• 文献检索
  • 文档翻译
  • 深度研究
  • 学术资讯
  • Suppr Zotero 插件Zotero 插件
  • 邀请有礼
  • 套餐&价格
  • 历史记录
应用&插件
Suppr Zotero 插件Zotero 插件浏览器插件Mac 客户端Windows 客户端微信小程序
定价
高级版会员购买积分包购买API积分包
服务
文献检索文档翻译深度研究API 文档MCP 服务
关于我们
关于 Suppr公司介绍联系我们用户协议隐私条款
关注我们

Suppr 超能文献

核心技术专利:CN118964589B侵权必究
粤ICP备2023148730 号-1Suppr @ 2026

文献检索

告别复杂PubMed语法,用中文像聊天一样搜索,搜遍4000万医学文献。AI智能推荐,让科研检索更轻松。

立即免费搜索

文件翻译

保留排版,准确专业,支持PDF/Word/PPT等文件格式,支持 12+语言互译。

免费翻译文档

深度研究

AI帮你快速写综述,25分钟生成高质量综述,智能提取关键信息,辅助科研写作。

立即免费体验

液滴在锥形基底上的自发运动:驱动力的理论分析

Spontaneous Movement of a Droplet on a Conical Substrate: Theoretical Analysis of the Driving Force.

作者信息

Liu Jianxin, Feng Zhicheng, Ouyang Wengen, Shui Langquan, Liu Ze

机构信息

Department of Engineering Mechanics, School of Civil Engineering, Wuhan University, Wuhan, Hubei 430072, China.

出版信息

ACS Omega. 2022 Jun 7;7(24):20975-20982. doi: 10.1021/acsomega.2c01713. eCollection 2022 Jun 21.

DOI:10.1021/acsomega.2c01713
PMID:35755370
原文链接:https://pmc.ncbi.nlm.nih.gov/articles/PMC9219097/
Abstract

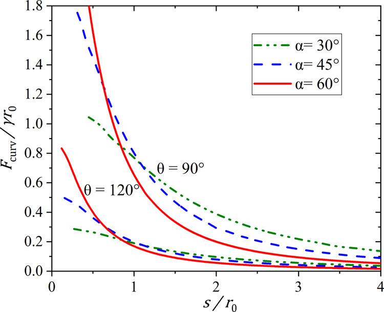
Experiments and simulations have shown that a droplet can move spontaneously and directionally on a conical substrate. The driving force originating from the gradient of curvatures is revealed as the self-propulsion mechanism. Theoretical analysis of the driving force is highly desirable; currently, most of them are based on a perturbative theory with assuming a weakly curved substrate. However, this assumption is valid only when the size of the droplet is far smaller than the curvature radius of the substrate. In this paper, we derive a more accurate analytical model for describing the driving force by exploring the geometric characteristics of a spherical droplet on a cylindrical substrate. In contrast to the perturbative solution, our model is valid under a much weaker condition, i.e., the contact region between the droplet and the substrate is small compared with the curvature radius of the substrate. Therefore, we show that for superhydrophobic surfaces, the derived analytical model is applicable even if the droplet is very close to the apex of a conical substrate. Our approach opens an avenue for studying the behavior of droplets on the tip of the conical substrate theoretically and could also provide guidance for the experimental design of curved surfaces to control the directional motion of droplets.

摘要

实验和模拟表明,液滴可以在锥形基底上自发地定向移动。源自曲率梯度的驱动力被揭示为自推进机制。对驱动力进行理论分析非常有必要;目前,大多数分析基于微扰理论,且假设基底曲率较弱。然而,该假设仅在液滴尺寸远小于基底曲率半径时才成立。在本文中,我们通过探究圆柱形基底上球形液滴的几何特征,推导出一个更精确的描述驱动力的解析模型。与微扰解不同,我们的模型在弱得多的条件下有效,即液滴与基底之间的接触区域与基底曲率半径相比很小。因此,我们表明,对于超疏水表面,即使液滴非常靠近锥形基底的顶点,所推导的解析模型也适用。我们的方法为从理论上研究锥形基底尖端上液滴的行为开辟了一条途径,也可为控制液滴定向运动的曲面实验设计提供指导。

