Unidad de Investigación Multidisciplinaria L14 (Alimentos, Micotoxinas, y Micotoxicosis), Facultad de Estudios Superiores Cuautitlán, Universidad Nacional Autónoma de México, Cuautitlán Izcalli, Estado de Mexico 54714, Mexico.
Department of Poultry Science, University of Arkansas, Fayetteville, AR 72701, USA.
Int J Mol Sci. 2022 May 28;23(11):6068. doi: 10.3390/ijms23116068.
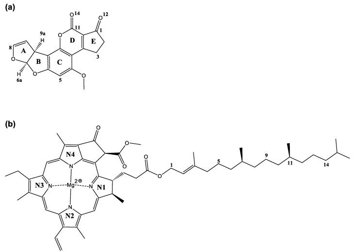
The coordination of one and two aflatoxin B (AFB, a potent carcinogen) molecules with chlorophyll a () was studied at a theoretical level. Calculations were performed using the M06-2X method in conjunction with the 6-311G(d,p) basis set, in both gas and water phases. The molecular electrostatic potential map shows the chemical activity of various sites of the AFB and molecules. The energy difference between molecular orbitals of AFB and allowed for the establishment of an intermolecular interaction. A charge transfer from AFB to the central cation of was shown. The energies of the optimized structures for show two configurations, unfolded and folded, with a difference of 15.41 kcal/mol. appeared axially coordinated to the plane (α-down or β-up) of the porphyrin moiety, either with the oxygen atom of the ketonic group, or with the oxygen atom of the lactone moiety of AFB. The complexes of maximum stability were -α-E-AFB and -β-E-AFB, at -36.4 and -39.2 kcal/mol, respectively. Additionally, with two AFB molecules were -D-2AFB and -E-2AFB, at -60.0 and -64.8 kcal/mol, respectively. Finally, biosorbents containing chlorophyll could improve AFB adsorption.
本文从理论层面研究了一个和两个黄曲霉毒素 B(AFB,一种强致癌物质)分子与叶绿素 a()的配位情况。采用 M06-2X 方法和 6-311G(d,p)基组,在气相和水相条件下进行了计算。分子静电势图显示了 AFB 和 分子各部位的化学活性。AFB 和 的分子轨道能级差允许建立分子间相互作用。显示 AFB 向 中心阳离子的电荷转移。优化后的 结构能量显示出两种构象,展开和折叠,其能差为 15.41 kcal/mol。 以轴向方式与卟啉部分的平面(α-向下或β-向上)配位,与酮基的氧原子或 AFB 内酯部分的氧原子配位。最大稳定性的配合物分别为 -α-E-AFB 和 -β-E-AFB,其能量分别为-36.4 和-39.2 kcal/mol。此外,当有两个 AFB 分子时,形成的配合物分别为 -D-2AFB 和 -E-2AFB,其能量分别为-60.0 和-64.8 kcal/mol。最后,含有叶绿素的生物吸附剂可以提高 AFB 的吸附。