• 文献检索
  • 文档翻译
  • 深度研究
  • 学术资讯
  • Suppr Zotero 插件Zotero 插件
  • 邀请有礼
  • 套餐&价格
  • 历史记录
应用&插件
Suppr Zotero 插件Zotero 插件浏览器插件Mac 客户端Windows 客户端微信小程序
定价
高级版会员购买积分包购买API积分包
服务
文献检索文档翻译深度研究API 文档MCP 服务
关于我们
关于 Suppr公司介绍联系我们用户协议隐私条款
关注我们

Suppr 超能文献

核心技术专利:CN118964589B侵权必究
粤ICP备2023148730 号-1Suppr @ 2026

文献检索

告别复杂PubMed语法,用中文像聊天一样搜索,搜遍4000万医学文献。AI智能推荐,让科研检索更轻松。

立即免费搜索

文件翻译

保留排版,准确专业,支持PDF/Word/PPT等文件格式,支持 12+语言互译。

免费翻译文档

深度研究

AI帮你快速写综述,25分钟生成高质量综述,智能提取关键信息,辅助科研写作。

立即免费体验

螯合超支化聚酯纳米粒子的合成与表征及其对水中 Cd(II)离子的去除。

Synthesis and Characterization of Chelating Hyperbranched Polyester Nanoparticles for Cd(II) Ion Removal from Water.

机构信息

Faculty of Science Arts and Sciences, Middle East University, Amman 11610, Jordan.

Department of Chemistry, Faculty of Science, The University of Jordan, Amman 1118, Jordan.

出版信息

Molecules. 2022 Jun 7;27(12):3656. doi: 10.3390/molecules27123656.

DOI:10.3390/molecules27123656
PMID:35744784
原文链接:https://pmc.ncbi.nlm.nih.gov/articles/PMC9231149/
Abstract

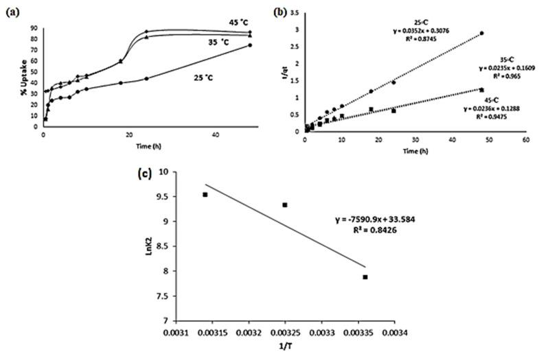
Chelating hyperbranched polyester (CHPE) nanoparticles have become an attractive new material family for developing high-capacity nanoscale chelating agents with highly branched structures and many functional groups in the main chains and end groups that can be used to remove heavy metals from water. In this study, a hyperbranched polyester with a particle size of 180-643 nm was synthesized with A+B interfacial polymerization, using dimethylmalonyl chloride as the difunctional monomer (A) and 1,1,1-tris(4-hydroxyphenyl)ethane (THPE) as the trifunctional monomer (B). FTIR and NMR were used to characterize the CHPE and confirm the structure. The CHPE nanoparticles were generally considered hydrophilic, with an observed swelling capacity of 160.70%. The thermal properties of the CHPE nanoparticles were studied by thermal gravimetric analysis (TGA) with 1% mass loss at temperatures above 185 °C. The XRD of the CHPE nanoparticles showed a semi-crystalline pattern, as evident from the presence of peaks at positions ~18° and 20°. The nature of the surface of the CHPE was examined using SEM. Batch equilibrium was used to investigate the removal properties of the CHPE nanoparticles towards Cd(II) ions as a function of temperature, contact time, and Cd(II) concentration. The Cd(II) ion thermodynamics, kinetics, and desorption data on the CHPE nanoparticles were also studied.

