Suppr超能文献

标准化牙科复合材料人工老化方案的第一步——基础方案评估。

The First Step in Standardizing an Artificial Aging Protocol for Dental Composites-Evaluation of Basic Protocols.

机构信息

University Laboratory of Materials Research, Medical University of Lodz, 92-213 Lodz, Poland.

"DynamoLab" Academic Laboratory of Movement and Human Physical Performance, Medical University of Lodz, 92-213 Lodz, Poland.

出版信息

Molecules. 2022 May 30;27(11):3511. doi: 10.3390/molecules27113511.

Abstract

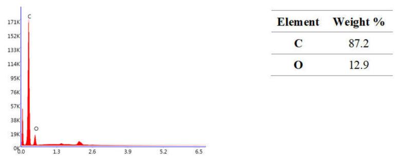
The clinical performance of a dental restoration is strongly influenced by the complex and dynamically-changing oral environment; however, no standard procedure exists to evaluate this lifetime. This research provides an in-depth analysis of the effect of different aging procedures on the flexural strength (FS), diametral tensile strength (DTS) and hardness (HV) of selected dental materials (Resin F, Flow-Art and Arkon). Material structure was evaluated by scanning electron microscopy. It was found that each aging protocol had some influence on the tested properties, with continual erosion and degradation being observed. Greater mechanical degradation was observed for Resin F (neat resin) after the applied aging protocols, suggesting that a resin matrix is more susceptible for degradation. The most aggressive aging protocol was Protocol 5: 0.1 M NaOH, seven days, 60 °C. Further studies on the effect of artificial aging on dental materials should include a study of the thermal and chemical factors. A standardized aging procedure is crucial for improving the resistance of dental resin composite to oral conditions and their clinical performance.

摘要

牙科修复体的临床性能受复杂且动态变化的口腔环境影响很大;然而,目前尚无评估其使用寿命的标准程序。本研究深入分析了不同老化程序对选定牙科材料(Resin F、Flow-Art 和 Arkon)的弯曲强度(FS)、直径拉伸强度(DTS)和硬度(HV)的影响。通过扫描电子显微镜评估了材料结构。结果发现,每种老化方案都对测试性能有一定影响,持续出现侵蚀和降解现象。在应用老化方案后,Resin F(纯树脂)的机械降解更为严重,这表明树脂基质更容易降解。最具侵蚀性的老化方案是 Protocol 5:0.1 M NaOH,七天,60°C。关于人工老化对牙科材料的影响的进一步研究应包括对热和化学因素的研究。标准化的老化程序对于提高牙科树脂复合材料对口腔环境及其临床性能的抵抗力至关重要。

https://cdn.ncbi.nlm.nih.gov/pmc/blobs/f919/9182013/20c61761f7ca/molecules-27-03511-g0A1.jpg

文献检索

告别复杂PubMed语法,用中文像聊天一样搜索,搜遍4000万医学文献。AI智能推荐,让科研检索更轻松。

立即免费搜索

文件翻译

保留排版,准确专业,支持PDF/Word/PPT等文件格式,支持 12+语言互译。

免费翻译文档

深度研究

AI帮你快速写综述,25分钟生成高质量综述,智能提取关键信息,辅助科研写作。

立即免费体验