/sciadv.abo2255-f4.jpg
https://cdn.ncbi.nlm.nih.gov/pmc/blobs/f8d1/9166396/af5283cba99d/sciadv.abo2255-f5.jpg
https://cdn.ncbi.nlm.nih.gov/pmc/blobs/f8d1/9166396/555174eec236/sciadv.abo2255-f6.jpg
https://cdn.ncbi.nlm.nih.gov/pmc/blobs/f8d1/9166396/942f5c7b5b70/sciadv.abo2255-f7.jpg
https://cdn.ncbi.nlm.nih.gov/pmc/blobs/f8d1/9166396/2c3133eb8da7/sciadv.abo2255-f1.jpg
https://cdn.ncbi.nlm.nih.gov/pmc/blobs/f8d1/9166396/93806c014132/sciadv.abo2255-f2.jpg
https://cdn.ncbi.nlm.nih.gov/pmc/blobs/f8d1/9166396/c62c2f81a779/sciadv.abo2255-f3.jpg
https://cdn.ncbi.nlm.nih.gov/pmc/blobs/f8d1/9166396/3a834b4ce8b3/sciadv.abo2255-f4.jpg
https://cdn.ncbi.nlm.nih.gov/pmc/blobs/f8d1/9166396/af5283cba99d/sciadv.abo2255-f5.jpg
https://cdn.ncbi.nlm.nih.gov/pmc/blobs/f8d1/9166396/555174eec236/sciadv.abo2255-f6.jpg
https://cdn.ncbi.nlm.nih.gov/pmc/blobs/f8d1/9166396/942f5c7b5b70/sciadv.abo2255-f7.jpg

相似文献

1
Guest-induced amorphous-to-crystalline transformation enables sorting of haloalkane isomers with near-perfect selectivity.客体诱导的非晶态到晶态转变能够以近乎完美的选择性对卤代烷异构体进行分离。
Sci Adv. 2022 Jun 3;8(22):eabo2255. doi: 10.1126/sciadv.abo2255.
2
Separation of Bromoalkanes Isomers by Nonporous Adaptive Crystals of Leaning Pillar[6]arene.通过倾斜柱[6]芳烃的无孔自适应晶体分离溴代烷烃异构体。
Angew Chem Int Ed Engl. 2020 Feb 3;59(6):2251-2255. doi: 10.1002/anie.201911965. Epub 2019 Dec 27.
3
- Selectivity of Haloalkene Isomers in Nonporous Adaptive Pillararene Crystals.无孔自适应柱芳烃晶体中卤代烯烃异构体的选择性
J Am Chem Soc. 2019 Jul 31;141(30):11847-11851. doi: 10.1021/jacs.9b06188. Epub 2019 Jul 19.
4
Dihalobenzene Shape Sorting by Nonporous Adaptive Crystals of Perbromoethylated Pillararenes.通过全溴乙基化柱芳烃的无孔自适应晶体进行二卤苯形状分类
Angew Chem Int Ed Engl. 2019 Mar 18;58(12):3981-3985. doi: 10.1002/anie.201900140. Epub 2019 Feb 14.
5
Grinding-induced supramolecular charge-transfer assemblies with switchable vapochromism toward haloalkane isomers.研磨诱导的对卤代烷异构体具有可切换气致变色的超分子电荷转移组装体。
Nat Commun. 2023 Sep 23;14(1):5954. doi: 10.1038/s41467-023-41713-9.
6
Highly Selective Removal of Trace Isomers by Nonporous Adaptive Pillararene Crystals for Chlorobutane Purification.高选择性去除痕量对映异构体的非多孔自适应柱状芳烃晶体用于氯丁烷的纯化。
J Am Chem Soc. 2020 Apr 15;142(15):6957-6961. doi: 10.1021/jacs.0c02684. Epub 2020 Mar 31.
7
Molecular recognition and adsorptive separation of -xylene by trianglimine crystals.三角烯晶体对二甲苯的分子识别与吸附分离。
Chem Commun (Camb). 2021 Sep 9;57(72):9124-9127. doi: 10.1039/d1cc03531b.
8
Nonporous Adaptive Crystals of Pillararenes.柱芳烃的无孔自适应晶体
Acc Chem Res. 2018 Sep 18;51(9):2064-2072. doi: 10.1021/acs.accounts.8b00255. Epub 2018 Jul 16.
9
Highly Selective Separation of Isopropylbenzene and α-Methylstyrene by Nonporous Adaptive Crystals of Perbromoethylated Pillararene via Vapor- and Liquid-Phase Adsorptions.通过全溴乙基化柱芳烃的无孔自适应晶体经由气相和液相吸附对异丙苯和α-甲基苯乙烯进行高选择性分离。
ACS Appl Mater Interfaces. 2021 Feb 17;13(6):7370-7376. doi: 10.1021/acsami.0c23059. Epub 2021 Feb 5.
10
Tuning the porosity of triangular supramolecular adsorbents for superior haloalkane isomer separations.调控三角形超分子吸附剂的孔隙率以实现卓越的卤代烷异构体分离
Chem Sci. 2021 Aug 16;12(37):12286-12291. doi: 10.1039/d1sc03509f. eCollection 2021 Sep 29.

