• 文献检索
  • 文档翻译
  • 深度研究
  • 学术资讯
  • Suppr Zotero 插件Zotero 插件
  • 邀请有礼
  • 套餐&价格
  • 历史记录
应用&插件
Suppr Zotero 插件Zotero 插件浏览器插件Mac 客户端Windows 客户端微信小程序
定价
高级版会员购买积分包购买API积分包
服务
文献检索文档翻译深度研究API 文档MCP 服务
关于我们
关于 Suppr公司介绍联系我们用户协议隐私条款
关注我们

Suppr 超能文献

核心技术专利:CN118964589B侵权必究
粤ICP备2023148730 号-1Suppr @ 2026

文献检索

告别复杂PubMed语法,用中文像聊天一样搜索,搜遍4000万医学文献。AI智能推荐,让科研检索更轻松。

立即免费搜索

文件翻译

保留排版,准确专业,支持PDF/Word/PPT等文件格式,支持 12+语言互译。

免费翻译文档

深度研究

AI帮你快速写综述,25分钟生成高质量综述,智能提取关键信息,辅助科研写作。

立即免费体验

哺乳期饮食改善可使饮食诱导肥胖大鼠乳腺中miR-26a、miR-222和miR-484水平恢复正常,但乳汁中的这些水平未恢复正常。

Dietary Improvement during Lactation Normalizes miR-26a, miR-222 and miR-484 Levels in the Mammary Gland, but Not in Milk, of Diet-Induced Obese Rats.

作者信息

Pomar Catalina A, Castillo Pedro, Palou Andreu, Palou Mariona, Picó Catalina

机构信息

Laboratory of Molecular Biology, Nutrition and Biotechnology, Group of Nutrigenomics, Biomarkers and Risk Evaluation, University of the Balearic Islands, 07122 Palma, Spain.

Health Research Institute of the Balearic Islands (IdISBa), 07010 Palma, Spain.

出版信息

Biomedicines. 2022 May 31;10(6):1292. doi: 10.3390/biomedicines10061292.

DOI:10.3390/biomedicines10061292
PMID:35740314
原文链接:https://pmc.ncbi.nlm.nih.gov/articles/PMC9219892/
Abstract

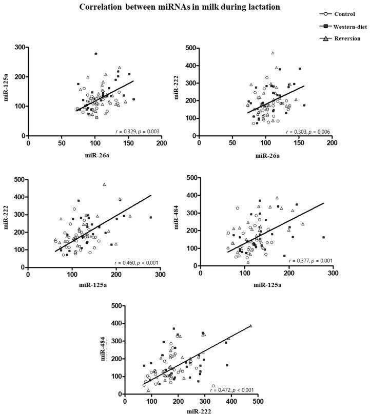
We aimed to evaluate in rats whether the levels of specific miRNA are altered in the mammary gland (MG) and milk of diet-induced obese dams, and whether improving maternal nutrition during lactation attenuates such alterations. Dams fed with a standard diet (SD) (control group), with a Western diet (WD) prior to and during gestation and lactation (WD group), or with WD prior to and during gestation but moved to SD during lactation (Rev group) were followed. The WD group showed higher miR-26a, miR-222 and miR-484 levels than the controls in the MG, but the miRNA profile in Rev animals was not different from those of the controls. The WD group also displayed higher miR-125a levels than the Rev group. Dams of the WD group, but not the Rev group, displayed lower mRNA expression levels of (miR-26a's target) and (miR-125a's target) than the controls in the MG. The WD group also presented lower expression of (miR-26a's target) and (miR-222's target) than the Rev group. However, both WD and Rev animals displayed lower expression of (miR-484's target) than the controls. WD animals also showed greater miR-26a, miR-125a and miR-222 levels in the milk than the controls, but no differences were found between the WD and Rev groups. Thus, implementation of a healthy diet during lactation normalizes the expression levels of specific miRNAs and some target genes in the MG of diet-induced obese dams but not in milk.

