Suppr超能文献

SARS-CoV-2 和牛冠状病毒在生活环境常见表面上的存活情况。

Survival of SARS-CoV-2 and bovine coronavirus on common surfaces of living environments.

机构信息

Division of Microbiology, National Institute of Health Sciences, Kanagawa, 210-9501, Japan.

Division of Environmental Chemistry, National Institute of Health Sciences, Kanagawa, 210-9501, Japan.

出版信息

Sci Rep. 2022 Jun 23;12(1):10624. doi: 10.1038/s41598-022-14552-9.

Abstract

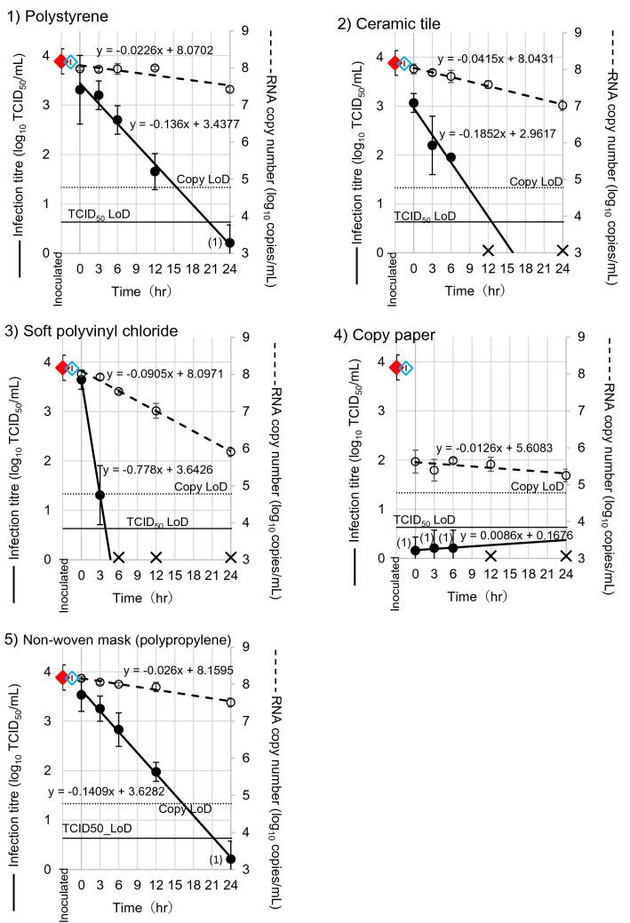
Aerosols or saliva containing severe acute respiratory syndrome coronavirus 2 (SARS-CoV-2) can contaminate living environments, and viruses can be indirectly transmitted. To understand the survival potential of the virus, the viral titers of bovine coronavirus (BCoV), as a model virus, and SARS-CoV-2 were measured on porous and non-porous surfaces. The amount of infectious BCoV recovered remained relatively high on non-porous substrates. However, it quickly decreased on several non-porous surfaces such as nitrile rubber. The time taken to reach the limit of detection on non-woven masks, as a porous substrate, was longer than that of non-porous substrates. On porous substrates other than non-woven masks, the amount of virus recovered quickly decreased, and then remained at a low level. Representative substrates were tested with SARS-CoV-2. The decrease in the amount of infectious virus recovered was similar to that of BCoV, although that of SARS-CoV-2 was more rapid. RNA derived from SARS-CoV-2 was also detected using real-time PCR, and it remained on surfaces much longer than infectious virus, on all substrates. Therefore, it is important to measure the viral titer to avoid the overestimation of infectious virus contamination in the environments. Our results suggest that the surface structure was not directly related to viral survivability.

摘要

含有严重急性呼吸系统综合征冠状病毒 2(SARS-CoV-2)的气溶胶或唾液会污染生活环境,病毒可以间接传播。为了了解病毒的存活潜力,我们测量了牛冠状病毒(BCoV)作为模型病毒和 SARS-CoV-2 在多孔和非多孔表面上的病毒滴度。在非多孔基质上,传染性 BCoV 的回收量相对较高。然而,它在几种非多孔表面(如丁腈橡胶)上迅速减少。在非织造口罩等多孔基质上达到检测限所需的时间长于非多孔基质。在非织造口罩以外的多孔基质上,回收的病毒量迅速减少,然后保持在低水平。我们用 SARS-CoV-2 测试了代表性的基质。回收的传染性病毒量减少与 BCoV 相似,尽管 SARS-CoV-2 的减少速度更快。使用实时 PCR 还检测到了 SARS-CoV-2 的 RNA,它在所有基质上都比传染性病毒在表面上存在的时间长得多。因此,测量病毒滴度以避免对环境中传染性病毒污染的高估很重要。我们的结果表明,表面结构与病毒的存活能力没有直接关系。

https://cdn.ncbi.nlm.nih.gov/pmc/blobs/3568/9226348/88dba505b9c0/41598_2022_14552_Fig1_HTML.jpg

文献AI研究员

20分钟写一篇综述,助力文献阅读效率提升50倍。

立即体验

用中文搜PubMed

大模型驱动的PubMed中文搜索引擎

马上搜索

文档翻译

学术文献翻译模型,支持多种主流文档格式。

立即体验