Suppr超能文献

在中国南方的一家单中心回顾性队列研究中,探讨了腹膜透析第一年技术失败的发生率和相关风险因素。

Incidence and Risk Factors Associated with Technique Failure in the First Year of Peritoneal Dialysis: A Single Center Retrospective Cohort Study in Southern China.

机构信息

Department of Nephrology, The First Affiliated Hospital, Sun Yat-Sen University, Guangzhou, China.

Key Laboratory of Nephrology, National Health Commission and Guangdong Province, Guangzhou, People's Republic of China.

出版信息

BMC Nephrol. 2022 Jun 11;23(1):207. doi: 10.1186/s12882-022-02833-4.

Abstract

BACKGROUND

Technique failure is more likely to occur during the first 12 months after peritoneal dialysis (PD) initiation, which is a great challenge encountered in PD patients. The aim of this study was to investigate the incidence and risk factors associated with technique failure within the first year of PD patients in Southern China.

METHODS

Incident PD patients who were followed up for at least one year at The First Affiliated Hospital of Sun Yat-sen University from January 1, 2006 to December 31, 2015 were included. Technique failure was defined as transferring to hemodialysis (HD) for more than 30 days or death within the first year after start of PD. A competitive risk regression analysis was used to explore the incidence and risk factors of the technique failure.

RESULTS

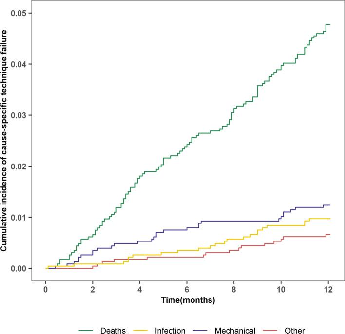
Overall, 2,290 incident PD patients were included in this study, with a mean age of 48.2 ± 15.7 years, 40.9% female and 25.2% with diabetes. A total of 173 patients (7.5%) had technique failure during the first year of PD. Among them, the patient death account for 62.4% (n = 108) and transferring to HD account for 37.6% (n = 65). The main reasons for death were cardiovascular diseases (n = 32, 29.6%), infection (n = 15, 13.8%) and for conversion to HD were mechanical cause (n = 28, 43.1%), infection cause (n = 22, 33.8%). The risk factors for the technique failure included advanced age (HR 2.78, 95%CI 1.82-4.30), low body mass index (BMI < 18.5 kg/m: HR 1.77, 95%CI 1.17-2.67), history of congestive heart failure (HR 2.81, 95%CI 1.58-4.98), or time on HD before PD ≤ 3 months (HR 1.49, 95%CI 1.05-2.10), peritonitis (HR 2.02, 95%CI 1.36-3.01);while higher serum albumin (HR 0.93, 95%CI 0.89-0.96) and using employee medical insurance to pay expenses (HR 0.47, 95%CI 0.32-0.69) were associated with reduced risk.

CONCLUSIONS

Advanced age, poor nutritional status, history of HD or congestive heart failure, and peritonitis are related factors that increase the risk of technique failure in the first year of PD, while patients' type of medical insurance may also have an influence on early technique failure.

摘要

背景

腹膜透析(PD)启动后前 12 个月更容易发生技术失败,这是 PD 患者面临的巨大挑战。本研究旨在探讨中国南方 PD 患者在 PD 启动后 1 年内技术失败的发生率和相关风险因素。

方法

纳入 2006 年 1 月 1 日至 2015 年 12 月 31 日期间在中山大学附属第一医院至少随访 1 年的首发 PD 患者。技术失败定义为 PD 启动后 30 天以上转为血液透析(HD)或死亡。采用竞争风险回归分析探讨技术失败的发生率和风险因素。

结果

本研究共纳入 2290 例首发 PD 患者,平均年龄为 48.2±15.7 岁,女性占 40.9%,糖尿病占 25.2%。PD 启动后 1 年内,共有 173 例(7.5%)患者发生技术失败。其中,患者死亡占 62.4%(n=108),转为 HD 占 37.6%(n=65)。死亡的主要原因是心血管疾病(n=32,29.6%)、感染(n=15,13.8%),转为 HD 的主要原因是机械原因(n=28,43.1%)、感染原因(n=22,33.8%)。技术失败的风险因素包括高龄(HR 2.78,95%CI 1.82-4.30)、低体重指数(BMI<18.5kg/m:HR 1.77,95%CI 1.17-2.67)、充血性心力衰竭史(HR 2.81,95%CI 1.58-4.98)或 PD 前 HD 时间≤3 个月(HR 1.49,95%CI 1.05-2.10)、腹膜炎(HR 2.02,95%CI 1.36-3.01);而血清白蛋白较高(HR 0.93,95%CI 0.89-0.96)和使用职工医疗保险支付费用(HR 0.47,95%CI 0.32-0.69)与降低风险相关。

结论

高龄、营养状况差、HD 或充血性心力衰竭史和腹膜炎是 PD 启动后 1 年内技术失败风险增加的相关因素,而患者的医疗保险类型也可能对早期技术失败有影响。

https://cdn.ncbi.nlm.nih.gov/pmc/blobs/f6ac/9188716/685c3bbe66f0/12882_2022_2833_Fig1_HTML.jpg

文献AI研究员

20分钟写一篇综述,助力文献阅读效率提升50倍。

立即体验

用中文搜PubMed

大模型驱动的PubMed中文搜索引擎

马上搜索

文档翻译

学术文献翻译模型,支持多种主流文档格式。

立即体验