Suppr超能文献

住院患者低钠血症与横纹肌溶解症关联的观察性研究

Observational Study of the Association between Hyponatremia and Rhabdomyolysis in Patients Presenting to Hospital.

作者信息

Lim Andy K H, Bhonsle Ajinkya, Zhang Karen, Hong Joy, Huang Kuo L C, Nim Joseph

机构信息

Department of General Medicine, Monash Health, Clayton, VIC 3168, Australia.

Department of Nephrology, Monash Health, Clayton, VIC 3168, Australia.

出版信息

J Clin Med. 2022 Jun 5;11(11):3215. doi: 10.3390/jcm11113215.

Abstract

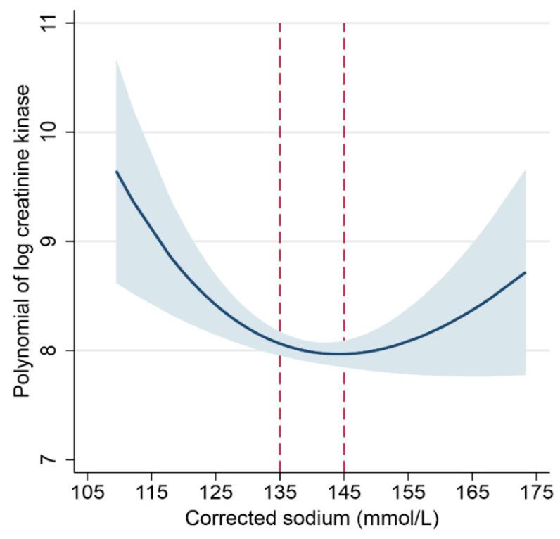
Hyponatremia may be a risk factor for rhabdomyolysis, but the association is not well defined and may be confounded by other variables. The aims of this study were to determine the prevalence and strength of the association between hyponatremia and rhabdomyolysis and to profile patients with hyponatremia. In a cross-sectional study of 870 adults admitted to hospital with rhabdomyolysis and a median peak creatine kinase of 4064 U/L (interquartile range, 1921−12,002 U/L), glucose-corrected serum sodium levels at presentation showed a U-shape relationship to log peak creatine kinase. The prevalence of mild (130−134 mmol/L), moderate (125−129 mmol/L), and severe (<125 mmol/L) hyponatremia was 9.4%, 2.5%, and 2.1%, respectively. We excluded patients with hypernatremia and used multivariable linear regression for analysis (n = 809). Using normal Na+ (135−145 mmol/L) as the reference category, we estimated that a drop in Na+ moving from one Na+ category to the next was associated with a 25% higher creatine kinase after adjusting for age, alcohol, illicit drugs, diabetes, and psychotic disorders. Multifactorial causes of rhabdomyolysis were more common than single causes. The prevalence of psychotic and alcohol use disorders was higher in the study population compared to the general population, corresponding with greater exposure to psychotropic medications and illicit drugs associated with hyponatremia and rhabdomyolysis. In conclusion, we found an association between hyponatremia and the severity of rhabdomyolysis, even after allowing for confounders.

摘要

低钠血症可能是横纹肌溶解症的一个危险因素,但这种关联并不明确,可能会受到其他变量的干扰。本研究的目的是确定低钠血症与横纹肌溶解症之间关联的患病率和强度,并对低钠血症患者进行分析。在一项横断面研究中,870名因横纹肌溶解症入院的成年人,其肌酸激酶峰值中位数为4064 U/L(四分位间距为1921 - 12,002 U/L),就诊时经葡萄糖校正的血清钠水平与肌酸激酶峰值对数呈U形关系。轻度(130 - 134 mmol/L)、中度(125 - 129 mmol/L)和重度(<125 mmol/L)低钠血症的患病率分别为9.4%、2.5%和2.1%。我们排除了高钠血症患者,并采用多变量线性回归进行分析(n = 809)。以正常钠水平(135 - 145 mmol/L)作为参照类别,在对年龄、酒精、非法药物、糖尿病和精神障碍进行校正后,我们估计钠水平从一个类别降至下一个类别与肌酸激酶升高25%相关。横纹肌溶解症的多因素病因比单因素病因更为常见。与一般人群相比,本研究人群中精神障碍和酒精使用障碍的患病率更高,这与更多接触与低钠血症和横纹肌溶解症相关的精神药物和非法药物相对应。总之,即使考虑了混杂因素,我们仍发现低钠血症与横纹肌溶解症的严重程度之间存在关联。

https://cdn.ncbi.nlm.nih.gov/pmc/blobs/bb4f/9181719/07aed2e6714e/jcm-11-03215-g001.jpg

文献检索

告别复杂PubMed语法,用中文像聊天一样搜索,搜遍4000万医学文献。AI智能推荐,让科研检索更轻松。

立即免费搜索

文件翻译

保留排版,准确专业,支持PDF/Word/PPT等文件格式,支持 12+语言互译。

免费翻译文档

深度研究

AI帮你快速写综述,25分钟生成高质量综述,智能提取关键信息,辅助科研写作。

立即免费体验