• 文献检索
  • 文档翻译
  • 深度研究
  • 学术资讯
  • Suppr Zotero 插件Zotero 插件
  • 邀请有礼
  • 套餐&价格
  • 历史记录
应用&插件
Suppr Zotero 插件Zotero 插件浏览器插件Mac 客户端Windows 客户端微信小程序
定价
高级版会员购买积分包购买API积分包
服务
文献检索文档翻译深度研究API 文档MCP 服务
关于我们
关于 Suppr公司介绍联系我们用户协议隐私条款
关注我们

Suppr 超能文献

核心技术专利:CN118964589B侵权必究
粤ICP备2023148730 号-1Suppr @ 2026

文献检索

告别复杂PubMed语法,用中文像聊天一样搜索,搜遍4000万医学文献。AI智能推荐,让科研检索更轻松。

立即免费搜索

文件翻译

保留排版,准确专业,支持PDF/Word/PPT等文件格式,支持 12+语言互译。

免费翻译文档

深度研究

AI帮你快速写综述,25分钟生成高质量综述,智能提取关键信息,辅助科研写作。

立即免费体验

基于聚合物的甲氨蝶呤贴剂的配方及各种渗透促进剂效果的研究:体外、离体和体内表征

Formulation of Polymers-Based Methotrexate Patches and Investigation of the Effect of Various Penetration Enhancers: In Vitro, Ex Vivo and In Vivo Characterization.

作者信息

Latif Muhammad Shahid, Nawaz Asif, Rashid Sheikh Abdur, Akhlaq Muhammad, Iqbal Asif, Khan Muhammad Jamil, Khan Muhammad Shuaib, Lim Vuanghao, Alfatama Mulham

机构信息

Advanced Drug Delivery Lab, Gomal Centre of Pharmaceutical Sciences, Faculty of Pharmacy, Gomal University, Dera Ismail Khan 29050, Pakistan.

Faculty of Agriculture, Gomal University, Dera Ismail Khan 29050, Pakistan.

出版信息

Polymers (Basel). 2022 May 30;14(11):2211. doi: 10.3390/polym14112211.

DOI:10.3390/polym14112211
PMID:35683883
原文链接:https://pmc.ncbi.nlm.nih.gov/articles/PMC9182619/
Abstract

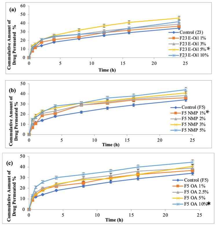
The present study aimed to prepare methotrexate-loaded transdermal patches with different blends of hydrophobic and hydrophilic polymers (Eudragit S-100 and hydroxypropyl methylcellulose) at different concentrations. The polymers employed in transdermal patches formulations served as controlled agent. Transdermal patches were prepared using the solvent casting technique. The suitable physicochemical properties were obtained from the formulation F5 (HPMC and Eudragit S-100 (5:1). Various penetration enhancers were employed in different concentrations to investigate their potential for enhancing the drug permeation profile from optimized formulations. A preformulation study was conducted to investigate drug-excipient compatibilities (ATR-FTIR) and the study showed greater compatibility between drug, polymers and excipients. The prepared patches containing different penetration enhancers at different concentrations were subjected for evaluating different physicochemical parameters and in vitro drug release studies. The obtained data were added to various kinetic models, then formulated patch formulations were investigated for ex vivo permeation studies, in vivo studies and skin drug retention studies. The prepared patches showed elastic, smooth and clear nature with good thickness, drug content, % moisture uptake and weight uniformity. The prepared transdermal patches showed % drug content ranging from 91.43 ± 2.90 to 98.37 ± 0.56, % swelling index from 36.98 ± 0.19 to 75.32 ± 1.21, folding endurance from 61 ± 3.14 to 78 ± 1.54 and tensile strength from 8.54 ± 0.18 to 12.87 ± 0.50. The formulation F5, containing a greater amount of hydrophilic polymers (HPMC), showed increased drug release and permeation and drug retention when compared to other formulated transdermal patch formulations (F1-F9). No significant change was observed during a stability study for a period of 60 days. The rabbit skin samples were subjected to ATR-FTIR studies, which revealed that polymers and penetration enhancers have affected skin proteins (ceramides and keratins). The pharmacokinetic profiling of optimized formulation (F5) as well as formulations with optimized concentrations of penetration enhancers revealed C ranged 167.80 ng/mL to 178.07 ± 2.75 ng/mL, T was 8 h to 10 h, and t was 15.9 ± 2.11 to 21.49 ± 1.16. From the in vivo studies, it was revealed that the formulation F5-OA-10% exhibited greater skin drug retention as compared to other formulations. These results depicted that prepared methotrexate transdermal patches containing different blends of hydrophobic and hydrophilic polymers along with different penetration enhancers could be safely used for the management of psoriasis. The formulated transdermal patches exhibited sustained release of drug with good permeations and retention profile. Hence, these formulated transdermal patches can effectively be used for the management of psoriasis.

