Suppr超能文献

基于小波的旋转弹气动控制气动系数确定的辨识。

Wavelet-Based Identification for Spinning Projectile with Gasodynamic Control Aerodynamic Coefficients Determination.

机构信息

Institute of Aeronautics and Applied Mechanics, Warsaw University of Technology, 00-665 Warsaw, Poland.

出版信息

Sensors (Basel). 2022 May 27;22(11):4090. doi: 10.3390/s22114090.

Abstract

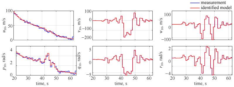
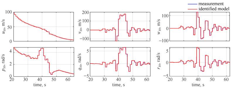
Identification of a spinning projectile controlled with gasodynamic engines is shown in this paper. A missile model with a measurement inertial unit was developed from Newton's law of motion and its aerodynamic coefficients were identified. This was achieved by applying the maximum likelihood principle in the wavelet domain. To assess the results, this was also performed in the time domain. The outcomes were obtained for two cases: when noise was not present and when it was included in the data. In all cases, the identification was performed in the passive mode, i.e., no special system identification experiments were designed. In the noise-free case, aerodynamic coefficients were estimated with high accuracy. When noise was included in the data, the wavelet-based estimates had a drop in their accuracy, but were still very accurate, whereas for the time domain approach the estimates were considered inaccurate.

摘要

本文展示了使用气动发动机控制旋转弹丸的识别方法。从牛顿运动定律出发,开发了带有测量惯性单元的导弹模型,并通过在小波域中应用最大似然原理来识别其空气动力学系数。为了评估结果,还在时域中进行了同样的操作。针对两种情况(无噪声和存在噪声时)进行了结果评估。在所有情况下,识别都是在被动模式下进行的,即没有设计特殊的系统识别实验。在无噪声的情况下,空气动力学系数的估计具有很高的准确性。当数据中包含噪声时,基于小波的估计准确性会下降,但仍然非常准确,而对于时域方法,估计则被认为是不准确的。

https://cdn.ncbi.nlm.nih.gov/pmc/blobs/4cd9/9185651/a7ce97432a24/sensors-22-04090-g001a.jpg

文献AI研究员

20分钟写一篇综述,助力文献阅读效率提升50倍。

立即体验

用中文搜PubMed

大模型驱动的PubMed中文搜索引擎

马上搜索

文档翻译

学术文献翻译模型,支持多种主流文档格式。

立即体验