Suppr超能文献

肿瘤突变负荷:原发性组织与转移性组织产生系统性偏差。

Tumour mutational burden: primary versus metastatic tissue creates systematic bias.

作者信息

Schnidrig Desiree, Turajlic Samra, Litchfield Kevin

机构信息

Cancer Dynamics Laboratory, The Francis Crick Institute, London, UK.

Renal and Skin Units, The Royal Marsden Hospital, London, UK.

出版信息

Immunooncol Technol. 2019 Dec 16;4:8-14. doi: 10.1016/j.iotech.2019.11.003. eCollection 2019 Dec.

Abstract

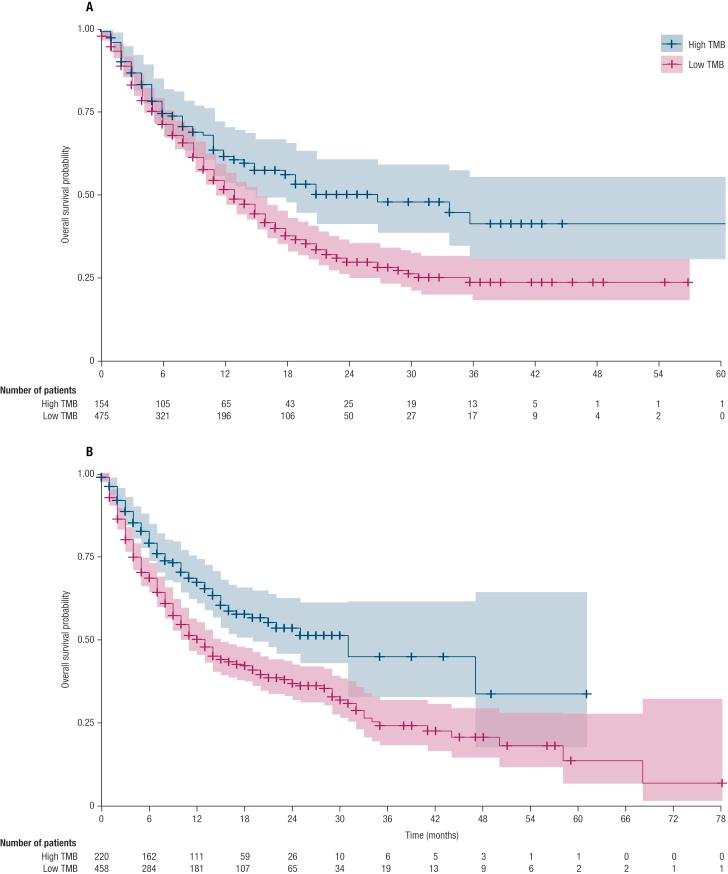
Tumour mutational burden (TMB) has emerged as a reproducible biomarker to predict immunotherapy response across multiple cancer types. However, a key aspect of TMB measurement that is often overlooked is the source of tissue sample used, which creates a potential for systematic bias. The predominant source is either primary or metastatic tumour tissue. Primary tumours are more heterogeneous and reflect a longer period of tumour evolution, whereas metastases tend to have a more monoclonal structure and potentially different TMB scores. Studies to date measuring TMB have used a heterogeneous set of primary and metastatic tissues, which may explain some of the variability in predictive TMB values across studies. This paper presents data to show that there is a systematic difference whereby metastatic TMB is biased towards higher values than primary TMB (36% higher, paired Wilcoxon,  = 0.0008). However, effectiveness in predicting overall survival during immune checkpoint inhibitor therapy was found to be equivalent between primary and metastatic TMB. We highlight that lower TMB in primary tissue may be important in cases with borderline primary TMB, where assaying metastatic TMB may lead to a different treatment stratification result. As TMB progresses towards clinical implementation, particularly in classically non-immunogenic tumour types, it is important to have better curated trials with either the source of tissue annotated or a prospective study assessing concordance between paired primary and metastatic tissue.

摘要

肿瘤突变负荷(TMB)已成为一种可重复的生物标志物,用于预测多种癌症类型的免疫治疗反应。然而,TMB测量中一个常被忽视的关键方面是所用组织样本的来源,这可能导致系统偏差。主要来源是原发性或转移性肿瘤组织。原发性肿瘤更具异质性,反映了更长时间的肿瘤进化过程,而转移瘤往往具有更单克隆的结构,且TMB评分可能不同。迄今为止,测量TMB的研究使用了一组异质性的原发性和转移性组织,这可能解释了不同研究中预测性TMB值的一些变异性。本文提供的数据表明,存在一种系统差异,即转移性TMB比原发性TMB更倾向于较高的值(高36%,配对Wilcoxon检验,P = 0.0008)。然而,在免疫检查点抑制剂治疗期间,原发性和转移性TMB在预测总生存期方面的有效性相当。我们强调,在原发性TMB处于临界值的情况下,原发性组织中较低的TMB可能很重要,此时检测转移性TMB可能会导致不同的治疗分层结果。随着TMB向临床应用发展,特别是在经典的非免疫原性肿瘤类型中,开展更好的试验很重要,试验中要么标注组织来源,要么进行前瞻性研究以评估配对的原发性和转移性组织之间的一致性。

https://cdn.ncbi.nlm.nih.gov/pmc/blobs/1547/9216665/022b582c06d6/gr1.jpg

文献AI研究员

20分钟写一篇综述,助力文献阅读效率提升50倍。

立即体验

用中文搜PubMed

大模型驱动的PubMed中文搜索引擎

马上搜索

文档翻译

学术文献翻译模型,支持多种主流文档格式。

立即体验