摘要

本研究旨在制备载有甲氨蝶呤的透皮贴剂,该贴剂采用不同浓度的疏水性和亲水性聚合物(Eudragit S - 100和羟丙基甲基纤维素)的不同混合物。用于透皮贴剂制剂的聚合物用作控释剂。采用溶剂浇铸技术制备透皮贴剂。从配方F5(羟丙基甲基纤维素和Eudragit S - 100(5:1))获得了合适的物理化学性质。采用不同浓度的各种渗透促进剂来研究它们增强优化配方中药物渗透特性的潜力。进行了处方前研究以研究药物 - 辅料相容性(衰减全反射傅里叶变换红外光谱法),研究表明药物、聚合物和辅料之间具有更大的相容性。对含有不同浓度不同渗透促进剂的制备贴剂进行评估不同物理化学参数和体外药物释放研究。将获得的数据添加到各种动力学模型中,然后对配制的贴剂制剂进行离体渗透研究、体内研究和皮肤药物滞留研究。制备的贴剂显示出弹性、光滑且透明的性质,具有良好的厚度、药物含量、吸湿率和重量均匀性。制备的透皮贴剂的药物含量百分比范围为91.43±2.90至98.37±0.56,溶胀指数百分比为36.98±0.19至75.32±1.21,耐折次数为61±3.14至78±1.54,拉伸强度为8.54±0.18至12.87±0.50。与其他配制的透皮贴剂制剂(F1 - F9)相比,含有大量亲水性聚合物(羟丙基甲基纤维素)的配方F5显示出药物释放、渗透和药物滞留增加。在为期60天的稳定性研究期间未观察到显著变化。对兔皮肤样品进行衰减全反射傅里叶变换红外光谱法研究,结果表明聚合物和渗透促进剂对皮肤蛋白质(神经酰胺和角蛋白)有影响。优化配方(F5)以及具有优化浓度渗透促进剂的制剂的药代动力学分析显示,血药浓度C范围为167.80 ng/mL至178.07±2.75 ng/mL,达峰时间T为8小时至10小时,消除半衰期t为15.9±2.11至21.49±1.16。从体内研究可知,与其他制剂相比,配方F5 - OA - 10%表现出更大的皮肤药物滞留。这些结果表明,制备的含有不同疏水性和亲水性聚合物混合物以及不同渗透促进剂的甲氨蝶呤透皮贴剂可安全用于银屑病的治疗。配制的透皮贴剂表现出药物的持续释放,具有良好的渗透和滞留特性。因此,这些配制的透皮贴剂可有效地用于银屑病的治疗。