摘要

螯合超支化聚酯 (CHPE) 纳米粒子已成为开发具有高度支化结构和主链和端基上许多功能基团的高容量纳米级螯合试剂的一种有吸引力的新材料家族,可用于从水中去除重金属。在这项研究中,通过 A+B 界面聚合,使用二甲基丙二酰氯作为二官能单体 (A) 和 1,1,1-三(4-羟基苯基)乙烷 (THPE) 作为三官能单体 (B),合成了粒径为 180-643nm 的超支化聚酯。FTIR 和 NMR 用于表征 CHPE 并确认结构。CHPE 纳米粒子通常被认为是亲水性的,观察到的溶胀能力为 160.70%。通过热重分析 (TGA) 研究了 CHPE 纳米粒子的热性能,在 185°C 以上的温度下,质量损失为 1%。CHPE 纳米粒子的 XRD 显示出半结晶图案,这从位置~18°和 20°处存在峰可以看出。使用 SEM 检查了 CHPE 的表面性质。批平衡用于研究 CHPE 纳米粒子对 Cd(II)离子的去除性能作为温度、接触时间和 Cd(II)浓度的函数。还研究了 Cd(II)离子在 CHPE 纳米粒子上的热力学、动力学和解吸数据。

https://cdn.ncbi.nlm.nih.gov/pmc/blobs/6975/9231149/91617ccd0db9/molecules-27-03656-g011.jpg
https://cdn.ncbi.nlm.nih.gov/pmc/blobs/6975/9231149/2d0563b4183f/molecules-27-03656-g001.jpg
https://cdn.ncbi.nlm.nih.gov/pmc/blobs/6975/9231149/f087b60d4605/molecules-27-03656-g002.jpg
https://cdn.ncbi.nlm.nih.gov/pmc/blobs/6975/9231149/d824aa5180f9/molecules-27-03656-g003.jpg
https://cdn.ncbi.nlm.nih.gov/pmc/blobs/6975/9231149/f2c2a0c2f2b1/molecules-27-03656-g004.jpg
https://cdn.ncbi.nlm.nih.gov/pmc/blobs/6975/9231149/738c114c1f0c/molecules-27-03656-g005.jpg
https://cdn.ncbi.nlm.nih.gov/pmc/blobs/6975/9231149/10b73d17ba68/molecules-27-03656-g006.jpg
https://cdn.ncbi.nlm.nih.gov/pmc/blobs/6975/9231149/315ae480053a/molecules-27-03656-g007.jpg
https://cdn.ncbi.nlm.nih.gov/pmc/blobs/6975/9231149/7345bb9775af/molecules-27-03656-g008.jpg
https://cdn.ncbi.nlm.nih.gov/pmc/blobs/6975/9231149/968def0f4b40/molecules-27-03656-g009.jpg
https://cdn.ncbi.nlm.nih.gov/pmc/blobs/6975/9231149/8b8d425a66d5/molecules-27-03656-g010.jpg
https://cdn.ncbi.nlm.nih.gov/pmc/blobs/6975/9231149/91617ccd0db9/molecules-27-03656-g011.jpg
https://cdn.ncbi.nlm.nih.gov/pmc/blobs/6975/9231149/2d0563b4183f/molecules-27-03656-g001.jpg
https://cdn.ncbi.nlm.nih.gov/pmc/blobs/6975/9231149/f087b60d4605/molecules-27-03656-g002.jpg
https://cdn.ncbi.nlm.nih.gov/pmc/blobs/6975/9231149/d824aa5180f9/molecules-27-03656-g003.jpg
https://cdn.ncbi.nlm.nih.gov/pmc/blobs/6975/9231149/f2c2a0c2f2b1/molecules-27-03656-g004.jpg
https://cdn.ncbi.nlm.nih.gov/pmc/blobs/6975/9231149/738c114c1f0c/molecules-27-03656-g005.jpg
https://cdn.ncbi.nlm.nih.gov/pmc/blobs/6975/9231149/10b73d17ba68/molecules-27-03656-g006.jpg
https://cdn.ncbi.nlm.nih.gov/pmc/blobs/6975/9231149/315ae480053a/molecules-27-03656-g007.jpg
https://cdn.ncbi.nlm.nih.gov/pmc/blobs/6975/9231149/7345bb9775af/molecules-27-03656-g008.jpg
https://cdn.ncbi.nlm.nih.gov/pmc/blobs/6975/9231149/968def0f4b40/molecules-27-03656-g009.jpg
https://cdn.ncbi.nlm.nih.gov/pmc/blobs/6975/9231149/8b8d425a66d5/molecules-27-03656-g010.jpg
https://cdn.ncbi.nlm.nih.gov/pmc/blobs/6975/9231149/91617ccd0db9/molecules-27-03656-g011.jpg