摘要

我们旨在评估在饮食诱导肥胖的母鼠中,乳腺(MG)和乳汁中特定微小RNA(miRNA)的水平是否发生改变,以及哺乳期改善母体营养是否能减轻这些改变。对喂食标准饮食(SD)的母鼠(对照组)、在妊娠和哺乳期喂食西式饮食(WD)的母鼠(WD组),或在妊娠和哺乳期前期喂食WD但在哺乳期改为SD的母鼠(Rev组)进行跟踪观察。WD组母鼠乳腺中miR-26a、miR-222和miR-484的水平高于对照组,但Rev组动物的miRNA谱与对照组无差异。WD组母鼠miR-125a的水平也高于Rev组。WD组母鼠乳腺中(miR-26a的靶基因)和(miR-125a的靶基因)的mRNA表达水平低于对照组,但Rev组无此现象。WD组母鼠(miR-26a的靶基因)和(miR-222的靶基因)的表达也低于Rev组。然而,WD组和Rev组动物(miR-484的靶基因)的表达均低于对照组。WD组动物乳汁中miR-26a、miR-125a和miR-222的水平也高于对照组,但WD组和Rev组之间无差异。因此,哺乳期实施健康饮食可使饮食诱导肥胖母鼠乳腺中特定miRNA及其一些靶基因的表达水平恢复正常,但乳汁中的表达水平无此变化。

https://cdn.ncbi.nlm.nih.gov/pmc/blobs/6954/9219892/719aaf334e22/biomedicines-10-01292-g004.jpg
https://cdn.ncbi.nlm.nih.gov/pmc/blobs/6954/9219892/792d02c9a5ca/biomedicines-10-01292-g001.jpg
https://cdn.ncbi.nlm.nih.gov/pmc/blobs/6954/9219892/b4da07887d2b/biomedicines-10-01292-g002.jpg
https://cdn.ncbi.nlm.nih.gov/pmc/blobs/6954/9219892/199cb8c9a824/biomedicines-10-01292-g003.jpg
https://cdn.ncbi.nlm.nih.gov/pmc/blobs/6954/9219892/719aaf334e22/biomedicines-10-01292-g004.jpg
https://cdn.ncbi.nlm.nih.gov/pmc/blobs/6954/9219892/792d02c9a5ca/biomedicines-10-01292-g001.jpg
https://cdn.ncbi.nlm.nih.gov/pmc/blobs/6954/9219892/b4da07887d2b/biomedicines-10-01292-g002.jpg
https://cdn.ncbi.nlm.nih.gov/pmc/blobs/6954/9219892/199cb8c9a824/biomedicines-10-01292-g003.jpg
https://cdn.ncbi.nlm.nih.gov/pmc/blobs/6954/9219892/719aaf334e22/biomedicines-10-01292-g004.jpg

