Saleem Salman, Gopal Degavath, Shah Nehad Ali, Feroz Nosheen, Kishan Naikoti, Chung Jae Dong, Safdar Saleha
Department of Mathematics, College of Science, King Khalid University, Abha 61413, Saudi Arabia.
Department of Mathematics, KG Reddy College of Engineering and Technology, Hyderabad 500075, India.
Nanomaterials (Basel). 2022 May 25;12(11):1811. doi: 10.3390/nano12111811.
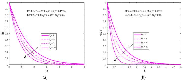
The present paper explores the two-dimensional (2D) incompressible mixed-convection flow of magneto-hydrodynamic Eyring-Powell nanofluid through a nonlinear stretching surface in the occurrence of a chemical reaction, entropy generation, and Bejan number effects. The main focus is on the quantity of energy that is lost during any irreversible process of entropy generation. The system of entropy generation was examined with energy efficiency. The set of higher-order non-linear partial differential equations are transformed by utilizing non-dimensional parameters into a set of dimensionless ordinary differential equations. The set of ordinary differential equations are solved numerically with the help of the finite element method (FEM). The illustrative set of computational results of Eyring-Powell (E-P) flow on entropy generation, Bejan number, velocity, temperature, and concentration distributions, as well as physical quantities are influenced by several dimensionless physical parameters that are also presented graphically and in table-form and discussed in detail. It is shown that the Schemit number increases alongside an increase in temperature, but the opposite trend occurs in the Prandtl number. Bejan number and entropy generation decline with the effect of the concentration diffusion parameter, and the results are shown in graphs.
本文研究了磁流体动力学埃林 - 鲍威尔纳米流体在化学反应、熵产生和贝扬数效应存在的情况下,通过非线性拉伸表面的二维(2D)不可压缩混合对流流动。主要关注的是在任何不可逆熵产生过程中损失的能量数量。通过能量效率对熵产生系统进行了研究。利用无量纲参数将高阶非线性偏微分方程组转化为一组无量纲常微分方程。借助有限元方法(FEM)对这组常微分方程进行了数值求解。还给出了埃林 - 鲍威尔(E - P)流动关于熵产生、贝扬数、速度、温度和浓度分布的一系列说明性计算结果,以及受几个无量纲物理参数影响的物理量,这些结果也以图形和表格形式呈现并进行了详细讨论。结果表明,谢米特数随温度升高而增加,但普朗特数呈现相反趋势。贝扬数和熵产生随浓度扩散参数的影响而下降,结果以图形展示。