相似文献

1
Synthesis and Characterization of Chelating Hyperbranched Polyester Nanoparticles for Cd(II) Ion Removal from Water.螯合超支化聚酯纳米粒子的合成与表征及其对水中 Cd(II)离子的去除。
Molecules. 2022 Jun 7;27(12):3656. doi: 10.3390/molecules27123656.
2
Amine-terminated dendritic polymers as a multifunctional chelating agent for heavy metal ion removals.胺基树枝状聚合物作为一种多功能螯合剂,用于去除重金属离子。
Environ Sci Pollut Res Int. 2019 May;26(13):12689-12697. doi: 10.1007/s11356-019-04765-3. Epub 2019 Mar 15.
3
Characterization and Optimization of Polymeric Bispicolamine Chelating Resin: Performance Evaluation via RSM Using Copper in Acid Liquors as a Model Substrate through Ion Exchange Method.聚合物双(邻苯二亚甲基胺)螯合树脂的特性描述与优化:通过离子交换法使用酸液中的铜作为模型底物,利用 RSM 进行性能评估。
Molecules. 2022 Oct 25;27(21):7210. doi: 10.3390/molecules27217210.
4
Synthesis and characterization of hydroxyapatite nanoparticles impregnated on apple pomace to enhanced adsorption of Pb(II), Cd(II), and Ni(II) ions from aqueous solution.负载于苹果渣上的羟基磷灰石纳米颗粒的合成与表征,以增强从水溶液中吸附Pb(II)、Cd(II)和Ni(II)离子的能力。
Environ Sci Pollut Res Int. 2015 Jul;22(14):10919-29. doi: 10.1007/s11356-015-4276-2. Epub 2015 Mar 15.
5
2,4-Dinitrophenylhydrazine functionalized sodium dodecyl sulfate-coated magnetite nanoparticles for effective removal of Cd(II) and Ni(II) ions from water samples.2,4-二硝基苯肼功能化十二烷基硫酸钠包覆的磁铁矿纳米颗粒用于有效去除水样中的Cd(II)和Ni(II)离子。
Environ Monit Assess. 2015 Jul;187(7):412. doi: 10.1007/s10661-015-4635-y. Epub 2015 Jun 7.
6
Novel application of maghemite nanoparticles coated bacteria for the removal of cadmium from aqueous solution.细菌包覆的磁赤铁矿纳米粒子在水溶液中去除镉的新应用。
J Environ Manage. 2020 Mar 15;258:110038. doi: 10.1016/j.jenvman.2019.110038. Epub 2020 Jan 7.
7
One-Step Carbon Coating and Polyacrylamide Functionalization of Fe₃O₄ Nanoparticles for Enhancing Magnetic Adsorptive-Remediation of Heavy Metals.一步法碳包覆和聚丙烯酰胺功能化 Fe₃O₄ 纳米粒子用于增强重金属的磁性吸附修复。
Molecules. 2017 Nov 27;22(12):2074. doi: 10.3390/molecules22122074.
8
Enhanced heavy metal ions adsorption by 4‑aminobenzoic acid grafted on chitosan/epichlorohydrin composite: Kinetics, isotherms, thermodynamics and desorption studies.壳聚糖/表氯醇复合载体上接枝对氨基苯甲酸增强重金属离子吸附性能:动力学、等温线、热力学和脱附研究。
Int J Biol Macromol. 2019 Feb 15;123:664-676. doi: 10.1016/j.ijbiomac.2018.11.082. Epub 2018 Nov 14.
9
Ag nanoparticles immobilized sulfonated polyethersulfone/polyethersulfone electrospun nanofiber membrane for the removal of heavy metals.载银纳米颗粒的磺化聚醚砜/聚醚砜静电纺纳米纤维膜用于去除重金属。
Sci Rep. 2022 Apr 6;12(1):5814. doi: 10.1038/s41598-022-09802-9.
10
A novel and biocompatible FeO loaded chitosan polyelectrolyte nanoparticles for the removal of Cd ion.一种新型生物相容的负载 FeO 的壳聚糖聚电解质纳米粒子,用于去除 Cd 离子。
Int J Biol Macromol. 2019 Dec 1;141:1165-1174. doi: 10.1016/j.ijbiomac.2019.09.040. Epub 2019 Sep 6.