https://cdn.ncbi.nlm.nih.gov/pmc/blobs/5af0/9219097/f719a7cb22a2/ao2c01713_0009.jpg
https://cdn.ncbi.nlm.nih.gov/pmc/blobs/5af0/9219097/67c7e5601540/ao2c01713_0002.jpg
https://cdn.ncbi.nlm.nih.gov/pmc/blobs/5af0/9219097/e786bb8905dd/ao2c01713_0003.jpg
https://cdn.ncbi.nlm.nih.gov/pmc/blobs/5af0/9219097/11d4b5f5cf22/ao2c01713_0004.jpg
https://cdn.ncbi.nlm.nih.gov/pmc/blobs/5af0/9219097/4f94e9befbd7/ao2c01713_0005.jpg
https://cdn.ncbi.nlm.nih.gov/pmc/blobs/5af0/9219097/891e2e759bb9/ao2c01713_0006.jpg
https://cdn.ncbi.nlm.nih.gov/pmc/blobs/5af0/9219097/2d31ebb2e24e/ao2c01713_0007.jpg
https://cdn.ncbi.nlm.nih.gov/pmc/blobs/5af0/9219097/2c5a7911fb0a/ao2c01713_0008.jpg
https://cdn.ncbi.nlm.nih.gov/pmc/blobs/5af0/9219097/f719a7cb22a2/ao2c01713_0009.jpg
https://cdn.ncbi.nlm.nih.gov/pmc/blobs/5af0/9219097/67c7e5601540/ao2c01713_0002.jpg
https://cdn.ncbi.nlm.nih.gov/pmc/blobs/5af0/9219097/e786bb8905dd/ao2c01713_0003.jpg
https://cdn.ncbi.nlm.nih.gov/pmc/blobs/5af0/9219097/11d4b5f5cf22/ao2c01713_0004.jpg
https://cdn.ncbi.nlm.nih.gov/pmc/blobs/5af0/9219097/4f94e9befbd7/ao2c01713_0005.jpg
https://cdn.ncbi.nlm.nih.gov/pmc/blobs/5af0/9219097/891e2e759bb9/ao2c01713_0006.jpg
https://cdn.ncbi.nlm.nih.gov/pmc/blobs/5af0/9219097/2d31ebb2e24e/ao2c01713_0007.jpg
https://cdn.ncbi.nlm.nih.gov/pmc/blobs/5af0/9219097/2c5a7911fb0a/ao2c01713_0008.jpg
https://cdn.ncbi.nlm.nih.gov/pmc/blobs/5af0/9219097/f719a7cb22a2/ao2c01713_0009.jpg

相似文献

1
Spontaneous Movement of a Droplet on a Conical Substrate: Theoretical Analysis of the Driving Force.液滴在锥形基底上的自发运动:驱动力的理论分析
ACS Omega. 2022 Jun 7;7(24):20975-20982. doi: 10.1021/acsomega.2c01713. eCollection 2022 Jun 21.
2
Surfactant solutions and porous substrates: spreading and imbibition.表面活性剂溶液与多孔基质:铺展与吸液
Adv Colloid Interface Sci. 2004 Nov 29;111(1-2):3-27. doi: 10.1016/j.cis.2004.07.007.
3
Long-range spontaneous droplet self-propulsion on wettability gradient surfaces.润湿性梯度表面上远距离自发液滴自推进。
Sci Rep. 2017 Aug 8;7(1):7552. doi: 10.1038/s41598-017-07867-5.
4
Simulation investigation of the spontaneous motion behaviors of underwater oil droplets on a conical surface.水下油滴在圆锥表面自发运动行为的模拟研究
Soft Matter. 2022 Dec 14;18(48):9172-9180. doi: 10.1039/d2sm00937d.
5
Substrate curvature gradient drives rapid droplet motion.基底曲率梯度驱动液滴快速运动。
Phys Rev Lett. 2014 Jul 11;113(2):026101. doi: 10.1103/PhysRevLett.113.026101. Epub 2014 Jul 10.
6
Dynamics of droplets on cones: self-propulsion due to curvature gradients.液滴在圆锥体上的动力学:曲率梯度导致的自推进。
Soft Matter. 2019 Dec 11;15(48):9997-10004. doi: 10.1039/c9sm01635j.
7
Directional passive transport of nanodroplets on general axisymmetric surfaces.纳米液滴在一般轴对称表面上的定向被动输运
Phys Chem Chem Phys. 2022 Apr 20;24(16):9727-9734. doi: 10.1039/d1cp05905j.
8
A combined structural and wettability gradient surface for directional droplet transport and efficient fog collection.用于定向液滴输运和高效雾收集的复合结构和润湿性梯度表面。
J Colloid Interface Sci. 2021 Dec 15;604:526-536. doi: 10.1016/j.jcis.2021.07.033. Epub 2021 Jul 10.
9
Role of the microridges on cactus spines.仙人掌刺上微脊的作用。
Nanoscale. 2022 Jan 6;14(2):525-533. doi: 10.1039/d1nr05906h.
10
Multiple droplets on a conical fiber: formation, motion, and droplet mergers.锥形纤维上的多个液滴:形成、运动及液滴合并
Soft Matter. 2022 Feb 16;18(7):1364-1370. doi: 10.1039/d1sm01462e.