相似文献

1
Dietary Improvement during Lactation Normalizes miR-26a, miR-222 and miR-484 Levels in the Mammary Gland, but Not in Milk, of Diet-Induced Obese Rats.哺乳期饮食改善可使饮食诱导肥胖大鼠乳腺中miR-26a、miR-222和miR-484水平恢复正常,但乳汁中的这些水平未恢复正常。
Biomedicines. 2022 May 31;10(6):1292. doi: 10.3390/biomedicines10061292.
2
Implementation of a healthy diet to lactating rats attenuates the early detrimental programming effects in the offspring born to obese dams. Putative relationship with milk hormone levels.给哺乳期大鼠实施健康饮食可减弱肥胖母鼠所生后代的早期有害发育编程效应。与乳中激素水平的潜在关系。
J Nutr Biochem. 2022 Sep;107:109043. doi: 10.1016/j.jnutbio.2022.109043. Epub 2022 May 13.
3
Reverting to a Healthy Diet during Lactation Normalizes Maternal Milk Lipid Content of Diet-Induced Obese Rats and Prevents Early Alterations in the Plasma Lipidome of the Offspring.哺乳期恢复健康饮食可使饮食诱导肥胖大鼠的母乳脂质含量正常化,并防止后代血浆脂质组的早期改变。
Mol Nutr Food Res. 2022 Sep;66(17):e2200204. doi: 10.1002/mnfr.202200204. Epub 2022 Jul 13.
4
Stachydrine, N-acetylornithine and trimethylamine N-oxide levels as candidate milk biomarkers of maternal consumption of an obesogenic diet during lactation.水苏碱、N-乙酰鸟氨酸和氧化三甲胺水平作为哺乳期母亲摄入致肥胖饮食的潜在乳汁生物标志物。
Biofactors. 2023 Sep-Oct;49(5):1022-1037. doi: 10.1002/biof.1974. Epub 2023 May 25.
5
Cafeteria Diet Consumption during Lactation in Rats, Rather than Obesity Per Se, alters miR-222, miR-200a, and miR-26a Levels in Milk.哺乳期大鼠的自助餐厅饮食消费,而非肥胖本身,会改变乳汁中的 miR-222、miR-200a 和 miR-26a 水平。
Mol Nutr Food Res. 2019 Apr;63(8):e1800928. doi: 10.1002/mnfr.201800928. Epub 2019 Feb 7.
6
Lower miR-26a levels in breastmilk affect gene expression in adipose tissue of offspring.母乳中较低水平的 miR-26a 会影响后代脂肪组织中的基因表达。
FASEB J. 2021 Oct;35(10):e21924. doi: 10.1096/fj.202100623R.
7
Maternal diet, rather than obesity itself, has a main influence on milk triacylglycerol profile in dietary obese rats.母亲的饮食,而不是肥胖本身,对饮食肥胖大鼠的乳汁三酰甘油谱有主要影响。
Biochim Biophys Acta Mol Cell Biol Lipids. 2020 Feb;1865(2):158556. doi: 10.1016/j.bbalip.2019.158556. Epub 2019 Oct 31.
8
Maternal western-style diet enhances the effects of chemically-induced mammary tumors in female rat offspring through transcriptome changes.西式母体饮食通过转录组变化增强化学诱导的雌性大鼠后代乳腺肿瘤的效应。
Nutr Res. 2019 Jan;61:41-52. doi: 10.1016/j.nutres.2018.09.009. Epub 2018 Oct 2.
9
Impact of maternal obesity and prebiotic supplementation on select maternal milk microRNA levels and correlation with offspring outcomes.母体肥胖和益生菌补充对特定母乳 microRNA 水平的影响及其与后代结局的相关性。
Br J Nutr. 2022 Feb 14;127(3):335-343. doi: 10.1017/S0007114521001197. Epub 2021 Apr 5.
10
A maternal Western diet during gestation and lactation modifies offspring's microbiota activity, blood lipid levels, cognitive responses, and hippocampal neurogenesis in Yucatan pigs.在妊娠期和哺乳期给予母本西式饮食会改变尤卡坦猪后代的微生物群活性、血脂水平、认知反应和海马体神经发生。
FASEB J. 2017 May;31(5):2037-2049. doi: 10.1096/fj.201601015R. Epub 2017 Feb 6.

引用本文的文献

1
Impact of Western diet on milk miRNAs and target genes in offspring adipose tissue: modulation by betaine during suckling.西方饮食对后代脂肪组织中牛奶微小RNA及靶基因的影响:哺乳期甜菜碱的调节作用
Obesity (Silver Spring). 2025 Apr;33(4):732-742. doi: 10.1002/oby.24246. Epub 2025 Mar 2.
2
Early Life Programming of Adipose Tissue Remodeling and Browning Capacity by Micronutrients and Bioactive Compounds as a Potential Anti-Obesity Strategy.微量营养素和生物活性化合物对脂肪组织重塑和棕色化能力的早期生活编程作为一种潜在的抗肥胖策略。
Cells. 2024 May 18;13(10):870. doi: 10.3390/cells13100870.
3
miRNAs: From Master Regulators of Gene Expression to Biomarkers Involved in Intercellular Communication.