https://cdn.ncbi.nlm.nih.gov/pmc/blobs/0566/9182619/a05cf0601fd1/polymers-14-02211-g011.jpg
https://cdn.ncbi.nlm.nih.gov/pmc/blobs/0566/9182619/5f74657a007b/polymers-14-02211-g001.jpg
https://cdn.ncbi.nlm.nih.gov/pmc/blobs/0566/9182619/150284f483a7/polymers-14-02211-g002.jpg
https://cdn.ncbi.nlm.nih.gov/pmc/blobs/0566/9182619/8083bfb4cb29/polymers-14-02211-g003.jpg
https://cdn.ncbi.nlm.nih.gov/pmc/blobs/0566/9182619/a59081a5c01d/polymers-14-02211-g004.jpg
https://cdn.ncbi.nlm.nih.gov/pmc/blobs/0566/9182619/b2528712dc84/polymers-14-02211-g005.jpg
https://cdn.ncbi.nlm.nih.gov/pmc/blobs/0566/9182619/85f3a27c75af/polymers-14-02211-g006.jpg
https://cdn.ncbi.nlm.nih.gov/pmc/blobs/0566/9182619/c3641f7d9c72/polymers-14-02211-g007.jpg
https://cdn.ncbi.nlm.nih.gov/pmc/blobs/0566/9182619/9d99310d4c61/polymers-14-02211-g008.jpg
https://cdn.ncbi.nlm.nih.gov/pmc/blobs/0566/9182619/03ba6c22d6c2/polymers-14-02211-g009.jpg
https://cdn.ncbi.nlm.nih.gov/pmc/blobs/0566/9182619/0167f3cbf33a/polymers-14-02211-g010.jpg
https://cdn.ncbi.nlm.nih.gov/pmc/blobs/0566/9182619/a05cf0601fd1/polymers-14-02211-g011.jpg
https://cdn.ncbi.nlm.nih.gov/pmc/blobs/0566/9182619/5f74657a007b/polymers-14-02211-g001.jpg
https://cdn.ncbi.nlm.nih.gov/pmc/blobs/0566/9182619/150284f483a7/polymers-14-02211-g002.jpg
https://cdn.ncbi.nlm.nih.gov/pmc/blobs/0566/9182619/8083bfb4cb29/polymers-14-02211-g003.jpg
https://cdn.ncbi.nlm.nih.gov/pmc/blobs/0566/9182619/a59081a5c01d/polymers-14-02211-g004.jpg
https://cdn.ncbi.nlm.nih.gov/pmc/blobs/0566/9182619/b2528712dc84/polymers-14-02211-g005.jpg
https://cdn.ncbi.nlm.nih.gov/pmc/blobs/0566/9182619/85f3a27c75af/polymers-14-02211-g006.jpg
https://cdn.ncbi.nlm.nih.gov/pmc/blobs/0566/9182619/c3641f7d9c72/polymers-14-02211-g007.jpg
https://cdn.ncbi.nlm.nih.gov/pmc/blobs/0566/9182619/9d99310d4c61/polymers-14-02211-g008.jpg
https://cdn.ncbi.nlm.nih.gov/pmc/blobs/0566/9182619/03ba6c22d6c2/polymers-14-02211-g009.jpg
https://cdn.ncbi.nlm.nih.gov/pmc/blobs/0566/9182619/0167f3cbf33a/polymers-14-02211-g010.jpg
https://cdn.ncbi.nlm.nih.gov/pmc/blobs/0566/9182619/a05cf0601fd1/polymers-14-02211-g011.jpg

