Suppr超能文献

慢性肾脏病患者非心脏手术围手术期心脏事件的预测因素及评分工具的开发:一项前瞻性观察性多中心研究。

Predictors of peri-operative cardiac events and development of a scoring tool for patients with chronic kidney disease undergoing non-cardiac surgeries: A prospective observational multicentre study.

作者信息

Deo Alka Sachin, Kashyapi Rijuta, Joshi Veena, Balakundi Parimala, Raman Padmalatha

机构信息

Department of Anaesthesiology, NU Hospitals, Bengaluru, Karnataka, India.

Department of Anaesthesiology, Deenanath Mangeshkar Hospital and Research Centre, Pune, Maharashtra, India.

出版信息

Indian J Anaesth. 2022 Apr;66(4):278-289. doi: 10.4103/ija.ija_1031_21. Epub 2022 Apr 20.

Abstract

BACKGROUND AND AIMS

Cardiovascular diseases are the leading causes of morbidity and mortality in chronic kidney disease (CKD) patients. Our aim was to derive predictors of cardiac morbidity, mortality, cardiac complications and to develop/validate a scoring tool in patients with CKD undergoing non-cardiac surgery.

METHODS

A prospective observational multicentre study was done on 770 patients with CKD. The primary outcome ("Event") was one or more than one of sudden cardiac death, pulmonary oedema, acute coronary syndrome, arrhythmia and 30-day mortality. Secondary outcome was hypertension and hypotension. Predictors of cardiac risk were identified. A scoring tool was developed on the 2018 dataset and was validated on the 2019 dataset.

RESULTS

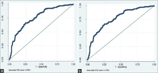
The overall incidence of cardiac events was 290 (37.66%) whereas the incidence of major adverse cardiac and cerebrovascular events was 15.04%. Mortality due to cardiac cause was 13 (1.68%). On multivariate regression analysis, seven perioperative variables had significant association with increased risk of events: age > 65 years ( = 0.004), metabolic equivalents (METS) ≤4 (≤0.032), emergency surgery ( =0.032), mean arterial pressure >119 ( = 0.001), echocardiographic scoring ( = 0.054), type of anaesthesia ( ≤ 0.0001) and type of surgery ( = 0.056). Using these variables, a risk stratification tool was developed. C statistics showed favourable predictive accuracy (0.714) and the model showed good calibration.

CONCLUSION

This risk scoring tool based on preoperative variables will help to predict the risk of events in high-risk CKD patients undergoing non-cardiac surgery. This will help in better counselling and optimisation.

摘要

背景与目的

心血管疾病是慢性肾脏病(CKD)患者发病和死亡的主要原因。我们的目的是得出心脏发病、死亡、心脏并发症的预测因素,并为接受非心脏手术的CKD患者开发/验证一种评分工具。

方法

对770例CKD患者进行了一项前瞻性观察性多中心研究。主要结局(“事件”)为心源性猝死、肺水肿、急性冠状动脉综合征、心律失常和30天死亡率中的一项或多项。次要结局为高血压和低血压。确定了心脏风险的预测因素。在2018年数据集上开发了一种评分工具,并在2019年数据集上进行了验证。

结果

心脏事件的总体发生率为290例(37.66%),而主要不良心脑血管事件的发生率为15.04%。心源性死亡13例(1.68%)。多因素回归分析显示,七个围手术期变量与事件风险增加显著相关:年龄>65岁(P = 0.004)、代谢当量(METS)≤4(P≤0.032)、急诊手术(P = 0.032)、平均动脉压>119(P = 0.001)、超声心动图评分(P = 0.054)、麻醉类型(P≤0.0001)和手术类型(P = 0.056)。利用这些变量,开发了一种风险分层工具。C统计量显示出良好的预测准确性(0.714),且该模型显示出良好的校准度。

结论

这种基于术前变量的风险评分工具将有助于预测接受非心脏手术的高危CKD患者发生事件的风险。这将有助于更好地进行咨询和优化。

https://cdn.ncbi.nlm.nih.gov/pmc/blobs/4bab/9159394/40afa070b59b/IJA-66-278-g001.jpg

文献AI研究员

20分钟写一篇综述,助力文献阅读效率提升50倍。

立即体验

用中文搜PubMed

大模型驱动的PubMed中文搜索引擎

马上搜索

文档翻译

学术文献翻译模型,支持多种主流文档格式。

立即体验