本文引用的文献

1
Implementation of a healthy diet to lactating rats attenuates the early detrimental programming effects in the offspring born to obese dams. Putative relationship with milk hormone levels.给哺乳期大鼠实施健康饮食可减弱肥胖母鼠所生后代的早期有害发育编程效应。与乳中激素水平的潜在关系。
J Nutr Biochem. 2022 Sep;107:109043. doi: 10.1016/j.jnutbio.2022.109043. Epub 2022 May 13.
2
Identification and Validation of miR-222-3p and miR-409-3p as Plasma Biomarkers in Gestational Diabetes Mellitus Sharing Validated Target Genes Involved in Metabolic Homeostasis.鉴定和验证 miR-222-3p 和 miR-409-3p 作为妊娠期糖尿病的血浆生物标志物,它们具有经证实的参与代谢稳态的靶基因。
Int J Mol Sci. 2022 Apr 12;23(8):4276. doi: 10.3390/ijms23084276.
3
微小RNA:从基因表达的主要调节因子到参与细胞间通讯的生物标志物
Biomedicines. 2024 Mar 25;12(4):721. doi: 10.3390/biomedicines12040721.
4
How Does Nutrition Affect the Epigenetic Changes in Dairy Cows?营养如何影响奶牛的表观遗传变化?
Animals (Basel). 2023 Jun 5;13(11):1883. doi: 10.3390/ani13111883.
5
Milk Exosomal microRNAs: Postnatal Promoters of β Cell Proliferation but Potential Inducers of β Cell De-Differentiation in Adult Life.牛奶外泌体 microRNAs:促进β 细胞增殖的产后启动子,但在成年生活中可能诱导β 细胞去分化。
Int J Mol Sci. 2022 Sep 29;23(19):11503. doi: 10.3390/ijms231911503.
Targeted delivery of exosomal miR-484 reprograms tumor vasculature for chemotherapy sensitization.
外泌体 miR-484 的靶向递送重编程肿瘤血管以增强化疗敏感性。
Cancer Lett. 2022 Apr 1;530:45-58. doi: 10.1016/j.canlet.2022.01.011. Epub 2022 Jan 18.
4
Plasma Exosome-Enriched Extracellular Vesicles From Lactating Mothers With Type 1 Diabetes Contain Aberrant Levels of miRNAs During the Postpartum Period.1 型糖尿病哺乳期母亲的富含血浆外泌体的细胞外囊泡在产后期间含有异常水平的 miRNAs。
Front Immunol. 2021 Oct 8;12:744509. doi: 10.3389/fimmu.2021.744509. eCollection 2021.
5
Lower miR-26a levels in breastmilk affect gene expression in adipose tissue of offspring.母乳中较低水平的 miR-26a 会影响后代脂肪组织中的基因表达。
FASEB J. 2021 Oct;35(10):e21924. doi: 10.1096/fj.202100623R.
6
Nutritional Regulation of Mammary Gland Development and Milk Synthesis in Animal Models and Dairy Species.动物模型和奶牛物种中乳腺发育和乳汁合成的营养调控。
Genes (Basel). 2021 Apr 3;12(4):523. doi: 10.3390/genes12040523.
7
Epigenetics: New Insights into Mammary Gland Biology.表观遗传学:乳腺生物学的新见解。
Genes (Basel). 2021 Feb 5;12(2):231. doi: 10.3390/genes12020231.
8
Circulating miRNA Signatures Associated with Insulin Resistance in Adolescents with Obesity.与肥胖青少年胰岛素抵抗相关的循环miRNA特征
Diabetes Metab Syndr Obes. 2020 Dec 10;13:4929-4939. doi: 10.2147/DMSO.S273908. eCollection 2020.
9
Silenced microRNA-222 suppresses inflammatory response in gestational diabetes mellitus mice by promoting CXCR4.沉默 microRNA-222 通过促进 CXCR4 抑制妊娠期糖尿病小鼠的炎症反应。
Life Sci. 2021 Feb 1;266:118850. doi: 10.1016/j.lfs.2020.118850. Epub 2020 Dec 2.
10
The crucial choice of reference genes: identification of miR-191-5p for normalization of miRNAs expression in bone marrow mesenchymal stromal cell and HS27a/HS5 cell lines.参考基因的关键选择:鉴定miR-191-5p用于骨髓间充质基质细胞和HS27a/HS5细胞系中miRNAs表达的标准化。
Sci Rep. 2020 Oct 20;10(1):17728. doi: 10.1038/s41598-020-74685-7.