本文引用的文献

1
Three-dimensional capillary ratchet-induced liquid directional steering.三维毛细血管棘轮诱导液体定向转向。
Science. 2021 Sep 17;373(6561):1344-1348. doi: 10.1126/science.abg7552. Epub 2021 Sep 16.
2
Cellular fluidics.细胞液流(控)学。
Nature. 2021 Jul;595(7865):58-65. doi: 10.1038/s41586-021-03603-2. Epub 2021 Jun 30.
3
Bioinspired Two-Dimensional Structure with Asymmetric Wettability Barriers for Unidirectional and Long-Distance Gas Bubble Delivery Underwater.受生物启发的二维结构,具有不对称润湿性障碍,可在水下实现单向和远距离的气体泡输送。
Nano Lett. 2021 Mar 10;21(5):2117-2123. doi: 10.1021/acs.nanolett.0c04814. Epub 2021 Feb 18.
4
Tip-induced flipping of droplets on Janus pillars: From local reconfiguration to global transport.针尖诱导液滴在Janus柱上的翻转:从局部重构到全局输运。
Sci Adv. 2020 Jul 8;6(28):eabb4540. doi: 10.1126/sciadv.abb4540. eCollection 2020 Jul.
5
Directional adhesion of superhydrophobic butterfly wings.超疏水蝴蝶翅膀的定向粘附
Soft Matter. 2007 Jan 23;3(2):178-182. doi: 10.1039/b612667g.
6
Dynamics of droplets on cones: self-propulsion due to curvature gradients.液滴在圆锥体上的动力学:曲率梯度导致的自推进。
Soft Matter. 2019 Dec 11;15(48):9997-10004. doi: 10.1039/c9sm01635j.
7
Water droplet dynamics on bioinspired conical surfaces.仿生锥形表面上水滴动力学。
Philos Trans A Math Phys Eng Sci. 2019 Jul 29;377(2150):20190118. doi: 10.1098/rsta.2019.0118. Epub 2019 Jun 10.
8
Optimization of bioinspired conical surfaces for water collection from fog.用于从雾中收集水分的仿生锥形表面的优化。
J Colloid Interface Sci. 2019 Sep 1;551:26-38. doi: 10.1016/j.jcis.2019.05.015. Epub 2019 May 6.
9
Designing bioinspired surfaces for water collection from fog.仿生表面设计用于从雾中收集水。
Philos Trans A Math Phys Eng Sci. 2019 Feb 11;377(2138):20180269. doi: 10.1098/rsta.2018.0269.
10
Spontaneous directional transportations of water droplets on surfaces driven by gradient structures.梯度结构驱动下液滴在表面的自发定向输运。
Nanoscale. 2018 Aug 7;10(29):13814-13831. doi: 10.1039/c8nr04354j. Epub 2018 Jul 16.