相似文献

1
Formulation of Polymers-Based Methotrexate Patches and Investigation of the Effect of Various Penetration Enhancers: In Vitro, Ex Vivo and In Vivo Characterization.基于聚合物的甲氨蝶呤贴剂的配方及各种渗透促进剂效果的研究:体外、离体和体内表征
Polymers (Basel). 2022 May 30;14(11):2211. doi: 10.3390/polym14112211.
2
Formulation and Evaluation of Hydrophilic Polymer Based Methotrexate Patches: In Vitro and In Vivo Characterization.基于亲水性聚合物的甲氨蝶呤贴片的制剂与评价:体外和体内特性研究
Polymers (Basel). 2022 Mar 24;14(7):1310. doi: 10.3390/polym14071310.
3
Ethyl Cellulose and Hydroxypropyl Methyl Cellulose Blended Methotrexate-Loaded Transdermal Patches: In Vitro and Ex Vivo.乙基纤维素与羟丙基甲基纤维素共混载甲氨蝶呤透皮贴剂:体外与离体研究
Polymers (Basel). 2021 Oct 9;13(20):3455. doi: 10.3390/polym13203455.
4
Development of carvedilol transdermal patches: evaluation of physicochemical, ex vivo and mechanical properties.卡维地洛透皮贴剂的研制:理化性质、离体性质及机械性能评估
PDA J Pharm Sci Technol. 2008 Nov-Dec;62(6):391-401.
5
Design and evaluation of patches for transdermal delivery of losartan potassium.氯沙坦钾透皮给药贴剂的设计与评价
PDA J Pharm Sci Technol. 2012 Mar-Apr;66(2):126-35. doi: 10.5731/pdajpst.2012.00854.
6
Influence of the Component Excipients on the Quality and Functionality of a Transdermal Film Formulation.辅料成分对透皮膜剂质量和功能的影响
AAPS PharmSciTech. 2015 Dec;16(6):1344-56. doi: 10.1208/s12249-015-0322-0. Epub 2015 Apr 29.
7
PREPARATION, IN VITRO AND IN VIVO CHARACTERIZATION OF HYDROPHOBIC PATCHES OF A HIGHLY WATER SOLUBLE DRUG FOR PROLONGED PLASMA HALF LIFE: EFFECT OF PERMEATION ENHANCERS.高水溶性药物疏水补丁的制备、体外和体内表征以延长血浆半衰期:渗透促进剂的作用
Acta Pol Pharm. 2016 Nov;73(6):1639-1648.
8
Fabrication and Evaluation of Matrix Type Novel Transdermal Patch Loaded with Tramadol Hydrochloride.载盐酸曲马多的基质型新型透皮贴剂的制备与评价
Turk J Pharm Sci. 2022 Oct 31;19(5):572-582. doi: 10.4274/tjps.galenos.2021.43678.
9
In vitro and In vivo characterization of the transdermal delivery of sertraline hydrochloride Films.盐酸舍曲林经皮给药薄膜的体外与体内特征分析。
Daru. 2011;19(6):424-32.
10
Design and evaluation of matrix diffusion controlled transdermal patches of verapamil hydrochloride.盐酸维拉帕米基质扩散控制型透皮贴剂的设计与评价
Drug Dev Ind Pharm. 2003 May;29(5):495-503. doi: 10.1081/ddc-120018638.

引用本文的文献

1
[Strategy to optimize patient safety in the community pharmacy dispensing service. Proposed checklists].[社区药房配药服务中优化患者安全的策略。拟议的检查表]
Farm Comunitarios. 2023 Apr 11;15(2):29-40. doi: 10.33620/FC.2173-9218.(2023).15. eCollection 2023 Apr 14.
2
Fabrication of Polymeric Hydrogels Containing Esomeprazole for Oral Delivery: In Vitro and In Vivo Pharmacokinetic Characterization.用于口服给药的含埃索美拉唑聚合物水凝胶的制备:体外和体内药代动力学特征
Polymers (Basel). 2023 Apr 6;15(7):1798. doi: 10.3390/polym15071798.
3
Formulation and Characterization of Ethyl Cellulose-Based Patches Containing Curcumin-Chitosan Nanoparticles for the Possible Management of Inflammation via Skin Delivery.