引用本文的文献

1
Synthesis of Multifunctional Hyperbranched Polymers via Atom Transfer Radical Self-Condensing Vinyl Polymerization for Applications in Polyurethane-Based Anion Exchange Membranes.通过原子转移自由基自缩合乙烯基聚合合成多功能超支化聚合物用于聚氨酯基阴离子交换膜的应用。
Polymers (Basel). 2025 Jul 13;17(14):1930. doi: 10.3390/polym17141930.
2
Synthesis and Performance of Epoxy-Terminated Hyperbranched Polymers Based on Epoxidized Soybean Oil.基于环氧化大豆油的环氧封端超支化聚合物的合成与性能
Molecules. 2025 Jan 27;30(3):583. doi: 10.3390/molecules30030583.
3
Construction of hyperbranched imprinted nanomaterials for selective adsorption of cadmium (II).

本文引用的文献

1
The Study of the Degree of Crystallinity, Electrical Equivalent Circuit, and Dielectric Properties of Polyvinyl Alcohol (PVA)-Based Biopolymer Electrolytes.基于聚乙烯醇(PVA)的生物聚合物电解质的结晶度、等效电路及介电性能研究
Polymers (Basel). 2020 Sep 24;12(10):2184. doi: 10.3390/polym12102184.
2
Removal of Heavy Metal Ion Using Polymer-Functionalized Activated Carbon: Aspects of Environmental Economic and Chemistry Education.使用聚合物功能化活性炭去除重金属离子:环境经济与化学教育方面
J Anal Methods Chem. 2020 Sep 7;2020:8887488. doi: 10.1155/2020/8887488. eCollection 2020.
3
Protein-Based Nanoparticles as Drug Delivery Systems.
用于选择性吸附镉(II)的超支化印迹纳米材料的构建
Turk J Chem. 2024 Feb 20;48(2):364-375. doi: 10.55730/1300-0527.3664. eCollection 2024.
基于蛋白质的纳米颗粒作为药物递送系统
Pharmaceutics. 2020 Jun 29;12(7):604. doi: 10.3390/pharmaceutics12070604.
4
Polymeric Nanocapsules as Nanotechnological Alternative for Drug Delivery System: Current Status, Challenges and Opportunities.聚合物纳米胶囊作为药物递送系统的纳米技术替代方案:现状、挑战与机遇
Nanomaterials (Basel). 2020 Apr 28;10(5):847. doi: 10.3390/nano10050847.
5
A Mini-Review on Anion Exchange and Chelating Polymers for Applications in Hydrometallurgy, Environmental Protection, and Biomedicine.用于湿法冶金、环境保护和生物医学的阴离子交换与螯合聚合物的综述
Polymers (Basel). 2020 Apr 2;12(4):784. doi: 10.3390/polym12040784.
6
Solid-State Nuclear Magnetic Resonance (NMR) and Nuclear Magnetic Relaxation Time Analyses of Molecular Mobility and Compatibility of Plasticized Polyhydroxyalkanoates (PHA) Copolymers.固态核磁共振(NMR)以及增塑聚羟基脂肪酸酯(PHA)共聚物分子流动性和相容性的核磁共振弛豫时间分析
Polymers (Basel). 2018 May 7;10(5):506. doi: 10.3390/polym10050506.
7
Hyperbranched Macromolecules: From Synthesis to Applications.超支化大分子:从合成到应用。
Molecules. 2018 Mar 14;23(3):657. doi: 10.3390/molecules23030657.
8
Cadmium toxicity and treatment: An update.镉中毒与治疗:最新进展
Caspian J Intern Med. 2017 Summer;8(3):135-145. doi: 10.22088/cjim.8.3.135.
9
Micro-hydrogel Particles Consisting of Hyperbranched Polyamidoamine for the Removal of Heavy Metal Ions from Water.由超支化聚酰胺胺构成的微水凝胶颗粒用于去除水中的重金属离子。
Sci Rep. 2017 Aug 30;7(1):10012. doi: 10.1038/s41598-017-10066-x.
10
Hyperbranched polymers: advances from synthesis to applications.超支化聚合物:从合成到应用的进展。
Chem Soc Rev. 2015 Jun 21;44(12):4091-130. doi: 10.1039/c4cs00528g.