Suppr超能文献

三叉微通道内多相流的研究——一个基准问题

Investigation of Multiphase Flow in a Trifurcation Microchannel-A Benchmark Problem.

作者信息

Chiriac Eugen, Avram Marioara, Balan Corneliu

机构信息

Laboratory for Micro- and Nano- Fluidics- L10, National Institute for R&D in Microtechnologies-IMT Bucharest, 126A, Erou Iancu Nicolae Street, Ilfov, 077190 Voluntari, Romania.

REOROM Laboratory, Faculty of Power Engineering, University "Politehnica" of Bucharest, 313, Splaiul Independenței, Sector 6, 060042 Bucharest, Romania.

出版信息

Micromachines (Basel). 2022 Jun 20;13(6):974. doi: 10.3390/mi13060974.

Abstract

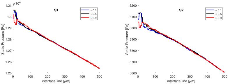
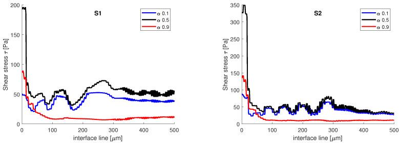
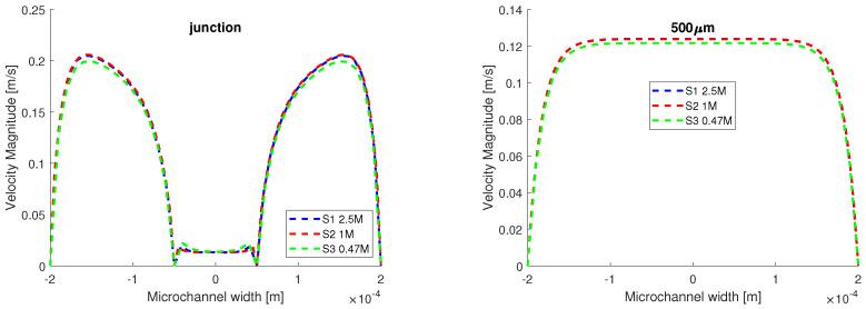
The evolution of an interface between two immiscible liquids in a three-branch symmetric microchannel is numerically and experimentally investigated. The main goals of the paper are to correlate the numeric data with the experimental results for the tested flow case and to assess the quality of the VOF procedure to trace the interface using the Fluent commercial code. The focus of the experiments was to characterize the dynamics of the oil-water interface formed in the vicinity of the bifurcation, at the entrance in the main microchannel of 400 microns width and 50 microns height. The oil core surrounded by water is visualized and micro-PIV measurements are performed in water. Experimental results qualitatively and quantitatively confirm the 3D numerical simulations. We propose the present investigated flow as a benchmark case for the study of the interface in a branching microchannel geometry.

摘要

对三分支对称微通道中两种不混溶液体之间界面的演变进行了数值和实验研究。本文的主要目标是将数值数据与测试流动情况下的实验结果相关联,并评估使用Fluent商业代码追踪界面的VOF程序的质量。实验的重点是表征在宽度为400微米、高度为50微米的主微通道入口处的分叉附近形成的油水界面的动力学。可视化了被水包围的油核,并在水中进行了微观粒子图像测速测量。实验结果在定性和定量上证实了三维数值模拟。我们提出将目前研究的流动作为研究分支微通道几何形状中界面的基准案例。

https://cdn.ncbi.nlm.nih.gov/pmc/blobs/c153/9228361/23e4ab858a8c/micromachines-13-00974-g001.jpg