本文引用的文献

1
Formulation and Evaluation of Hydrophilic Polymer Based Methotrexate Patches: In Vitro and In Vivo Characterization.基于亲水性聚合物的甲氨蝶呤贴片的制剂与评价:体外和体内特性研究
Polymers (Basel). 2022 Mar 24;14(7):1310. doi: 10.3390/polym14071310.
2
Stimuli-Responsive Polymers for Transdermal, Transmucosal and Ocular Drug Delivery.用于透皮、透粘膜和眼部给药的刺激响应性聚合物。
Pharmaceutics. 2021 Dec 1;13(12):2050. doi: 10.3390/pharmaceutics13122050.
3
Recent advances in polymeric transdermal drug delivery systems.聚合物经皮给药系统的最新进展。
含姜黄素-壳聚糖纳米颗粒的乙基纤维素基贴剂的制备与表征,用于通过皮肤给药可能实现的炎症管理。
Gels. 2023 Mar 6;9(3):201. doi: 10.3390/gels9030201.
4
Formulation Development and In Vitro/In Vivo Characterization of Methotrexate-Loaded Nanoemulsion Gel Formulations for Enhanced Topical Delivery.用于增强局部给药的载甲氨蝶呤纳米乳凝胶制剂的处方开发及体外/体内表征
Gels. 2022 Dec 22;9(1):3. doi: 10.3390/gels9010003.
J Control Release. 2022 Jan;341:132-146. doi: 10.1016/j.jconrel.2021.11.025. Epub 2021 Nov 20.
4
Water Uptake as a Crucial Factor on the Properties of Cryogels of Gelatine Cross-Linked by Dextran Dialdehyde.水分吸收作为影响由二醛葡聚糖交联的明胶冷冻凝胶性质的关键因素
Gels. 2021 Sep 30;7(4):159. doi: 10.3390/gels7040159.
5
Ethyl Cellulose and Hydroxypropyl Methyl Cellulose Blended Methotrexate-Loaded Transdermal Patches: In Vitro and Ex Vivo.乙基纤维素与羟丙基甲基纤维素共混载甲氨蝶呤透皮贴剂:体外与离体研究
Polymers (Basel). 2021 Oct 9;13(20):3455. doi: 10.3390/polym13203455.
6
Microneedle system: a modulated approach for penetration enhancement.微针系统:一种用于增强渗透的调制方法。
Drug Dev Ind Pharm. 2021 Aug;47(8):1183-1192. doi: 10.1080/03639045.2021.1992421. Epub 2021 Oct 22.
7
Recent advances in transdermal drug delivery systems: a review.经皮给药系统的最新进展:综述
Biomater Res. 2021 Jul 28;25(1):24. doi: 10.1186/s40824-021-00226-6.
8
Influence of chitosan thioglycolic acid conjugate in improving bioavailability of an antiparkinson drug; Rasagiline Mesylate from transdermal patch.壳聚糖硫代乙醇酸缀合物对提高抗帕金森药物;甲磺酸雷沙吉兰经皮贴剂生物利用度的影响。
Drug Dev Ind Pharm. 2021 Jun;47(6):963-976. doi: 10.1080/03639045.2021.1957919. Epub 2021 Aug 2.
9
Effect of Chemical Penetration Enhancer-Adhesive Interaction on Drug Release from Transdermal Patch: Mechanism Study Based on FT-IR Spectroscopy, C NMR Spectroscopy, and Molecular Simulation.化学渗透增强剂-黏合剂相互作用对透皮贴剂释药的影响:基于傅里叶变换红外光谱、C 核磁共振波谱和分子模拟的机制研究。
AAPS PharmSciTech. 2021 Jun 30;22(5):198. doi: 10.1208/s12249-021-02055-1.
10
Co-delivery of methotrexate and nicotinamide by cerosomes for topical psoriasis treatment with enhanced efficacy.通过角质体共递送甲氨蝶呤和烟酰胺治疗银屑病,增强疗效。
Int J Pharm. 2021 Aug 10;605:120826. doi: 10.1016/j.ijpharm.2021.120826. Epub 2021 Jun 24.