引用本文的文献

1
Separation of benzene and toluene associated with vapochromic behaviors by hybrid[4]arene-based co-crystals.基于杂化[4]芳烃的共晶体实现与气相变色行为相关的苯和甲苯分离。
Nat Commun. 2024 Feb 10;15(1):1260. doi: 10.1038/s41467-024-45592-6.
2
Advanced Soft Porous Organic Crystal with Multiple Gas-Induced Single-Crystal-to-Single-Crystal Transformations for Highly Selective Separation of Propylene and Propane.具有多种气体诱导单晶到单晶转变的先进软质多孔有机晶体用于丙烯和丙烷的高选择性分离
Adv Sci (Weinh). 2024 Mar;11(9):e2303057. doi: 10.1002/advs.202303057. Epub 2023 Dec 14.
3
Grinding-induced supramolecular charge-transfer assemblies with switchable vapochromism toward haloalkane isomers.

本文引用的文献

1
A smart and responsive crystalline porous organic cage membrane with switchable pore apertures for graded molecular sieving.一种智能响应的结晶多孔有机笼膜,具有可切换的孔径,用于分级分子筛。
Nat Mater. 2022 Apr;21(4):463-470. doi: 10.1038/s41563-021-01168-z. Epub 2022 Jan 10.
2
Bottom-Up Solid-State Molecular Assembly via Guest-Induced Intermolecular Interactions.通过客体诱导的分子间相互作用进行自下而上的固态分子组装。
J Am Chem Soc. 2021 Dec 8;143(48):20395-20402. doi: 10.1021/jacs.1c10139. Epub 2021 Nov 24.
3
Nonporous Adaptive Calix[4]pyrrole Crystals for Polar Compound Separations.
研磨诱导的对卤代烷异构体具有可切换气致变色的超分子电荷转移组装体。
Nat Commun. 2023 Sep 23;14(1):5954. doi: 10.1038/s41467-023-41713-9.
4
Simultaneous Recognition and Separation of Organic Isomers Via Cooperative Control of Pore-Inside and Pore-Outside Interactions.通过协同控制孔内和孔外相互作用,实现有机异构体的同时识别和分离。
Adv Sci (Weinh). 2022 Dec;9(36):e2204963. doi: 10.1002/advs.202204963. Epub 2022 Oct 28.
5
A Water-Soluble Leggero Pillar[5]arene.一种水溶性 Leggero 柱[5]芳烃。
Molecules. 2022 Sep 23;27(19):6259. doi: 10.3390/molecules27196259.
无孔自适应杯[4]吡咯晶体用于极性化合物分离。
J Am Chem Soc. 2021 Nov 17;143(45):18849-18853. doi: 10.1021/jacs.1c09385. Epub 2021 Nov 8.
4
Tuning the porosity of triangular supramolecular adsorbents for superior haloalkane isomer separations.调控三角形超分子吸附剂的孔隙率以实现卓越的卤代烷异构体分离
Chem Sci. 2021 Aug 16;12(37):12286-12291. doi: 10.1039/d1sc03509f. eCollection 2021 Sep 29.
5
Macrocycle-derived hierarchical porous organic polymers: synthesis and applications.大环衍生的分级多孔有机聚合物:合成与应用
Chem Soc Rev. 2021 Oct 18;50(20):11684-11714. doi: 10.1039/d1cs00545f.
6
Metal-Organic Framework-Based Hierarchically Porous Materials: Synthesis and Applications.基于金属有机框架的分级多孔材料:合成与应用
Chem Rev. 2021 Oct 27;121(20):12278-12326. doi: 10.1021/acs.chemrev.1c00243. Epub 2021 Jul 19.
7
Partitioning the interlayer space of covalent organic frameworks by embedding pseudorotaxanes in their backbones.通过在骨架中嵌入伪轮烷来划分共价有机框架的层间空间。
Nat Chem. 2020 Dec;12(12):1115-1122. doi: 10.1038/s41557-020-00562-5. Epub 2020 Nov 2.
8
Hierarchically Structured Zeolites: From Design to Application.分级结构沸石:从设计到应用
Chem Rev. 2020 Oct 28;120(20):11194-11294. doi: 10.1021/acs.chemrev.0c00016. Epub 2020 Sep 11.
9
Functional Supramolecular Polymeric Networks: The Marriage of Covalent Polymers and Macrocycle-Based Host-Guest Interactions.功能超分子聚合网络:共价聚合物与基于大环主体-客体相互作用的联姻。
Chem Rev. 2020 Jul 8;120(13):6070-6123. doi: 10.1021/acs.chemrev.9b00839. Epub 2020 May 19.
10
Highly Selective Removal of Trace Isomers by Nonporous Adaptive Pillararene Crystals for Chlorobutane Purification.高选择性去除痕量对映异构体的非多孔自适应柱状芳烃晶体用于氯丁烷的纯化。
J Am Chem Soc. 2020 Apr 15;142(15):6957-6961. doi: 10.1021/jacs.0c02684. Epub 2020 Mar 31.