相似文献

1
Investigation of Multiphase Flow in a Trifurcation Microchannel-A Benchmark Problem.
Micromachines (Basel). 2022 Jun 20;13(6):974. doi: 10.3390/mi13060974.
2
Electrokinetic motion of a spherical micro particle at an oil-water interface in microchannel.
Electrophoresis. 2018 Mar;39(5-6):807-815. doi: 10.1002/elps.201700289. Epub 2017 Oct 4.
3
Immiscible displacement of oil by water in a microchannel: asymmetric flow behavior and nonlinear stability analysis of core-annular flow.
Phys Rev E Stat Nonlin Soft Matter Phys. 2012 Feb;85(2 Pt 2):026309. doi: 10.1103/PhysRevE.85.026309. Epub 2012 Feb 8.
5
Interface Dynamics and the Influence of Gravity on Droplet Generation in a Y-microchannel.
Micromachines (Basel). 2022 Nov 10;13(11):1941. doi: 10.3390/mi13111941.
6
Implementation of two multiphase flow methods in modeling wetting of microporous hydrophobic membranes.
Sci Total Environ. 2019 Nov 15;691:1251-1261. doi: 10.1016/j.scitotenv.2019.07.232. Epub 2019 Jul 16.
7
Formation of Vortices in Idealised Branching Vessels: A CFD Benchmark Study.
Cardiovasc Eng Technol. 2020 Oct;11(5):544-559. doi: 10.1007/s13239-020-00477-9. Epub 2020 Jul 14.
9
Numerical Model Validation of the Blood Flow through a Microchannel Hyperbolic Contraction.
Micromachines (Basel). 2023 Sep 30;14(10):1886. doi: 10.3390/mi14101886.
10
Electrokinetic Effect of a Two-Liquid Interface within a Slit Microchannel.
Langmuir. 2023 Dec 5;39(48):17529-17537. doi: 10.1021/acs.langmuir.3c02890. Epub 2023 Nov 17.

引用本文的文献

1
Behind the Non-Uniform Breakup of Bubble Slug in Y-Shaped Microchannel: Dynamics and Mechanisms.
Micromachines (Basel). 2024 May 24;15(6):695. doi: 10.3390/mi15060695.
2
Red Blood Cells' Area Deformation as the Origin of the Photoplethysmography Signal.
Sensors (Basel). 2023 Nov 30;23(23):9515. doi: 10.3390/s23239515.
3
MicroSweat: A Wearable Microfluidic Patch for Noninvasive and Reliable Sweat Collection Enables Human Stress Monitoring.
Adv Sci (Weinh). 2023 Mar;10(7):e2204171. doi: 10.1002/advs.202204171. Epub 2022 Dec 3.
4
Interface Dynamics and the Influence of Gravity on Droplet Generation in a Y-microchannel.
Micromachines (Basel). 2022 Nov 10;13(11):1941. doi: 10.3390/mi13111941.

本文引用的文献

2
Generation and Dynamics of Janus Droplets in Shear-Thinning Fluid Flow in a Double Y-Type Microchannel.
Micromachines (Basel). 2021 Feb 3;12(2):149. doi: 10.3390/mi12020149.
3
Recent Advances in Microfluidic Technology for Bioanalysis and Diagnostics.
Anal Chem. 2021 Jan 12;93(1):311-331. doi: 10.1021/acs.analchem.0c04366. Epub 2020 Nov 10.
4
Individual Control and Quantification of 3D Spheroids in a High-Density Microfluidic Droplet Array.
Cell Rep. 2020 May 26;31(8):107670. doi: 10.1016/j.celrep.2020.107670.
5
An integrated microfluidic platform for selective and real-time detection of thrombin biomarkers using a graphene FET.
Analyst. 2020 Jul 7;145(13):4494-4503. doi: 10.1039/d0an00251h. Epub 2020 May 13.
7
Transport of a Micro Liquid Plug in a Gas-Phase Flow in a Microchannel.
Micromachines (Basel). 2018 Aug 23;9(9):423. doi: 10.3390/mi9090423.
8
A multicellular spheroid array to realize spheroid formation, culture, and viability assay on a chip.
Biomaterials. 2007 Jan;28(3):559-66. doi: 10.1016/j.biomaterials.2006.08.054. Epub 2006 Sep 20.

文献AI研究员

20分钟写一篇综述,助力文献阅读效率提升50倍。

立即体验

用中文搜PubMed

大模型驱动的PubMed中文搜索引擎

马上搜索

文档翻译

学术文献翻译模型,支持多种主流文档格式。

立即体验